2. 首都医科大学附属北京朝阳医院急诊医学临床研究中心 北京市心肺脑复苏重点实验室,北京 100020
2. Emergency Medicine Clinical Research Center, Beijing Chao-Yang Hospital, Capital Medical University/Beijing Key Laboratory of Cardiopulmonary Cerebral Resuscitation, Beijing 100020, China
脓毒症是由宿主对感染反应失调引起的危及生命的器官功能障碍,具有较高的发病率和病死率等特点[1-2]。有研究显示,年龄是脓毒症患者死亡的独立危险因素[3],与65~79岁脓毒症患者相比,80岁及以上患者的病死率更高[4]。因此,探讨高龄(≥80岁)脓毒症患者死亡的危险因素,建立预后评估模型,及时给予个体化治疗对于改善临床结局具有重要意义。目前关于脓毒症患者的死亡风险预测模型已有大量研究[5-7],但针对高龄脓毒症患者这一特殊人群的预后模型鲜见报道。本研究旨在探讨高龄脓毒症患者死亡的危险因素,并建立28 d死亡风险预测模型,以期为高龄脓毒症患者预后评估提供参考。
1 资料与方法 1.1 研究对象采用前瞻性观察性研究方法,以2022年1月1日至2022年11月30日北京朝阳医院急诊科收治的高龄脓毒症患者作为研究对象。纳入标准:年龄≥80岁并符合脓毒症3.0诊断标准[1]。符合纳入标准者共589例,排除45例恶性肿瘤终末期、21例留观时间 < 24 h、16例临床资料缺失 > 20%的病例,最终507例患者为本研究对象。
本研究符合医学伦理学标准,并通过首都医科大学附属北京朝阳医院医学伦理委员会审批(伦理号:2022-科-430)。所有受试者或其家属均签署知情同意书。本研究已在中国临床试验注册中心注册(注册号:ChiCTR 2300070377)。
1.2 研究方法 1.2.1 临床资料收集① 一般资料:年龄、性别、体重指数(body mass index, BMI)、基础疾病(高血压、冠心病、2型糖尿病、脑卒中、慢性肾脏疾病、慢性肺部疾病、慢性肝脏疾病)、感染部位(呼吸系统、消化系统、泌尿系统、其他);②入院后第一次生命体征:体温、心率、平均动脉压(mean arterial pressure, MAP);③入院24 h内第一次实验室检查指标:动脉血气分析(酸碱度、氧分压、二氧化碳分压、乳酸、阴离子间隙、氧合指数),血常规(白细胞、中性粒细胞计数、淋巴细胞计数、红细胞、血红蛋白、血细胞比容、平均红细胞体积、红细胞分布宽度、血小板),肝功能(总蛋白、白蛋白、前白蛋白、总胆红素),肾功能(尿素氮、肌酐、尿酸),脂代谢(总胆固醇、低密度脂蛋白),电解质(总钙、无机磷、钠、钾),葡萄糖,渗透压,血浆纤维蛋白原、血浆D二聚体、降钙素原(procalcitonin, PCT);④用入院24 h内第一次实验室指标计算序贯性器官衰竭评分(sequential organ failure assessment score, SOFA评分)。
1.2.2 老年人综合评估相关信息① 用简易精神状态量表(mini-mental state examination, MMSE)评估患者有无认知功能障碍[8];②用日常生活活动能力(activity of daily living, ADL)量表评估患者活动能力;③根据近6个月卧床情况评估患者有无长期卧床;④用临床衰弱量表(Clinical Frailty Scale, CFS)评估患者有无衰弱,1~4级为非衰弱,5~9级为衰弱[9]。以上量表由两位经过培训的急诊科医师进行评估。
1.2.3 临床结局电话随访患者入院后28 d内的生存状态及生存时间。
1.2.4 高龄脓毒症患者28 d死亡预测模型的构建与验证将入组患者随机分为建模组(70%)与验证组(30%)。根据临床知识并结合文献,将建模组患者的人口学特征、生命体征、常用实验室检查指标、老年人综合评估信息等作为自变量,采用最小绝对值收敛和选择算子算法(least absolute shrinkage and selection operator, LASSO)回归分析进行数据降维处理,筛选出高龄脓毒症患者28 d死亡的影响因素,将其纳入多因素Cox回归分析以确定独立危险因素,并以此建立列线图预测模型。分别通过校准曲线和时间依赖性受试者工作特征曲线下面积(area under the curve, AUC)评估模型的校准度及区分度,并采用临床决策曲线分析(decision clinical analysis, DCA)评估模型的临床实用性,并在验证组中对列线图预测模型进行验证。模型构建及验证遵循TRIPOD声明进行规范报告[10]。
1.3 统计学方法采用SPSS 26.0统计软件和R 4.2.2软件进行统计分析。对临床资料缺失 < 20%的数据采用多重插补法进行数据插补。采用Kolmogorov-Smirnov法对计量资料进行正态性检验,均为非正态分布,用中位数(四分位数)[M(Q1, Q3)]表示,组间比较采用Mann-Whitney U检验。计数资料用例(%)表示,组间比较采用χ2检验。采用R软件中的“glmnet”包进行LASSO回归分析,采用多因素Cox回归分析高龄脓毒症患者28 d死亡的独立危险因素,采用R软件中的“survival”、“rms”、“caret”、“timeROC”等安装包构建列线图,并分别绘制建模组与验证组的校准曲线、时间依赖性AUC、临床决策曲线进行模型的验证与评估。以P < 0.05为差异有统计学意义。
2 结果 2.1 生存组与死亡组临床资料比较507例高龄脓毒症患者中生存组349例,死亡组158例,病死率为31.2%,结果显示两组患者的年龄、BMI、合并脑卒中、认知功能障碍、ADL评分、长期卧床、衰弱、心率、MAP、酸碱度、乳酸、氧合指数、中性粒细胞计数、红细胞计数、血红蛋白、红细胞分布宽度、白蛋白、前白蛋白、尿素氮(blood urea nitrogen, BUN)、肌酐、钾离子、D-二聚体、PCT、SOFA评分比较,差异有统计学意义(P < 0.05)。见表 1。
| 项目 | 生存组(349例) | 死亡组(158例) | χ2/Z值 | P值 |
| 一般资料 | ||||
| 年龄[岁,M(Q1, Q3)] | 84(81,87) | 85(82,89) | -3.081 | 0.002 |
| 男性[例(%)] | 167(47.9) | 90(57.0) | 3.612 | 0.057 |
| BMI [kg/m2,M(Q1, Q3)] | 23.0(20.8,25.4) | 22.0(19.8,25.0) | -2.226 | 0.026 |
| 感染部位(n, %) | 0.460 | 0.928 | ||
| 呼吸系统 | 199(57.0) | 85(53.8) | ||
| 消化系统 | 82(23.5) | 40(25.3) | ||
| 泌尿系统 | 64(18.3) | 31(19.6) | ||
| 其他 | 4(1.1) | 2(1.3) | ||
| 基础疾病(n, %) | ||||
| 高血压 | 221(63.3) | 94(59.5) | 0.678 | 0.410 |
| 冠心病 | 135(38.7) | 51(32.3) | 1.920 | 0.166 |
| 2型糖尿病 | 120(34.4) | 57(36.1) | 0.137 | 0.711 |
| 脑卒中 | 88(25.2) | 57(36.1) | 6.283 | 0.012 |
| 慢性肾脏疾病 | 51(14.6) | 27(17.1) | 0.512 | 0.474 |
| 慢性肺部疾病 | 45(12.9) | 13(8.2) | 2.337 | 0.126 |
| 慢性肝脏疾病 | 7(2.0) | 4(2.5) | 0.142 | 0.707 |
| 老年人综合评估 | ||||
| 认知功能障碍(n, %) | 116(33.2) | 105(66.5) | 48.806 | <0.001 |
| ADL评分[分,M(Q1, Q3)] | 60(20,85) | 28(0,60) | -6.167 | <0.001 |
| 长期卧床(n, %) | 112(32.1) | 86(54.4) | 22.802 | <0.001 |
| 衰弱(n, %) | 241(69.1) | 141(89.2) | 23.857 | <0.001 |
| 生命体征[M(Q1, Q3)] | ||||
| 体温(℃) | 36.5(36.3,38.0) | 36.6(36.2,38.0) | -0.019 | 0.985 |
| 心率(次/min) | 91(80,107) | 99(84,118) | 3.087 | 0.002 |
| MAP(mmHg) | 93.7(81.7,105.9) | 87.3(72.6,97.4) | -3.781 | <0.001 |
| 实验室检查[M(Q1, Q3)] | ||||
| 酸碱度 | 7.41(7.38,7.45) | 7.40(7.34,7.45) | -2.521 | 0.012 |
| 乳酸(mmol/L) | 1.4(0.9,2.2) | 2.0(1.2,3.3) | 4.856 | <0.001 |
| 氧合指数(mmHg) | 328(256,401) | 282(189,408) | -2.825 | 0.005 |
| 白细胞计数(×109/L) | 9.6(6.8,14.1) | 10.5(7.6,15.7) | 1.894 | 0.058 |
| 中性粒细胞计数(×109/L) | 8.0(5.2,12.5) | 9.1(6.4,14.3) | 2.134 | 0.033 |
| 红细胞计数(×1012/L) | 4.0(3.4,4.4) | 3.8(3.1,4.2) | -2.533 | 0.011 |
| 血红蛋白(g/L) | 121(105,136) | 117(90,131) | -2.444 | 0.015 |
| 红细胞分布宽度(%) | 13.4(12.9,14.6) | 14.3(13.2,15.8) | 4.321 | <0.001 |
| 白蛋白(g/L) | 36.9(33.5,40.5) | 34.7(30.7,38.8) | -4.358 | <0.001 |
| 前白蛋白(mg/L) | 130(78,185) | 98(40,160) | -3.893 | <0.001 |
| BUN(mmol/L) | 9.01(6.34,13.67) | 12.97(8.16,20.69) | 5.664 | <0.001 |
| 肌酐(umol/L) | 86(64,131) | 102(70,217) | 2.726 | 0.006 |
| 钾离子(mmol/L) | 4.0(3.6,4.4) | 4.2(3.7,4.8) | 3.528 | <0.001 |
| D-二聚体(mg/L) | 2.03(0.98,4.82) | 2.81(1.42,6.40) | 2.698 | 0.007 |
| PCT(ng/mL) | 0.28(0.05,4.08) | 1.44(0.18,13.69) | 4.838 | <0.001 |
| SOFA评分[分,M(Q1, Q3)] | 3(2,5) | 7(5,10) | 11.588 | <0.001 |
| 注:BMI体重指数;ADL评分日常生活活动能力量表;MAP平均动脉压;BUN尿素氮;PCT降钙素原;SOFA评分序贯性器官衰竭评分 | ||||
对建模组患者的性别、年龄、BMI、基础疾病、有无认知功能障碍、衰弱、长期卧床、ADL评分、生命体征、实验室检查指标等共50项自变量进行LASSO回归分析,筛选出9项高龄脓毒症患者死亡的影响因素:年龄、认知功能障碍、ADL评分、衰弱、MAP、红细胞分布宽度、前白蛋白、BUN、PCT。
2.3 高龄脓毒症患者入院28 d内死亡预测模型的构建根据LASSO回归结果,纳入9项影响因素通过后退法进行多因素Cox回归分析,结果显示,增龄[风险比(HR)=1.059,95%置信区间(95%CI)=1.017~1.103,P=0.005]、认知功能障碍(HR=2.100,95%CI=1.322~3.336,P=0.002)、衰弱(HR=2.561,95%CI=1.183~5.545,P=0.017)、低MAP(HR=0.987,95%CI=0.976~0.998,P=0.017)、低前白蛋白(HR=0.997,95%CI=0.994~1.000,P=0.040)、高BUN(HR=1.028,95%CI=1.010~1.045,P=0.001)及高PCT(HR=1.008,95%CI=1.001~1.016,P=0.019)是高龄脓毒症患者28 d内死亡的独立危险因素。见表 2。基于上述独立危险因素绘制预测患者死亡风险的列线图,列线图可直观展示每个预测因子对应分值,将所有变量的分值相加得到总分。总分对应的数值代表预测高龄脓毒症患者的28 d死亡概率。总分越高,其死亡概率越大。见图 1。
| 变量 | β | SE | Wald | HR | 95%CI | P值 |
| 年龄 | 0.057 | 0.021 | 7.794 | 1.059 | 1.017~1.103 | 0.005 |
| 认知功能障碍 | 0.742 | 0.236 | 9.864 | 2.100 | 1.322~3.336 | 0.002 |
| 衰弱 | 0.940 | 0.394 | 5.693 | 2.561 | 1.183~5.545 | 0.017 |
| MAP | -0.013 | 0.005 | 5.661 | 0.987 | 0.976~0.998 | 0.017 |
| 前白蛋白 | -0.003 | 0.002 | 4.237 | 0.997 | 0.994~1.000 | 0.040 |
| BUN | 0.027 | 0.009 | 10.092 | 1.028 | 1.010~1.045 | 0.001 |
| PCT | 0.008 | 0.004 | 5.509 | 1.008 | 1.001~1.016 | 0.019 |
| 注:MAP平均动脉压;BUN尿素氮;PCT降钙素原 | ||||||
|
| MAP:平均动脉压;BUN:尿素氮;PCT:降钙素原 图 1 高龄脓毒症患者28 d内死亡风险预测的列线图 Fig 1 The nomogram of predicting 28-day mortality in very older patients with sepsis |
|
|
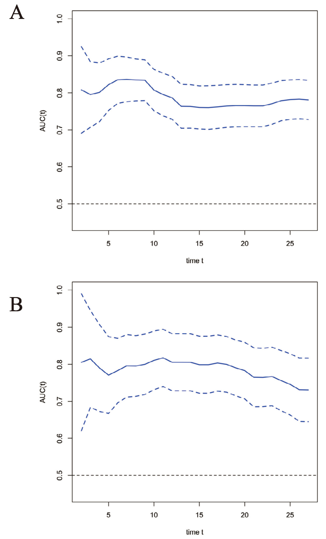
本研究利用Bootstrap法对列线图进行内部及外部验证。校准曲线中的横坐标代表预测的病死率,纵坐标代表实际的病死率,列线图预测模型在建模组与验证组中的预测曲线接近对角线,提示预测概率与实际概率接近,提示该模型具有较好的校准度。见图 2。时间依赖AUC曲线显示,列线图在建模组中AUC为0.760~0.836,在验证组中AUC为0.731~0.817,表明该模型具有较好的区分度。见图 3。DCA曲线显示,建模组与验证组中的模型曲线均在两条极端曲线之上,表明该模型具有较好的临床实用性。见图 4。
|
| A:建模组;B:验证组 图 2 列线图在建模组与验证组的校准曲线 Fig 2 The calibration curves of nomogram in the training and validation cohorts |
|
|
|
| A:建模组;B:验证组 图 3 列线图在建模组与验证组的时间依赖AUC曲线 Fig 3 The time-dependent AUC curves of the nomogram in the training and validation cohorts |
|
|
|
| A:建模组;B:验证组 图 4 列线图在建模组与验证组的DCA曲线 Fig 4 The DCA of the nomogram in the training and validation cohorts |
|
|
目前有关脓毒症患者死亡预测模型的研究众多,王斌等[5]以B型脑钠肽前体、乳酸、白蛋白、氧合指数、MAP、红细胞压积、心率构建了脓毒症患者30 d死亡风险预测模型。汪洋等[6]建立了基于随机森林法的严重脓毒症/脓毒性休克预后评估模型。Zeng等[7]以年龄,国际标准化比值、乳酸、血栓调节蛋白构建了脓毒症患者90 d死亡风险预测模型。然而,针对高龄脓毒症人群,基于衰弱等老年综合征的模型构建研究相对较少。本研究前瞻性收集507例高龄脓毒症患者的临床资料,并将衰弱综合征、认知功能障碍、ADL评分等老年人综合评估纳入其中,通过Cox回归分析,最终得出增龄、认知功能障碍、衰弱、低MAP、低前白蛋白、高BUN、高PCT是高龄脓毒症患者28 d死亡的独立危险因素,以此构建了以列线图方式呈现的预测模型。该模型具有较好的预测效能,对早期识别高危人群、指导临床治疗具有意义。
文献报道,到2050年,60岁及以上的人口比例将占到35%,80岁及以上的人口将增加2倍[4]。多项研究表明年龄是脓毒症患者死亡的危险因素[3-4, 11]。本研究也得出,在急诊高龄脓毒症患者中,年龄是影响其死亡的独立危险因素之一。Martin-Loeches等[4]报道ICU 80岁以上脓毒症患者的病死率为54.2%。而本研究中高龄脓毒症患者的28 d病死率为31.2%。差异的原因可能为本研究终点为短期预后,另一方面本研究的人群为急诊科患者,相对于ICU中的危重患者比例相对较低。
认知功能是老年人综合评估的一项重要指标[12],有研究[13-16]发现,认知功能障碍为老年患者死亡的影响因素,本研究结果也显示,认知功能障碍是高龄脓毒症患者死亡的独立危险因素并纳入列线图。而一项对3 920名ICU高龄老年患者的前瞻性队列研究[17]显示,校正混杂因素后认知功能未在预后预测模型中,原因可能与研究人群及校正的混杂因素不同有关。
衰弱是指老年人生理储备下降导致机体易损性增加、抗应激能力减退的非特异性状态[18]。文献报道急诊患者衰弱的患病率为36.8%~58%[19-20]。本研究中衰弱的患病率为75.3%,提示高龄患者的衰弱患病率更高。目前较为公认的衰弱评估量表为衰弱表型和衰弱指数[21-22],但因评估过程较为繁琐不适用于急诊。CFS与衰弱指数高度相关[9],且因其简单、快速的优点成为急诊衰弱评估的常用工具[19]。因此,本研究选用CFS评估衰弱综合征,结果显示衰弱是影响高龄脓毒症患者28 d病死率的独立危险因素,这与既往研究相一致[17, 23]。
既往文献报道,脓毒性休克是影响脓毒症患者预后的独立因素[24]。一项对中国大陆44家医院ICU的调查研究显示,脓毒性休克患者90 d病死率高达51.94% [3]。低MAP提示循环障碍、组织灌注不足,甚至进入到脓毒性休克阶段,Houwink等[25]研究显示,入院时MAP、24 h内平均MAP可作为严重脓毒症患者住院病死率的独立危险因素。因此,MAP作为高龄脓毒症患者的预后指标是合理的。
本研究结果显示,前白蛋白、BUN和PCT亦是预测高龄脓毒症患者死亡的危险因素,前白蛋白是评估营养状态急性变化的重要指标,营养不良与老年脓毒症患者预后密切相关[26]。BUN主要反映肾功能的指标,提示脓毒症患者肾功能损害是影响预后的一个重要因素,这与汪洋等[6]的研究结果相符。PCT是炎症指标之一,Jensen等[27]研究显示高PCT水平是ICU患者90 d内死亡的独立预测因子,本研究也得出一致结论。
本研究具有一定的局限性:①本研究未将抗菌药物的使用、侵入性操作、营养支持治疗等干预措施纳入影响因素进行分析,可能导致结果的偏倚。②本研究构建的列线图未与急性生理与慢性健康评分Ⅱ及SOFA评分等传统评分进行比较。③本研究为单中心研究,未来需开展大规模、多中心研究进行外部验证,以评估该模型的临床推广性。
综上所述,本研究基于高龄脓毒症患者28 d死亡的独立危险因素,构建了死亡风险预测的列线图,该模型预测性能较好,为临床医生识别高危死亡风险患者提供了简单、易行的方法。
利益冲突 所有作者声明无利益冲突
作者贡献声明 李秋敬:研究的设计与实施、收集并分析数据、论文撰写;商娜:实验设计、论文修订;王真、杨铁城:文献支持、统计分析指导;郭树彬:论文审校、质量控制。所有作者确认了论文的最终稿
| [1] | Singer M, Deutschman CS, Seymour CW, et al. The third international consensus definitions for sepsis and septic shock (sepsis-3)[J]. JAMA, 2016, 315(8): 801-810. DOI:10.1001/jama.2016.0287 |
| [2] | Rudd KE, Johnson SC, Agesa KM, et al. Global, regional, and national sepsis incidence and mortality, 1990-2017: analysis for the Global Burden of Disease Study[J]. Lancet, 2020, 395(10219): 200-211. DOI:10.1016/S0140-6736(19)32989-7 |
| [3] | Xie JF, Wang HL, Kang Y, et al. The epidemiology of sepsis in Chinese ICUs: a national cross-sectional survey[J]. Crit Care Med, 2020, 48(3): e209-e218. DOI:10.1097/CCM.0000000000004155 |
| [4] | Martin-Loeches I, Guia MC, Vallecoccia MS, et al. Risk factors for mortality in elderly and very elderly critically ill patients with sepsis: a prospective, observational, multicenter cohort study[J]. Ann Intensive Care, 2019, 9(1): 26. DOI:10.1186/s13613-019-0495-x |
| [5] | 王斌, 陈剑平, 欧阳建. 脓毒症患者30天死亡风险预测模型的建立[J]. 中华急诊医学杂志, 2021, 30(10): 1240-1247. DOI:10.3760/cma.j.issn.1671-0282.2021.10.015 |
| [6] | 汪洋, 陈上仲, 胡才宝, 等. 基于随机森林法的严重脓毒症/脓毒性休克预后评估模型对患者28 d死亡的预测价值[J]. 中华危重病急救医学, 2017, 29(12): 1071-1076. DOI:10.3760/cma.j.issn.2095-4352.2017.12.004 |
| [7] | Zeng QB, He LP, Zhang NQ, et al. Prediction of 90-day mortality among sepsis patients based on a nomogram integrating diverse clinical indices[J]. Biomed Res Int, 2021, 2021: 1023513. DOI:10.1155/2021/1023513 |
| [8] | Folstein MF, Folstein SE, McHugh PR. "Mini-mental state". A practical method for grading the cognitive state of patients for the clinician[J]. J Psychiatr Res, 1975, 12(3): 189-198. DOI:10.1016/0022-3956(75)90026-6 |
| [9] | Rockwood K, Song XW, MacKnight C, et al. A global clinical measure of fitness and frailty in elderly people[J]. CMAJ, 2005, 173(5): 489-495. DOI:10.1503/cmaj.050051 |
| [10] | Collins GS, Reitsma JB, Altman DG, et al. Transparent reporting of a multivariable prediction model for Individual Prognosis or Diagnosis (TRIPOD): the TRIPOD statement[J]. J Clin Epidemiol, 2015, 68(2): 134-143. DOI:10.1016/j.jclinepi.2014.11.010 |
| [11] | Martin GS, Mannino DM, Moss M. The effect of age on the development and outcome of adult sepsis[J]. Crit Care Med, 2006, 34(1): 15-21. DOI:10.1097/01.ccm.0000194535.82812.ba |
| [12] | Terrell KM, Hustey FM, Hwang U, et al. Quality indicators for geriatric emergency care[J]. Acad Emerg Med, 2009, 16(5): 441-449. DOI:10.1111/j.1553-2712.2009.00382.x |
| [13] | Hayat SA, Luben R, Dalzell N, et al. Understanding the relationship between cognition and death: a within cohort examination of cognitive measures and mortality[J]. Eur J Epidemiol, 2018, 33(11): 1049-1062. DOI:10.1007/s10654-018-0439-z |
| [14] | Crosby G, Culley DJ, Hyman BT. Preoperative cognitive assessment of the elderly surgical patient: a call for action[J]. Anesthesiology, 2011, 114(6): 1265-1268. DOI:10.1097/ALN.0b013e31821b1bc8 |
| [15] | Level C, Tellier E, Dezou P, et al. Outcome of older persons admitted to intensive care unit, mortality, prognosis factors, dependency scores and ability trajectory within 1year: a prospective cohort study[J]. Aging Clin Exp Res, 2018, 30(9): 1041-1051. DOI:10.1007/s40520-017-0871-z |
| [16] | Han JH, Shintani A, Eden S, et al. Delirium in the emergency department: an independent predictor of death within 6 months[J]. Ann Emerg Med, 2010, 56(3): 244-252.e1. DOI:10.1016/j.annemergmed.2010.03.003 |
| [17] | Guidet B, de Lange DW, Boumendil A, et al. The contribution of frailty, cognition, activity of daily life and comorbidities on outcome in acutely admitted patients over 80 years in European ICUs: the VIP2 study[J]. Intensive Care Med, 2020, 46(1): 57-69. DOI:10.1007/s00134-019-05853-1 |
| [18] | Clegg A, Young J, Iliffe S, et al. Frailty in elderly people[J]. Lancet, 2013, 381(9868): 752-762. DOI:10.1016/S0140-6736(12)62167-9 |
| [19] | Kaeppeli T, Rueegg M, Dreher-Hummel T, et al. Validation of the clinical frailty scale for prediction of thirty-day mortality in the emergency department[J]. Ann Emerg Med, 2020, 76(3): 291-300. DOI:10.1016/j.annemergmed.2020.03.028 |
| [20] | O'Caoimh R, Costello M, Small C, et al. Comparison of frailty screening instruments in the emergency department[J]. Int J Environ Res Public Health, 2019, 16(19): 3626. DOI:10.3390/ijerph16193626 |
| [21] | Fried LP, Tangen CM, Walston J, et al. Frailty in older adults: evidence for a phenotype[J]. J Gerontol A Biol Sci Med Sci, 2001, 56(3): M146-M156. DOI:10.1093/gerona/56.3.m146 |
| [22] | Mitnitski AB, Mogilner AJ, Rockwood K. Accumulation of deficits as a proxy measure of aging[J]. Sci World J, 2001, 1: 323-336. DOI:10.1100/tsw.2001.58 |
| [23] | 董家辉, 王玲玲, 熊日成, 等. 基于衰弱综合征建立老年脓毒症患者180 d病死率的预测评分[J]. 中华危重病急救医学, 2021, 33(3): 257-262. DOI:10.3760/cma.j.cn121430-20201027-00688 |
| [24] | 李志华, 成慧昕, 王毅, 等. 白蛋白/纤维蛋白原比值对脓毒症患者28 d死亡风险的预测价值[J]. 中华急诊医学杂志, 2023, 32(2): 180-185. DOI:10.3760/cma.j.issn.1671-0282.2023.02.009 |
| [25] | Houwink AP, Rijkenberg S, Bosman RJ, et al. The association between lactate, mean arterial pressure, central venous oxygen saturation and peripheral temperature and mortality in severe sepsis: a retrospective cohort analysis[J]. Crit Care, 2016, 20: 56. DOI:10.1186/s13054-016-1243-3 |
| [26] | Abugroun A, Nayyar A, Abdel-Rahman M, et al. Impact of malnutrition on hospitalization outcomes for older adults admitted for sepsis[J]. Am J Med, 2021, 134(2): 221-226.e1. DOI:10.1016/j.amjmed.2020.06.044 |
| [27] | Jensen JU, Heslet L, Jensen TH, et al. Procalcitonin increase in early identification of critically ill patients at high risk of mortality[J]. Crit Care Med, 2006, 34(10): 2596-2602. DOI:10.1097/01.CCM.0000239116.01855.61 |
2024, Vol. 33



