现在位置是:首 页 >> 
关键字:
院外心脏骤停患者生存率预测模型的系统评价
Systematic review of prediction models for survival rate in patients with out-of-hospital cardiac arrest
作者:王海珍,程鹏飞,杨旻斐,卢骁,徐善祥,金静芬
发布日期:2023-07-07

王海珍,程鹏飞,杨旻斐,卢骁,徐善祥,金静芬. 院外心脏骤停患者生存率预测模型的系统评价[J]. 中华急诊医学杂志, 2023,32 (7):895-902.


附件1  各领域偏倚风险条目评价结果表

纳入研究

研究对象

预测因子

结果

统计分析

1.1

1.2

2.1

2.2

2.3

3.1

3.2

3.3

3.4

3.5

3.6

4.1

4.2

4.3

4.4

4.5

4.6

4.7

4.8

4.9

Valenzuela[11]

Y

Y

Y

N

N

Y

Y

Y

Y

Y

Y

Y

Y

?

?

Y

Y

?

Y

Nishiuchi[12]

Y

Y

Y

N

N

Y

Y

Y

Y

Y

Y

Y

Y

N

N

Y

Y

?

Y

Sladjana[13]

Y

Y

Y

Y

Y

Y

Y

Y

Y

Y

Y

Y

Y

?

?

N

?

Y

Goto[14]

Y

Y

Y

Y

Y

Y

Y

Y

Y

Y

Y

Y

Y

N

N

N

Y

?

?

Y

Ishikawa[15]

N

Y

Y

N

N

Y

Y

Y

Y

Y

Y

Y

Y

?

?

N

Y

?

Y

Aschauer[16]

N

Y

Y

N

N

Y

Y

Y

Y

Y

Y

Y

Y

?

?

N

?

?

N

Y

Lee[17]

Y

Y

Y

Y

N

Y

Y

Y

Y

Y

Y

N

Y

N

N

N

?

Y

Y

Y

Pasquier[18]

N

Y

Y

N

N

Y

Y

Y

Y

Y

Y

Y

Y

Y

Y

N

?

?

Y

Y

Kwon[19]

Y

Y

Y

N

N

Y

Y

Y

Y

Y

Y

Y

Y

N

N

Y

Y

?

Y

Y

Navab[20]

N

Y

Y

N

N

Y

Y

Y

Y

Y

Y

Y

Y

N

N

N

?

?

?

Y

Seki[21]

Y

Y

Y

Y

Y

Y

Y

Y

Y

Y

Y

Y

Y

Y

Y

Y

Y

Y

N

Y

Cheng[22]

N

Y

Y

N

N

Y

Y

Y

Y

Y

Y

Y

Y

N

N

?

Y

Y

N

Y

Kim[23]

Y

Y

Y

N

N

Y

Y

Y

Y

Y

Y

Y

Y

N

N

Y

Y

Y

Y

Y

Ji[24]

Y

Y

Y

N

N

Y

Y

Y

Y

Y

Y

Y

Y

N

N

Y

?

Y

?

Y

Wong[25]

Y

Y

Y

N

N

Y

Y

Y

Y

Y

Y

Y

Y

N

N

Y

?

Y

Y

Y

杨风梅等[26]

N

Y

Y

N

N

Y

Y

Y

Y

Y

Y

N

Y

?

?

Y

Y

Y

?

Y

Hessulf[27]

Y

Y

Y

N

N

Y

Y

Y

Y

Y

Y

Y

Y

Y

Y

Y

Y

Y

N

Y

Y:是或可能是  N:不是或可能不是 ?:不清楚



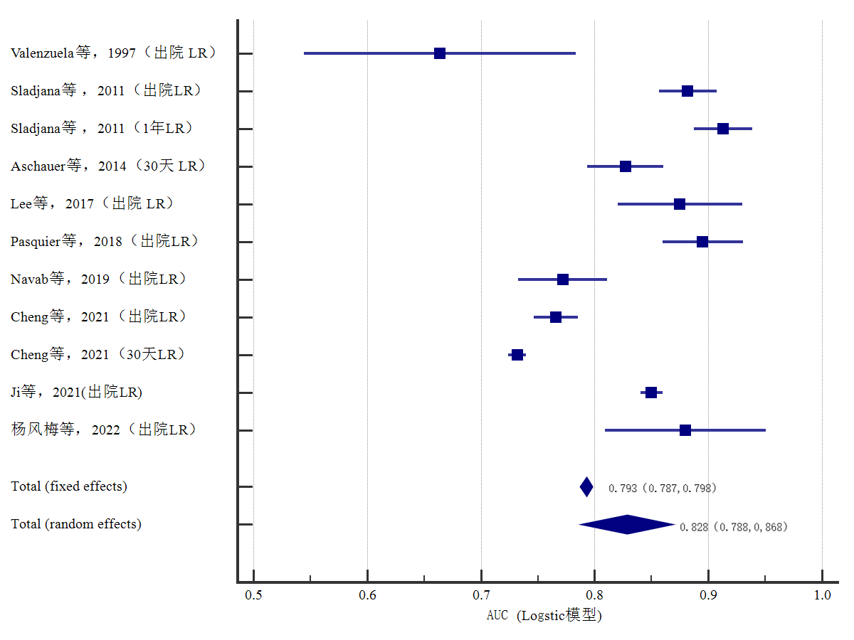
附件2  亚组分析中各模型权重及森林图





DOI号:10.3760/cma.j.issn.1671-0282.2023.07.008

基金项目:浙江大学医学院附属第二医院护理部2022年科研项目(2022-02)

关键词: 院外心脏骤停 生存率 预测模型 系统评价



  • 引证文献(引用了本文的文献)
  • 1) 吴金山. 院外心脏骤停复苏后实现心肺脑复苏患者特征分析探讨[J]. 中华急诊医学杂志,2024,33,1:33-38
  •