中华急诊医学杂志  2023, Vol. 32 Issue (9): 1221-1225   DOI: 10.3760/cma.j.issn.1671-0282.2023.09.013
miR-21在脓毒症急性呼吸窘迫综合征中的表达及临床价值
周莹 , 吴爽 , 柯慧娟 , 陈琛 , 李天民     
河北北方学院附属第一医院重症医学科,张家口 075000
摘要: 目的 探讨血清微小RNA-21(miR-21)在脓毒症急性呼吸窘迫综合征(acute respiratory distress syndrome,ARDS)患者中的表达水平,分析其与炎症因子的相关性及对临床预后的评估价值。方法 采用前瞻性研究,选取2020年10月至2022年3月河北北方学院附属第一医院重症医学科收治的脓毒症患者作为研究对象,根据入院3 d内是否合并ARDS分为ARDS组和非ARDS组,根据氧合指数将ARDS组分为低危组和高危组,根据28 d生存情况将ARDS组分为存活组和死亡组。另选择同期体检的50例健康志愿者纳入对照组。比较各组入院时外周血miR-21表达水平和炎症因子[白细胞介素(interleukin, IL)-6和肿瘤坏死因子α(tumor necrosis factor-α, TNF-α)]水平,分析血清miR-21表达与炎症因子关系,探究miR-21对预测脓毒症ARDS患者预后的评估价值。结果 本研究106例脓毒症患者。与健康对照组相比,ARDS组、非ARDS组血清miR-21、TNF-α和IL-6水平均显著升高(均P < 0.05);与低危组相比,高危组血清miR-21表达水平、TNF-α和IL-6水平均显著升高(均P < 0.05);与生存组相比,死亡组血清miR-21表达水平、TNF-α和IL-6水平均显著升高(均P < 0.05)。Pearson相关分析表明,ARDS组血清miR-21表达水平与IL-6和TNF-α水平呈正相关(r=0.842、0.697,P < 0.001)。ROC曲线分析显示,血清miR-21预测脓毒症合并ARDS死亡的AUC=0.876(95%CI: 0.761~0.942),最佳截断值为2.25,敏感度、特异度分别为92.9%和71.7%。结论 血清miR-21表达水平在脓毒症ARDS患者中明显升高,和炎症因子水平呈正相关,并与疾病严重程度和预后密切相关,对脓毒症ARDS患者预后有较大的评估价值。
关键词: 微小核糖核酸-21    脓毒症    急性呼吸窘迫综合征    肿瘤坏死因子-α    白介素-6    预后评估    
Expression and clinical value of miR-21 in septic acute respiratory distress syndrome
Zhou Ying , Wu Shuang , Ke Huijuan , Chen Chen , Li Tianmin     
Department of Intensive Care Unit, the First Affiliated Hospital of Hebei North University, Zhangjiakou 075000, China
Abstract: Objective To investigate the expression level of miR-21 in patients with septic acute respiratory distress syndrome, and analyze its correlation with inflammatory factors and its value in evaluating clinical prognosis. Methods Patients with sepsis admitted to the intensive care unit (ICU) of the First Affiliated Hospital of Hebei North University from October 2020 to March 2022 were prospectively recruited. The patients were divided into an ARDS group and a non-ARDS group according to whether ARDS occurred within 3 days after admission. The ARDS group was divided into a low-risk group and a high-risk group according to the oxygenation index, and the ARDS group was divided into a survival group and a death group according to their 28-day survival status. In addition, 50 healthy volunteers who underwent physical examination during the same period were included in the control group. The expression levels of serum miR-21 and inflammatory factors [tumor necrosis factor-α (TNF-α) and interleukin-6 (IL-6)] were compared in each group at admission. To analyze the relationship between miR-21 expression and inflammatory factors and explore the value of miR-21 in predicting the prognosis of sepsis patients with ARDS. Results A total of 106 patients with sepsis were included. Compared with the healthy control group, the levels of serum miR-21, TNF-α and IL-6 in the ARDS group and non-ARDS group were significantly increased (all P < 0.05). Compared with the low-risk group, the levels of serum miR-21, TNF-α and IL-6 in the high-risk group were significantly increased (all P < 0.05). Compared with the survival group, the serum miR-21 expression level and TNF-α and IL-6 levels in the death group were significantly increased (all P < 0.05). Pearson correlation analysis showed that the serum miR-21 expression level in the ARDS group was positively correlated with IL-6 and TNF-α levels (r=0.842, 0.697, P < 0.001). ROC curve analysis showed that the AUC of serum miR-21 in predicting death from sepsis complicated with ARDS was 0.876 (95%CI: 0.761-0.942), the best cut-off value was 2.25, and its sensitivity and specificity were 92.9% and 71.7%, respectively. Conclusions The expression level of serum miR-21 is significantly increased in patients with sepsis ARDS, is positively correlated with the level of inflammatory factors, is closely correlated with the severity and prognosis of the disease, and has great value in evaluating the prognosis of patients with sepsis ARDS.
Key words: Microribonucleic acid-21    Sepsis    Acute respiratory distress syndrome    Tumor necrosis factor-α    Interleukin-6    Prognostic evaluation    

脓毒症是临床常见的急危重症,急性呼吸窘迫综合征(acute respiratory distress syndrome, ARDS)是其严重并发症之一[1],其主要特点为起病急骤,病情凶险,预后差且病死率高,严重危协患者的生命健康[2]。随着现代医学的进步,ARDS的预后有所改善,但其病死率仍居高不下[3]。因此,早期有效的评估脓毒症ARDS患者病情及预后,是指导治疗和改善预后的关键。目前对脓毒症并发ARDS病情严重程度及预后判断主要依赖氧合指数和急性生理与慢性健康状况Ⅱ(acute physiological and chronic health score system Ⅱ, APACHEⅡ)评分,缺乏特异度更高的早期诊断指标。微小核糖核酸(Micro RNA, miRNA)作为一种新型的基因调控分子,可参与调控炎症因子的表达,影响肺微血管的萌发、肺泡的成熟,在急性肺损伤的发生发展过程中起着关键作用[4]。miR-21作为miR中的重要亚型,可在血清中稳定表达,并在调控组织炎症损伤的中发挥核心作用[5]。研究发现miR-21在急性肺损伤小鼠模型中表达上调,可通过影响靶基因的表达调节炎症通路和免疫应答,有望成为治疗急性肺损伤的潜在靶点[6]。然而关于miR-21与脓毒症合并ARDS的关系,是否参与调控脓毒症ARDS患者炎症水平,目前相关报道较少。本研究通过检测脓毒症ARDS患者血清miR-21的表达水平,分析其与炎症因子水平的关系及预测ARDS患者预后的价值,为早期精准判断脓毒症ARDS患者的病情、改善患者的预后提供依据。

1 资料与方法 1.1 一般资料

本研究为前瞻性观察性研究,选取2020年10月至2022年3月入住河北北方学院附属第一医院重症监护病房的脓毒症患者作为研究对象。纳入标准:(1)符合脓毒症3.0定义及诊断标准[7];(2)合并ARDS患者符合2012年柏林诊断标准[8]。排除标准:(1)入院前已诊断重症哮喘、肺纤维化、呼吸衰竭等严重肺部基础疾病者;(2)患有自身免疫性疾病、长期使用激素、恶性肿瘤和器官移植者;(3)病情过重,入院24 h内自动出院或死亡的患者;(4)病历资料不完整或无法配合研究人员工作的患者。

本研究符合医学伦理学要求,并通过河北北方学院附属第一医院伦理委员会批准(审批号:K2020099),各种检测均获得患者或家属的知情同意。

1.2 研究对象分组

根据入院3 d内是否出现ARDS并发症将研究对象分为ARDS组和非ARDS组,根据氧合指数将ARDS组分为低危组和高危组[本研究以150 mmHg(1 mmHg=0.133 kPa)为界限,≤150 mmHg为高危组],根据28 d生存情况将ARDS组分为存活组和死亡组。另选择同期体检的50例健康志愿者作为对照组。

1.3 检测指标与方法 1.3.1 血清miR-21检测

所有脓毒症患者均于发病当天治疗前、健康志愿者于体检时抽取外周血5 mL,置于EDTA抗凝管中,离心分离血浆后放置-80 ℃冰箱保存待测。使用RNA提取试剂盒(购自美国Ambio公司)提取血清中的总RNA,应用紫外分光光度计测定RNA浓度。根据逆转录试剂盒(购自上海碧云天生物技术公司)操作说明将总RNA转录为模板链cDNA,采用RT-PCR试剂盒(购自日本Ta Ka Ra公司)实时定量PCR,反应体系为10 μL:Power SYBR Green 5 µL,正反向引物(10 µmol/L)0.5 µL,cDNA模板0.4 µL,去离子水3.6 µL,扩增条件:95 ℃预变性60 s,95 ℃ 30 s,60 ℃ 30 s,72 ℃ 20 s进行40个循环,实验重复3次。以内参U6表达量作参照,以2-∆∆Ct法计算血清miR-21相对表达量,引物由上海生工生物工程有限公司合成,内参U6及引物序列见表 1

表 1 PCR扩增引物序列 Table 1 PCR amplified primer sequences
基因 引物序列
miR-21 正向引物5’-TAGTTATCAGACTGATGTTGA-3’
反向引物5’-ACAACATCAGTCTTGATAACTA-3’
U6 正向引物5’-CTCGCTTCGGCAGCACA-3’
反向引物5’-AACGCTTCACGAATTTGC-3’
1.3.2 血清炎症因子检测

从-80℃冰箱中取出各组血清标本,应用上海恒斐生物科技有限公司的ELISA试剂盒测定血清炎症指标[白细胞介素(interleukin, IL)-6和肿瘤坏死因子α(tumor necrosis factor-α, TNF-α)]的水平。

1.4 统计学方法

应用SPSS 19.0软件对数据进行分析处理。符合正态分布的计量资料以均数±标准差(x±s)表示,两组资料比较采用独立样本t检验,多组间资料均数比较采用单因素方差分析,组间多重比较用LSD-t法。计数变量以例数(%)表示,两组间比较采用卡方检验。使用Pearson法分析研究组血清miR-21表达与IL-6和TNF-α水平的相关性;绘制受试者工作特征(receiver operating characteristic,ROC)曲线分析miR-21表达水平对脓毒症ARDS患者预后的评估价值。以P < 0.05为差异有统计学意义。

2 结果 2.1 患者的一般资料比较

共有106例脓毒症患者纳入研究,其中男性57例,女性49例,年龄(63.84±9.98)岁,体重指数(body mass index, BMI)(22.94±2.41)kg/m2。根据入院3 d内是否出现ARDS并发症分为ARDS组45例,非ARDS组61例。根据氧合指数将ARDS组分为低危组28例,高危组17例。根据28 d生存情况将ARDS组分为存活组31例,死亡组14例。选择同期体检的50例健康志愿者作为对照组。ARDS组、非ARDS组与对照组比较,年龄、性别、BMI均差异无统计学意义(均P > 0.05);ARDS组与非ARDS组原发病因差异无统计学意义(P > 0.05),见表 2

表 2 不同组间一般资料比较 Table 2 Comparison of general data among different groups
指标 ARDS组(n=45) 非ARDS组(n=61) 对照组(n=50) 统计值 P
年龄(岁)a 64.41±10.83 63.26±9.35 62.92±10.03 0.273 0.761
男性/女性 24/21 33/28 29/21 0.251 0.882
BMI(kg/m2a 22.68±2.26 23.12±2.51 22.24±2.47 1.811 0.367
病因b
  感染 23(51.1) 34(55.73) 0.637 0.696
  创伤 10(22.2) 11(18.03) 0.593 0.628
  胰腺炎 9(20) 9(14.75) 0.477 0.602
  其他 3(6.67) 7(11.48)   0.563 0.737
注:BMI为体重指数;ax±sb为(例,%)
2.2 不同组间血清miR-21、TNF-α及IL-6水平比较

与健康对照组相比,ARDS组、非ARDS组血清miR-21、TNF-α和IL-6水平均显著升高,差异有统计学意义(均P < 0.05);与非ARDS组相比,ARDS组血清miR-21、TNF-α和IL-6水平均显著升高(均P < 0.05)。见表 3

表 3 不同组间血清miR-21、TNF-α及IL-6水平比较(x±s Table 3 Comparison of serum miR-21, TNF-α and IL-6 levels among different groups(x±s)
指标 对照组(n=50) 非ARDS组(n=45) ARDS组(n=61) 统计值 P
miR-21 1.08±0.32 1.68±0.37 a 2.39±0.42 ab 49.54 < 0.001
TNF-α (ng/L) 17.51±7.39 59.75±19.24 a 93.18±20.60 ab 82.63 < 0.001
IL-6 (ng/L) 9.47±4.53 52.14±16.06 a 87.68±18.43 ab 127.52 < 0.001
注:miR-21为微小核糖核酸-21,TNF-α为肿瘤坏死因子-α,IL-6为白介素-6;a与对照组比较,P < 0.05;b与非ARDS组比较,P < 0.05
2.3 不同严重程度亚组血清miR-21和TNF-α、IL-6水平比较

与低危组相比,高危组血清miR-21、TNF-α和IL-6水平均显著升高,差异有统计学意义(均P < 0.05)。见表 4

表 4 不同严重程度亚组血清miR-21、TNF-α及IL-6水平比较(x±s Table 4 Comparison of serum miR-21, TNF-α and IL-6 levels in different severity subgroups(x±s)
指标 低危组(n=28) 高危组(n=17) t P
miR-21 2.03±0.44 2.76±0.57 -4.849 < 0.001
TNF-α (ng/L) 76.24±15.81 110.21±18.69 -6.522 < 0.001
IL-6 (ng/L) 69.52±19.76 105.63±20.48 -5.864 < 0.001
2.4 不同预后患者血清miR-21和TNF-α、IL-6水平比较

与存活组相比,死亡组血清miR-21、TNF-α和IL-6水平均显著升高,差异有统计学意义(均P < 0.05)。见表 5

表 5 不同预后患者血清miR-21、TNF-α及IL-6水平比较(x±s Table 5 Comparison of serum miR-21, TNF-α and IL-6 levels in patients with different prognoses(x±s)
指标 存活组(n=31) 死亡组(n=14) t P
miR-21 2.15±0.39 2.63±0.50 -3.437 < 0.001
TNF-α (ng/L) 81.46±15.44 105.27±17.12 -4.631 < 0.001
IL-6 (ng/L) 65.35±16.21 105.54±22.33 -6.828 < 0.001
注:miR-21为微小核糖核酸-21,TNF-α为肿瘤坏死因子-α,IL-6为白介素-6
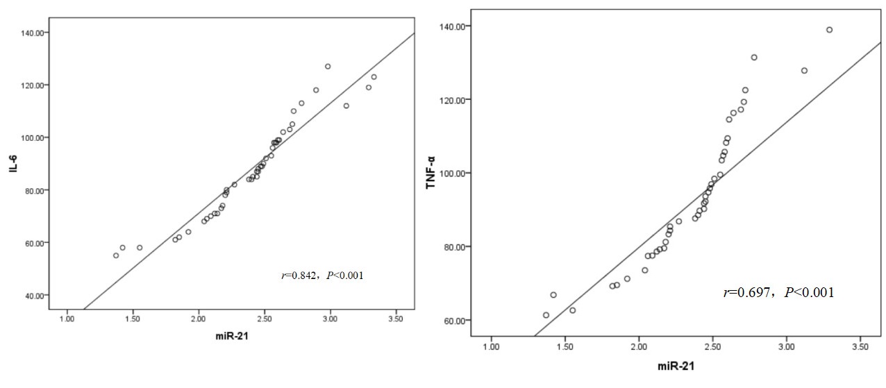
2.5 ARDS组血清miR-21表达水平与IL-6及TNF-α相关性分析

Pearson相关分析显示,ARDS组血清miR-21表达水平与血清IL-6和TNF-α水平呈正相关(r=0.842、0.697,均P < 0.001),见图 1

图 1 ARDS组血浆miR-21表达水平与IL-6及TNF-α相关性分析 Fig 1 Correlation analysis of plasma miR-21 expression levels with IL-6 and TNF-α in the ARDS group
2.6 血浆miR-21预测脓毒症ARDS患者死亡的价值

绘制ROC曲线结果显示,miR-21曲线下面积(AUC)为0.876(95%CI: 0.761~0.942),当截断值为2.25时约登指数最大(Youden =0.707),敏感度为92.9%,特异度为71.7%,见图 2

图 2 血清miR-21水平与ARDS患者死亡的ROC曲线图 Fig 2 ROC curve of serum miR-21 levels and death in ARDS patients
3 讨论

ARDS是指各种肺内外因素导致的弥漫性肺毛细血管内皮损伤及肺泡上皮屏障功能破坏,炎症浸润,增加肺血管内皮通透性,引起肺间质和肺泡水肿。ARDS是脓毒症的常见并发症,其显著的病理特征为肺泡塌陷、肺容积减小、肺顺应性下降和通气血流比例失调,临床表现为持续性呼吸窘迫和进行性血氧大幅降低[9]。脓毒症导致的ARDS发病机制错综复杂,研究认为ARDS的病理生理学机制与炎性因子失衡密切相关,炎性因子是ARDS发生发展过程中的核心环节[10]。机体合并ARDS时会发生炎症反应失控,此时肺泡巨噬细胞、中性粒细胞等炎症细胞被激活,导致多种炎性介质如TNF-α和IL-6等被过度释放,进一步启动炎症级联反应,加重脓毒症患者的肺部损伤[11]。IL-6在脓毒症发生后迅速升高,可在24 h内达高峰,TNF-α高峰期时间较IL-6短,TNF-α和IL-6能直接反映脓毒症患者的早期炎症反应程度。因此本研究选择脓毒症患者入住ICU 24 h内、治疗前这个时间节点进行抽血检验。从本研究结果看,ARDS组患者血清IL-6和TNF-α水平明显高于脓毒症组和健康志愿者,且高危组和死亡组血清IL-6和TNF-α水平明显高于低危组和生存组,说明IL-6和TNF-α水平在ARDS患者中明显升高,并随病情加重而增加,与既往研究相符[12-13]

miRNA是小的内源性非编码RNA分子,由19~25个核苷酸组成,在体内表达丰富且敏感度高。研究表明,miRNA参与调控脓毒症的病理生理学过程,能在转录和翻译水平上调控炎性因子水平,可作为脓毒症的重要诊断指标和治疗靶点[14]。另有研究发现,miRNA参与ARDS的发生发展,在ARDS的炎症反应和细胞凋亡中发挥重要的调节作用[15]。miRNA-21作为miRNA重要家族之一,已被证明通过靶向多种免疫受体和细胞因子,在不同的肺部疾病中发挥作用,如特发性肺纤维化和肺动脉高压[16]。近期报道,miR-21在ARDS患儿中表达明显增加,并且与炎症反应激活及预后密切相关[17]。本研究显示,ARDS组患者血清miR-21水平明显高于非ARDS组和健康志愿者,且高危组血清miR-21水平明显高于低危组,死亡组血清miR-21水平明显高于存活组,提示miR-21表达量的增多可能与脓毒症导致的ARDS病情发展变化相关,可作为判断病情严重程度及预后的辅助指标。

miR-21在脓毒症ARDS中的作用机制尚未明确。众所周知,miR-21在功能上与NF-κB信号相关,miR-21基因的启动子区域有两个潜在的NF-κB位点,可以响应NF-KB P65亚基绑定[18]。NF-κB信号通路可能是决定miR-21在炎症反应中作用的主要调节通路[5]。紧张素同源物(phosphatase and tensin homolog deleted on chromosome ten,PTEN)基因是一种已知的蛋白激酶B磷酸化抑制剂(AKT),是miR-21的靶蛋白之一,可促进NF-κB活化促进炎症反应。Azizoğlu等[19]在模拟脂多糖诱导的ARDS大鼠模型中发现,miR-21可能参与了NF-κB通路相关的ARDS发病机制。在本研究中,Pearson相关分析显示,血清miR-21表达水平与TNF-α、IL-6水平呈正相关,提示miR-21具有促炎作用,推测miR-21可能通过调控PTEN/AKT途径,进一步调控NF-κB信号通路从而影响脓毒症ARDS炎症因子释放。ROC曲线分析示血浆miR-21表达水平≥2.25时,对脓毒症ARDS患者预后评估具有较高的敏感度和特异度,曲线下面积最大,提示miRNA-21表达水平与脓毒症ARDS疾病发展和疾病严重程度有关,可作为ARDS预后评估的生物标志物。

综上所述,血清miR-21在脓毒症ARDS患者中的表达明显升高,和机体炎症水平呈正相关,并与疾病严重程度和预后关系较大,对脓毒症ARDS患者预后有较高的评估价值,同时也为进一步了解脓毒症ARDS发病机制及靶向治疗提供新思路。

利益冲突  所有作者声明无利益冲突

作者贡献声明  周莹:研究设计、数据收集、数据整理、统计学分析、论文撰写;吴爽:临床病例筛选,收集数据;柯慧娟:数据统计分析;陈琛:课题研究设计;李天民:论文修改,指导支持

参考文献
[1] 葛建辉. 脓毒症患者并发ARDS的早期危险因素分析[J]. 浙江医学, 2017, 39(20): 1789-1792. DOI:10.12056/j.issn.1006-2785.2017.39.20.2017-1141
[2] Mowery NT, Terzian WTH, Nelson AC. Acute lung injury[J]. Curr Probl Surg, 2020, 57(5): 100777. DOI:10.1016/j.cpsurg.2020.100777
[3] 杨登元, 朱宝华, 张凯, 等. 内皮细胞特异性分子1在早期预测肠源性脓毒症急性呼吸窘迫综合征的价值[J]. 成都医学院学报, 2020, 15(5): 611-614. DOI:10.3969/j.issn.1674-2257.2020.05.016
[4] Ferruelo A, Peñuelas ó, Lorente JA. microRNAs as biomarkers of acute lung injury[J]. Ann Transl Med, 2018, 6(2): 34. DOI:10.21037/atm.2018.01.10
[5] Madhyastha R, Madhyastha H, Nurrahmah QI, et al. microRNA 21 elicits a pro-inflammatory response in macrophages, with exosomes functioning as delivery vehicles[J]. Inflammation, 2021, 44(4): 1274-1287. DOI:10.1007/s10753-021-01415-0
[6] Zhu WD, Xu J, Zhang M, et al. microRNA-21 inhibits lipopolysaccharide-induced acute lung injury by targeting nuclear factor-κB[J]. Exp Ther Med, 2018, 16(6): 4616-4622. DOI:10.3892/etm.2018.6789
[7] Singer M, Deutschman CS, Seymour CW, et al. The third international consensus definitions for Sepsis and septic shock (Sepsis-3)[J]. JAMA, 2016, 315(8): 801-810. DOI:10.1001/jama.2016.0287
[8] Definition Task Force ARDS, Ranieri VM, Rubenfeld GD, et al. Acute respiratory distress syndrome: the Berlin Definition[J]. JAMA, 2012, 307(23): 2526-2533. DOI:10.1001/jama.2012.5669
[9] Kong FP, Sun YQ, Song WK, et al. miR-216a alleviates LPS-induced acute lung injury via regulating JAK2/STAT3 and NF-κB signaling[J]. Hum Cell, 2020, 33(1): 67-78. DOI:10.1007/s13577-019-00289-7
[10] 吴丁烨, 高飞, 梁锋鸣, 等. 探讨内皮糖萼降解产物对急性呼吸窘迫综合征患者肺水肿的评估价值[J]. 中华急诊医学杂志, 2023, 32(1): 95-100. DOI:10.3760/cma.j.issn.1671-0282.2023.01.016
[11] Reiss LK, Schuppert A, Uhlig S. Inflammatory processes during acute respiratory distress syndrome: a complex system[J]. Curr Opin Crit Care, 2018, 24(1): 1-9. DOI:10.1097/MCC.0000000000000472
[12] 林燕, 张发钦, 李海涛. 外周血IL-6、TNF-α早期检测对急性胰腺炎相关肺损伤及其性质的临床预测价值[J]. 中国医学创新, 2018, 15(30): 1-4. DOI:10.3969/j.issn.1674-4985.2018.30.001
[13] 洪原城, 洪林杰, 黄种杰, 等. 血清NT-proBNP、IL-6、TNF-α检测在肺损伤病情与预后评估中的应用价值[J]. 国际检验医学杂志, 2017, 38(12): 1603-1605. DOI:10.3969/j.issn.1673-4130.2017.12.007
[14] Hashemian SM, Pourhanifeh MH, Fadaei S, et al. Non-coding RNAs and exosomes: their role in the pathogenesis of sepsis[J]. Mol Ther Nucleic Acids, 2020, 21: 51-74. DOI:10.1016/j.omtn.2020.05.012
[15] Zheng Y, Liu SQ, Sun Q, et al. Plasma microRNAs levels are different between pulmonary and extrapulmonary ARDS patients: a clinical observational study[J]. Ann Intensive Care, 2018, 8(1): 23. DOI:10.1186/s13613-018-0370-1
[16] Sessa R, Hata A. Role of microRNAs in lung development and pulmonary diseases[J]. Pulm Circ, 2013, 3(2): 315-328. DOI:10.4103/2045-8932.114758
[17] 周莉蓉, 王琪, 麦碧薇, 等. 急性呼吸窘迫综合征患儿血清miR-21水平与炎性因子水平及临床预后的关系[J]. 疑难病杂志, 2020, 19(5): 457-461. DOI:10.3969/j.issn.1671-6450.2020.05.006
[18] Madhyastha R, Madhyastha H, Pengjam Y, et al. The pivotal role of microRNA-21 in osteoclastogenesis inhibition by anthracycline glycoside aloin[J]. J Nat Med, 2019, 73(1): 59-66. DOI:10.1007/s11418-018-1237-3
[19] Azizoğlu M, Ayaz L, Bayrak G, et al. Evaluation of miRNAs related with nuclear factor kappa B pathway in lipopolysaccharide induced acute respiratory distress syndrome[J]. Int J Mol Cell Med, 2020, 9(2): 130-139. DOI:10.22088/IJMCM.BUMS.9.2.130