中华急诊医学杂志  2023, Vol. 32 Issue (7): 881-887   DOI: 10.3760/cma.j.issn.1671-0282.2023.07.006
老年急性冠脉综合征1年内主要不良心脑血管事件预测评分体系的构建及效能评估
王国栋1 , 刘慧珍2 , 商娜2 , 李俊玉2 , 刘小蒙2 , 郭树彬3     
1. 首都医科大学康复医学院,中国康复研究中心北京博爱医院心血管内科,北京 100068;
2. 首都医科大学康复医学院,中国康复研究中心北京博爱医院急诊科,北京 100068;
3. 首都医科大学附属北京朝阳医院急诊医学临床研究中心,心肺脑复苏北京市重点实验室,北京 100020
摘要: 目的 建立老年急性冠脉综合征(acute coronary syndrome, ACS)患者1年内发生主要不良心脑血管事件(major adverse cardiovascular and cerebrovascular event, MACCE)的预测评分体系,并评价其预测效能。方法 采用前瞻性队列研究方法,连续入选2019年1月至2021年12月北京博爱医院经急诊收入心血管内科监护病房(cardiovascular care unit, CCU)或急诊监护病房(emergency intensive care unit, EICU)的老年ACS患者。收集患者一般资料;记录住院期间发生恶性心律失常、完全血运重建、急性肾损伤(acute kidney injury, AKI)情况;24 h内测定血肌酐(serum creatinine, Scr)、白蛋白(albumin, Alb)、超敏C-反应蛋白(high-sensitivity C-reactive protein, hs-CRP)、肌酸激酶同工酶(creatinine kinase-MB, CK-MB)、D-二聚体(D-dimer)、心肌肌钙蛋白I(cardiac troponin I, cTnI)、N末端脑钠肽前体(NT-pro-BNP)等实验室指标;24 h内行经胸超声心动图检查;进行Killip分级、衰弱筛查问卷(frailty screening questionnaire, FSQ)评分;随访患者1年内发生MACCE的情况,采用单因素及多因素Logistic回归分析筛选MACCE的影响因素;绘制受试者工作特征(receiver operating characteristic, ROC)曲线确定连续型变量的截断值,参考临床进行离散化,根据各变量的β回归系数设立相应分值,建立MACCE的临床预测评分量表,采用ROC曲线评价其预测效能。结果 共入选322例老年ACS患者,1年内MACCE的发生率为24.5%。单因素Logisitc回归分析初步筛选自变量后显示,MACCE的影响因素(P < 0.2)包括:①连续型指标:年龄、体质量指数(body mass index, BMI)、Alb、hs-CRP、D-dimer、NT-pro-BNP、射血分数(ejection fraction, EF)、Killip分级、FSQ评分;②离散型指标:共患病≥3个、是否完全血运重建、合并AKI。对连续型指标离散化后进行多因素Logistic回归分析显示,年龄≥84岁、未完全血运重建、合并AKI、EF≤50%、FSQ≥3分是发生MACCE的独立危险因素[年龄≥84岁:优势比(OR)=4.351, 95%置信区间(95%CI): 1.635~11.576, P=0.003;未完全血运重建:OR=6.580, 95%CI: 2.397~18.060, P < 0.001;合并AKI:OR=2.647, 95%CI: 1.085~6.457, P=0.032; EF≤50%: OR=2.742, 95%CI: 1.062~7.084, P=0.037;FSQ≥3分:OR=9.345, 95%CI: 3.156~27.671, P < 0.001]。构建的MACCE临床预测评分体系总分为8分,包括:年龄≥84岁(2分)、未完全血运重建(2分)、FSQ≥3分(2分)、EF≤50%(1分)、合并AKI(1分);该评分体系预测MACCE的ROC曲线下面积(AUC)为0.891(95%CI: 0.844~0.938,P < 0.001);最佳截断值为 > 3分,其敏感度、特异度分别为0.825、0.792。结论MACCE预测评分体系具有较高的诊断效能,对临床医生早期判断老年ACS患者预后具有一定指导意义。
关键词: 老年    急性冠脉综合征    主要不良心脑血管事件    预测评分体系    预测效能    
Construction and efficacy evaluation of a scoring system for predicting major adverse cardiovascular and cerebrovascular events within 1 year in elderly patients with acute coronary syndrome
Wang Guodong1 , Liu Huizhen2 , Shang Na2 , Li Junyu2 , Liu Xiaomeng2 , Guo Shubin3     
1. Cardiovascular Department, Beijing Bo' Ai Hospital, China Rehabilitation Research Center, Capital Medical University School of Rehabilitation Medicine, Beijing 100068, China;
2. Department of Emergency Medicine, Beijing Bo' Ai Hospital, China Rehabilitation Research Center, Capital Medical University School of Rehabilitation Medicine, Beijing 100068, China;
3. Emergency Medicine Clinical Research Center, Beijing Chao-Yang Hospital, Capital Medical University, Beijing Key Laboratory of Cardiopulmonary Cerebral Resuscitation, Beijing 100020, China
Abstract: Objective To establish a prediction model for major adverse cardiovascular and cerebrovascular events (MACCE) in elderly patients with emergency acute coronary syndrome (ACS) within 1 year, and to evaluate its prediction efficiency. Methods This was a prospective cohort study. Elderly ACS patients who were admitted to the Cardiovascular Care Unit (CCU) or the Emergency Intensive Care Unit (EICU) in Beijing Bo' Ai Hospital through emergency department from January 2019 to December 2021 were successively enrolled. General data of the patients were collected within 24 h after admission, the incidence of malignant arrhythmia, complete revascularization and acute kidney injury (AKI) during hospitalization were recorded. Within 24 h, laboratory indexes such as serum creatinine (Scr), albumin (Alb), hypersensitive C-reactive protein (hs-CRP), creatine kinase isoenzyme MB (CK-MB), D-dimer, cardiac troponin I (cTnI) and N-terminal pro-brain natriuretic peptide (NT-pro-BNP) were measured. In addition, transthoracic echocardiography and the Frailty Screening Questionnaire (FSQ) were performed. Patients were followed up for the occurrence of MACCE within 1 year. The influencing factors of MACCE were screened by univariable and multivariable logistic regression analysis. The cut-off values of continuous variables were determined by receiver operating characteristic (ROC) curve and discretization was carried out with reference to clinical practice. Corresponding scores were set up according to the β regression coefficient of each variable to establish a clinical prediction score scale of MACCE. Finally, ROC curve was used to evaluate its prediction efficiency. Results The study enrolled 322 elderly ACS patients, and the incidence of MACCE within 1 year was 24.5%. After preliminary screening of independent variables by univariable logistic regression analysis, the influencing factors of MACCE (P < 0.2) were as follows: ① Continuous indicators: age, body mass index (BMI), Alb, hs-CRP, D-dimer, NT-pro-BNP, ejection fraction (EF), Killip grade and FSQ score; ② Discrete indicators: ≥3 comorbidities, incomplete revascularization, and AKI. Multivariable logistic regression analysis after discretization of continuous indicators showed that age ≥84 years old [odds ratio (OR)=4.351, 95% confidence interval (95%CI): 1.635-11.576, P=0.003], incomplete revascularization (OR=6.580, 95%CI: 2.397-18.060, P < 0.001), combined with AKI (OR=2.647, 95%CI: 1.085-6.457, P=0.032), EF ≤50% (OR=2.742, 95%CI: 1.062-7.084, P=0.037), and FSQ≥3 points (OR=9.345, 95%CI: 3.156-27.671, P < 0.001) were independent risk factors for MACCE. The total score of the clinical prediction system for MACCE was 8 points, including age ≥84 years old (2 points), incomplete revascularization (2 points), FSQ ≥3 points (2 points), EF ≤50% (1 point), and combined with AKI (1 point). The area under ROC curve (AUC) of the scoring system for predicting MACCE was 0.891, (95%CI: 0.844-0.938, P < 0.001). The optimal cut-off value was > 3 points, and the sensitivity and specificity were 0.825 and 0.792, respectively. Conclusions The prediction score scale of MACCE has a good diagnostic efficacy and has certain guiding value for clinicians to judge the prognosis of elderly ACS patients.
Key words: Elderly    Acute coronary syndrome    Major adverse cardiovascular and cerebrovascular events    Prediction scoring system    Prediction efficiency    

急性冠脉综合征(acute coronary syndrome, ACS)是一种发病率和病死率较高的急危重症;是由于冠状动脉内不稳定的粥样硬化斑块破裂,血小板黏附、激活、聚集,继发新鲜血栓形成,使冠脉部分或完全闭塞导致的心脏急性缺血综合征;是一组进展性疾病谱,包括ST段抬高型心肌梗死(ST elevation myocardial infarction, STEMI)、非ST段抬高型心肌梗死(non ST-segment elevation myocardial infarction, NSTEMI)和不稳定性心绞痛(unstable angina pectoris, UAP)。是冠心病致死致残的主要原因[1-2]。随着经皮冠状动脉介入治疗(percutaneous coronary intervention, PCI)技术的普及,ACS院内病死率有所下降;但老年ACS患者症状常不典型,且因共患病、生理机能下降、不能耐受PCI或术后双联抗血小板治疗等因素,治疗上较年轻患者更趋保守,导致预后不良结局增加[3]。据统计,约1/3的ACS患者为75岁以上的老年人,而高龄是患者发生再缺血、心力衰竭、大出血和院内死亡的独立危险因素[4-5]。衰弱是一种常见的老年综合征,增加老年患者不良临床结局[6-7],但其对ACS预后的影响目前研究较少。本研究以老年ACS患者为研究对象,以ACS后1年内发生主要不良心脑血管事件(major adverse cardiovascular and cerebrovascular events, MACCE)为观察终点,纳入衰弱筛查问卷(frailty screening questionnaire, FSQ)评估衰弱,建立一种新的老年ACS预后的评分体系,并验证其预测效能。以期量化衰弱筛查在ACS预后中的作用,为临床工作中早期识别老年ACS高危患者提供新手段,优化医疗决策,改善其预后。

1 资料与方法 1.1 研究对象

该研究设计为前瞻性队列研究。连续入选2019年1月至2021年12月北京博爱医院经急诊收入心血管内科监护病房(cardiac care unit, CCU)或急诊重症监护病房(emergency intensive care unit, EICU)的老年ACS患者322例。

纳入标准:①符合《急性冠脉综合征急诊快速诊治指南(2019)》[1]的ACS诊断标准;②发病72 h内入院;③年龄≥65岁。排除标准:①恶性肿瘤;②自身免疫性疾病;③精神类疾病;④不能配合完成问卷;⑤1年内失访。

本研究符合医学伦理学标准,并经中国康复研究中心医学伦理委员会审批通过(批号2019-49-2);所有受试者自愿参加,签署临床研究知情同意书。

1.2 研究方法 1.2.1 临床资料收集

收集所有入选患者的人口统计学资料,包括年龄、性别、体质量指数(body mass index, BMI);共患病,包括高血压、糖尿病、高脂血症、慢性阻塞性肺疾病、脑卒中、慢性肝脏疾病、慢性肾脏病;住院期间是否发生恶性心律失常、是否进行完全血运重建、是否发生急性肾损伤(acute kidney injury, AKI)等一般临床资料。其中,恶性心律失常主要记录高度房室传导阻滞、持续性室性心动过速、心室扑动及心室颤动,完全血运重建指冠状动脉旁路移植术或PCI达到冠脉造影术指导的功能学完全血运重建,AKI诊断参考2012年改善全球肾脏病预后组织(Kidney Disease Improving Global Outcomes, KDIGO)所确立的KDIGO-AKI标准[8]

1.2.2 血生化及凝血等指标测定

所有患者入院后24 h内采集空腹静脉血6 mL,检测血清生化、凝血指标,包括血肌酐(serum creatinine, Scr)、白蛋白(albumin, Alb)、超敏C-反应蛋白(high sensitivity C-reactive protein, hsCRP)、肌酸激酶同工酶(creatine kinase MB, CK-MB)、D-二聚体(D-dimer),检测心肌肌钙蛋白I(cardiac troponin I, cTnI)、N末端脑钠肽前体(N-terminal pro-brain natriuretic peptide, NT-pro-BNP)等指标。血生化指标应用奥林巴斯AU 680全自动生化分析仪(日本),D-dimer应用希森美康2100i q全自动凝血分析仪(上海),cTnI、NT-pro-BNP应用雷度米特AQT 90免疫荧光分析仪进行测定。其中,CK-MB、cTnI、NT-pro-BNP记录入院后最高值。

1.2.3 经胸超声心动图检查

入选患者采用GE Vivid E9超声机进行超声心动图检查。测量左房内径、左室舒张内径、左室后壁厚度,用辛普森法测定射血分数(ejection fraction, EF),评价左室收缩功能。

1.2.4 量表评定

所有入选患者入院后24 h内进行Killip分级、FSQ评分,由2名经过培训的急诊科或心血管内科主治医师完成。

1.2.5 终点随访

随访患者ACS后1年内MACCE的发生情况,发生1次或以上者均记为是,未发生者记为否。MACCE定义为全因死亡、心肌梗死、缺血驱动的血运重建、支架内血栓或脑卒中的复合事件[9]

1.3 统计学方法

采用SPSS 27.0和R语言4.2.1统计软件进行数据分析。采用单因素Logistic回归分析筛选影响发生MACCE的相关因素,剔除P > 0.2的变量,对保留的连续型指标借助受试者工作特征(receiver operator characteristic, ROC)曲线分析确定截断值,并参考临床进行离散化变成离散型指标。以是否发生MACCE为因变量,采用向前逐步回归法(Forward LR)筛选自变量,采用多因素Logistic回归分析确定MACCE的独立危险因素,相对危险度用优势比(odds ratio, OR)和95%置信区间(confidence interval, CI)表示。依据各危险因素的β回归系数设立相应分值,各危险因素积分之和为该患者的危险总评分。通过ROC曲线下面积(area under ROC curve,AUC)评价评分系统的预测效能,AUC取值范围为0.5~1.0,< 0.7表示诊断价值较低,0.7~0.9表示诊断价值中等,> 0.9表示诊断价值较高。以P < 0.05为差异有统计学意义。

2 结果 2.1 确定因素

322例CCU及EICU住院老年ACS患者完成1年随访,年龄65~99岁,中位年龄75岁;其中男性171例、女性151例,男女比例为1.13∶1;STEMI 142例、NSTEMI 135例、UAP 45例;发生MACCE 79例(24.5%)。纳入性别、年龄、BMI,是否共患病≥3个,是否发生恶性心律失常、完全血运重建、合并AKI,实验室指标(包括Scr、Alb、hs-CRP、CK-MB、D-dimer、cTnI、NT-pro-BNP),EF、心功能Killip分级、FSQ评分;进行单因素Logistic回归分析,最终保留的变量(P < 0.2)包括:①连续型指标:年龄、BMI、Alb、hs-CRP、D-dimer、cTnI、NT-pro-BNP、EF、killip分级、FSQ评分;②离散型指标:是否共患病≥3个、恶性心律失常、完全血运重建、合并AKI。见表 1

表 1 MACCE影响因素的单因素Logistic回归分析(n=322) Table 1 Univariable logistic regression analysis of factors influencing MACCE (n=322)
自变量 β S.E. χ2 P Exp (B) 95%CI for Exp(B)
年龄(岁) 0.056 0.012 20.843 < 0.001 1.058 1.033~1.084
性别            
  男性(参照) 0.000       1.000
  女性 0.091 0.332 0.076 0.783 1.096 0.572~2.099
BMI (kg/m2) −0.152 0.047 10.637 0.001 0.859 0.783~0.941
共患病≥3个            
  否(参照) 0.000       1.000
  是 0.853 0.368 5.383 0.020 2.347 1.142~4.824
恶性心律失常            
  否(参照) 0.000       1.000
  是 0.504 0.340 2.200 0.138 1.656 0.850~3.224
完全血运重建            
  是(参照) 0.000       1.000
  否 1.288 0.354 13.274 < 0.001 3.625 1.813~7.249
合并AKI            
  否(参照) 0.000       1.000
  是 1.052 0.345 9.286 0.002 2.863 1.456~5.633
Scr (μmol/L) 0.001 0.001 0.779 0.377 1.001 0.999~1.003
Alb (g/L) −0.095 0.038 6.231 0.013 0.909 0.844~0.980
hs-CRP (mg/dL) 0.042 0.028 2.270 0.132 1.043 0.987~1.102
CK-MB (U/L) 0.001 0.001 1.103 0.294 1.001 0.999~1.002
D-dimer (mg/L) 0.328 0.101 10.584 0.001 1.389 1.139~1.693
cTnI (μg/L) 0.096 0.063 2.296 0.130 1.101 0.972~1.246
NT-pro-BNP (ng/L) 0.000 0.000 25.471 < 0.001 1.000 1.000~1.000
EF (%) −0.134 0.035 14.938 < 0.001 0.875 0.817~0.936
Killip分级 2.113 0.299 49.990 < 0.001 8.273 4.605~14.861
FSQ(分) 0.754 0.131 0.131 < 0.001 2.124 1.644~2.746
注:BMI为体质量指数,AKI为急性肾损伤,Scr为血肌酐,Alb为白蛋白,hs-CRP为超敏C-反应蛋白,CK-MB为肌酸激酶同工酶,D-dimer为D-二聚体,cTnI为心肌肌钙蛋白I,NT-pro-BNP为N末端脑钠肽前体,EF为射血分数,FSQ为衰弱筛查问卷
2.2 确定连续型指标的截断值并离散化

对连续型指标年龄、BMI、Alb、hs-CRP、D-dimer、cTnI、NT-pro-BNP、EF、killip分级、FSQ评分借助ROC曲线分析,取约登指数最大值作为分界点确立最佳截断值,并参考临床进行离散化。见表 2

表 2 连续型指标的最佳截断值及赋值 Table 2 The optimal cut-off value and assignment of continuous indicators
指标 最佳截断值 赋值
年龄(岁) 84 ≥84=1, < 84=0
BMI(kg/m2) 22.0 ≤22.0=1, > 22.0=0
Alb(g/L) 36.5 ≤36.5=1, > 36.5=0
hs-CRP(mg/dL) 0.48 ≥0.48=1, < 0.48=0
D-dimer(mg/L) 0.45 ≥0.45=1, < 0.45=0
CTnI(μg/L) 0.15 ≥0.15=1, < 0.15=0
NT-pro-BNP(ng/L) 2 830 ≥2 830=1, < 2 830=0
EF 50% ≤50%=1, > 50%=0
Killip分级 2级 ≥2级=1, < 2级=0
FSQ分数 3分 ≥3分=1, < 3分=0
注:BMI为身体质量指数,Alb为白蛋白,hs-CRP为超敏C-反应蛋白,D-dimer为D-二聚体,cTnI为心肌肌钙蛋白I,NT-pro-BNP为N末端脑钠肽前体,EF为射血分数,FSQ为衰弱筛查问卷
2.3 多因素Logistic回归分析筛选MACCE的独立危险因素

以是否发生MACCE为因变量,将上述离散型指标(年龄≥84岁、BMI≤22.0 kg/m2、共患病≥3个、恶性心律失常、未完全血运重建、合并AKI、Alb≤36.5 g/L、hs-CRP≥0.48 mg/dl、D-dimer≥0.45 mg/L、cTnI≥0.15 μg/L、NT-pro-BNP≥2 830 ng/L、EF≤50%、Killip≥2级、FSQ分数≥3分)纳入多因素Logistic回归方程进行分析,采用Forward LR法筛选自变量,筛选出有统计学意义的指标:年龄≥84岁、未完全血运重建、合并AKI、EF≤50%、FSQ≥3分。见表 3

表 3 影响MACCE发生的多因素Logistic回归分析(n=322) Table 3 Multivariable logistic regression analysis of factors influencing MACCE (n=322)
变量 β S.E. χ2 P OR 95%CI
年龄≥84岁            
  否(参照) 0.000       1.000
  是 1.470 0.499 8.673 0.003 4.351 1.635~11.576
完全血运重建            
  是(参照) 0.000       1.000
  否 1.884 0.515 13.374 < 0.001 6.580 2.397~18.060
合并AKI            
  否(参照) 0.000       1.000
  是 0.974 0.455 4.580 0.032 2.647 1.085~6.457
EF≤50%            
  否(参照) 0.000       1.000
  是 1.009 0.484 4.340 0.037 2.742 1.062~7.084
FSQ≥3分            
  否(参照) 0.000       1.000
  是 2.235 0.554 16.280 < 0.001 9.345 3.156~27.671
常数 -4.411 0.693 40.571 < 0.001 0.012  
注:AKI为急性肾损伤,EF为射血分数,FSQ为衰弱筛查问卷

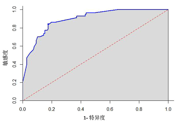
应用Logistic回归方程得到的联合变量模型的预测值(predicted value, PRE)为检测变量,回归方程:PRE=1/[1+e-(1.470×年龄得分+1.884×未完全血运重建得分+0.974×AKI得分+1.009×EF得分+2.235×FSQ衰弱得分-4.411)],绘制ROC曲线。AUC=0.895(95%CI: 0.849~0.941,P < 0.001);PRE取0.258为截断值,敏感度为0.842,特异度为0.825。模型验证结果示该MACCE预测模型具有较好的区分度、校准度。见图 1图 2

注:MACCE为主要不良心脑血管事件,ROC曲线为受试者工作特征曲线,AUC为ROC曲线下面积;PRE为年龄、完全血运重建、AKI、EF、FSQ 5个指标的二分类取值代入Logistic回归方程得到的预测值 图 1 Logistic回归方程预测值预测MACCE的ROC曲线 Fig 1 ROC curve of predicted value of logistic regression equation in predicting MACCE

图 2 MACCE预测模型的校准度 Fig 2 Calibration degree of MACCE prediction model
2.4 各指标分值的确定

对Logistic回归分析得到β值的回归系数进行赋值,计算上述筛选出的各变量的β值与最小β值的比值,确定分值。成功构建老年ACS后1年内发生MACCE的临床预测评分体系:年龄≥84岁(2分)、未完全血运重建(2分)、FSQ≥3分(2分)、EF≤50%(1分)、合并AKI(1分),总分为8分。见表 4

表 4 MACCE各预测指标的系数及分值 Table 4 The coefficients and scores of MACCE prediction indicators
指标 β 比值 分值(分)
年龄≥84岁 1.470 1.509 2
未完全血运重建 1.884 1.934 2
FSQ≥3分 2.235 2.295 2
EF≤50% 1.009 1.036 1
合并AKI 0.974 1.000 1
总分 8
注:FSQ为衰弱筛查问卷,EF为射血分数,AKI为急性肾损伤;空白代表无此项
2.5 模型评价

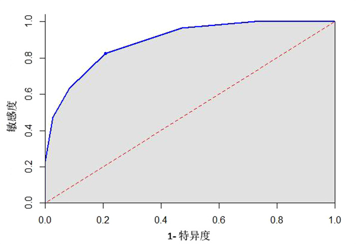
采用上述建立的ACS后1年内MACCE临床预测评分体系计算所有患者的评分,采用ROC曲线评价该评分体系对MACCE的临床预测价值。结果显示其预测MACCE的AUC(95%CI)为0.891(0.844~0.938),P < 0.001;最佳截断值为 > 3.5分,因总得分均为整数,最终MACCE预测评分的截断值确定为 > 3分。其敏感度为0.825,特异度为0.792。见图 3

注:评分由年龄≥84岁(2分)、未完全血运重建(2分)、FSQ≥3分(2分)、EF≤50%(1分)、合并AKI(1分)构建 图 3 临床评分体系预测MACCE的ROC曲线 Fig 3 ROC curve of clinical scoring system in predicting MACCE
3 讨论

随着出生率的下降和预期寿命的延长,我国人口老龄化进程正在加速。ACS是一种常见的心血管系统危重症,在老年人群中发病率高,是老年人心血管疾病死亡的主要原因[10]。Chang等[11]研究显示,AMI住院病死率随年龄呈指数倍升高。中国急性心肌梗死注册研究显示,≥75岁高龄老年心肌梗死患者住院病死率远高于其他年龄组[12]。如何早期准确识别高危患者,提高老年ACS患者的救治成功率、改善长期预后,是老龄化社会加速到来所面临的严峻挑战[3]。现有的常用于评估ACS严重程度的量表主要有心肌梗死溶栓治疗临床试验(thrombolysis in myocardial infarction, TIMI)评分[13]、全球ACS事件注册(Global Registry of Acute Coronary Events, GRACE)评分[14]、PURSUIT危险评分[15]、HEART评分[16]等,基于年龄与ACS预后的显著相关性,以上评分均纳入年龄因素,匹配相应权重分数。有研究发现[17-18],老年STEMI患者病死率的增加不仅是由于年龄本身,衰弱是重要的危险因素。Putthapiban等[19]对143 301例STEMI和NSTEMI患者进行Meta分析,得出衰弱与心肌梗死后早期和晚期病死率有很强且独立的相关性的结论。因衰弱在老年个体中的分布具有明显的异质性[20],同时具有潜在的可逆性,个体可以在衰弱、衰弱前期和健壮之间相互转化[21]。ACS患者中开展衰弱筛查将有助于临床医生识别高风险患者,采取更为积极的监测及干预治疗措施,从而改善预后。然而,由于我国老年医学的发展起步相对较晚,其他专科医生对衰弱的关注较少,目前流行的心血管病预后评分尚未考虑患者的基线衰弱状况。开发验证一种适用于老年ACS预后预测的临床评分体系,改善患者的危险分层,具有重要意义。

衰弱的诊断目前没有金标准,最常用的是由Fried等[6]提出的衰弱表型,但测量较费时,部分危重患者无法配合,临床应用中有一定局限性。国际营养与衰老协会建议,衰弱筛查工具应该是快速、可靠和易于在临床实践中使用的[22]。中国学者Ma等[23-24]基于Fried标准开发了自我报告式衰弱快速筛查问卷FSQ,是目前唯一原创于中国的生理衰弱评估体系,已通过数个大型前瞻性队列研究验证。FSQ从步速减慢、肌力减弱、低体能、疲乏、体重下降5个方面调查,每项1分,总分0~5分。FSQ≥3分定义为衰弱,1~2分为衰弱前期,0分为健壮[23]。Liu等[25]2020年在急诊科老年患者中开展的前瞻性研究显示,FSQ衰弱可以预测28 d全因死亡率、住院时长、30 d ICU再入院及90 d ICU再入院率。

本研究共纳入322例65岁以上ACS患者,随访1年,以MACCE为观察终点,即因变量,研究纳入的自变量包括人口统计学资料、生化指标、心肌损伤指标、超声心动图指标、心功能Killip分级、FSQ评分及血运重建、AKI情况等。采用ROC曲线对连续型指标进行离散化,采用单因素及多因素Logistic回归分析筛选MACCE的独立危险因素,根据多因素Logistic回归方程的回归系数确定各入选变量的权重分值,最终成功构建总分为8分的临床评分体系,MACCE预测评分=年龄≥84岁(2分)+未完全血运重建(2分)+FSQ≥3分(2分)+EF≤50% (1分)+合并AKI (1分)。研究同时对322例入选患者进行评分,采用ROC曲线验证该评分体系的预测效能,AUC为0.891,当得分 > 3分时,该量表预测老年ACS患者1年内MACCE发生的敏感度、特异度分别为0.825、0.792。对临床医生早期识别高危ACS患者具有一定指导意义,提示对于老年ACS患者,专科医生重视血运重建这一主要治疗手段外,还需关注患者的衰弱及早期防治AKI等。《老年患者衰弱评估与干预中国专家共识》[26]指出阻抗运动与有氧耐力运动是预防及治疗衰弱状态的有效措施,并建议从运动锻炼、营养干预等6个方面进行干预。

本研究的创新点是首次将衰弱对老年ACS预后的影响进行量化,同时多因素分析的结果纳入了未行完全血运重建这一风险因素并进行量化。模型涉及的指标简单易获取,无需增加ACS常规诊疗路径外的检查项目,不增加患者负担,有助于临床医生早期识别高风险ACS患者,可进一步在MACCE高风险预警的患者中开展心脏康复训练的随机对照研究,以期改善ACS预后。本研究具有局限性:样本来源为单一中心,存在一定选择偏倚;ACS预后的影响因素众多,受样本量限制,所纳入的影响因素有限,本模型未进行其他数据集的外部验证,研究结论尚需多中心大样本研究重复验证。

利益冲突  所有作者声明无利益冲突

作者贡献声明  王国栋:实验设计、实施研究、文章撰写、获取研究经费;刘慧珍、李俊玉:统计分析;商娜、刘小蒙:采集数据;郭树彬:对文章内容作批评性审阅、指导、支持性贡献

参考文献
[1] 中国医师协会急诊医师分会, 国家卫健委能力建设与继续教育中心急诊学专家委员会, 中国医疗保健国际交流促进会急诊急救分会. 急性冠脉综合征急诊快速诊治指南(2019)[J]. 中华急诊医学杂志, 2019, 28(4): 421-428. DOI:10.3760/cma.j.issn.1671-0282.2019.04.003
[2] Nicolau JC, Feitosa Filho GS, Petriz JL, et al. Brazilian society of cardiology guidelines on unstable angina and acute myocardial infarction without ST-segment elevation-2021[J]. Arq Bras Cardiol, 2021, 117(1): 181-264. DOI:10.36660/abc.20210180
[3] 中国老年医学学会心血管病分会. 高龄老年(≥ 75岁)急性冠状动脉综合征患者规范化诊疗中国专家共识[J]. 中国循环杂志, 2018, 33(8): 732-750. DOI:10.3969/j.issn.1000-3614.2018.08.002
[4] 冷文修, 杨进刚, 杨跃进. 老年人急性冠状动脉综合征的抗栓治疗[J]. 中华老年医学杂志, 2019, 38(1): 96-101. DOI:10.3760/cma.j.issn.0254-9026.2019.01.024
[5] Ahmed E, Alhabib KF, El-Menyar A, et al. Age and clinical outcomes in patients presenting with acute coronary syndromes[J]. J Cardiovasc Dis Res, 2013, 4(2): 134-139. DOI:10.1016/j.jcdr.2012.08.005
[6] Fried LP, Tangen CM, Walston J, et al. Frailty in older adults: evidence for a phenotype[J]. J Gerontol A Biol Sci Med Sci, 2001, 56(3): M146-M157. DOI:10.1093/gerona/56.3.M146
[7] Clegg A, Bates C, Young J, et al. Development and validation of an electronic frailty index using routine primary care electronic health record data[J]. Age Ageing, 2018, 47(2): 319. DOI:10.1093/ageing/afx001
[8] Khwaja A. KDIGO clinical practice guidelines for acute kidney injury[J]. Nephron Clin Pract, 2012, 120(4): c179-84. DOI:10.1159/000339789
[9] 赵雪燕, 李建新, 唐晓芳, 等. GRACE出院评分对急性冠状动脉综合征患者介入术后院外远期死亡的预测价值[J]. 中华医学杂志, 2018, 98(7): 496-501. DOI:10.3760/cma.j.iss.0376-2491.2018.07.003
[10] Ruff CT, Braunwald E. The evolving epidemiology of acute coronary syndromes[J]. Nat Rev Cardiol, 2011, 8(3): 140-147. DOI:10.1038/nrcardio.2010.199
[11] Chang J, Liu X, Sun Y. Mortality due to acute myocardial infarction in China from 1987 to 2014:secular trends and age-period-cohort effects[J]. Int J Cardiol, 2017, 227: 229-238. DOI:10.1016/j.ijcard.2016.11.130
[12] He PY, Yang JG, Xu HY, et al. The comparison of the outcomes between primary PCI, fibrinolysis, and No reperfusion in patients ≥ 75 years old with ST-segment elevation myocardial infarction: results from the Chinese acute myocardial infarction (CAMI) registry[J]. PLoS One, 2016, 11(11): e0165672. DOI:10.1371/journal.pone.0165672
[13] Morrow DA, Antman EM, Charlesworth A, et al. TIMI risk score for ST-elevation myocardial infarction: a convenient, bedside, clinical score for risk assessment at presentation: an intravenous nPA for treatment of infarcting myocardium early Ⅱ trial substudy[J]. Circulation, 2000, 102(17): 2031-2037. DOI:10.1161/01.cir.102.17.2031
[14] Eagle KA, Lim MJ, Dabbous OH, et al. A validated prediction model for all forms of acute coronary syndrome: estimating the risk of 6-month postdischarge death in an international registry[J]. JAMA, 2004, 291(22): 2727-2733. DOI:10.1001/jama.291.22.2727
[15] Boersma E, Pieper KS, Steyerberg EW, et al. Predictors of outcome in patients with acute coronary syndromes without persistent ST-segment elevation. Results from an international trial of 9461 patients. The PURSUIT Investigators[J]. Circulation, 2000, 101(22): 2557-2567. DOI:10.1161/01.cir.101.22.2557
[16] Six AJ, Backus BE, Kelder JC. Chest pain in the emergency room: value of the HEART score[J]. Neth Heart J, 2008, 16(6): 191-196. DOI:10.1007/BF03086144
[17] de Souza Ramos JTG, Ferrari FS, Andrade MF, et al. Association between frailty and C-terminal agrin fragment with 3-month mortality following ST-elevation myocardial infarction[J]. Exp Gerontol, 2022, 158: 111658. DOI:10.1016/j.exger.2021.111658
[18] Kurobe M, Uchida Y, Ishii H, et al. Impact of the clinical frailty scale on clinical outcomes and bleeding events in patients with ST-segment elevation myocardial infarction[J]. Heart Vessels, 2021, 36(6): 799-808. DOI:10.1007/s00380-020-01764-0
[19] Putthapiban P, Vutthikraivit W, Rattanawong P, et al. Association of frailty with all-cause mortality and bleeding among elderly patients with acute myocardial infarction: a systematic review and meta-analysis[J]. J Geriatr Cardiol, 2020, 17(5): 270-278. DOI:10.11909/j.issn.1671-5411.2020.05.006
[20] 郭雁飞, 阮晔, 孙双圆, 等. 中国50岁及以上人群衰弱轨迹的研究[J]. 中华流行病学杂志, 2022, 43(11): 1711-1716. DOI:10.3760/cma.j.cn112338-20220528-00477
[21] 潘一鸣, 李耘, 马丽娜. 代谢相关生物学标志物在老年人衰弱中的研究进展[J]. 基础医学与临床, 2021, 41(3): 428-432. DOI:10.3969/j.issn.1001-6325.2021.03.021
[22] Kojima G, Liljas AEM, Iliffe S. Frailty syndrome: implications and challenges for health care policy[J]. Risk Manag Healthc Policy, 2019, 12: 23-30. DOI:10.2147/RMHP.S168750
[23] Ma L, Tang Z, Chan P, et al. Novel frailty screening questionnaire (FSQ) predicts 8-year mortality in older adults in China[J]. J Frailty Aging, 2019, 8(1): 33-38. DOI:10.14283/jfa.2018.38
[24] Ma LN, Tang Z, Zhang L, et al. Prevalence of frailty and associated factors in the community-dwelling population of China[J]. J Am Geriatr Soc, 2018, 66(3): 559-564. DOI:10.1111/jgs.15214
[25] Liu H, Shang N, Chhetri JK, et al. A frailty screening questionnaire (FSQ) to rapidly predict negative health outcomes of older adults in emergency care settings[J]. J Nutr Health Aging, 2020, 24(6): 627-633. DOI:10.1007/s12603-020-1374-8
[26] 中华医学会老年医学分会. 老年患者衰弱评估与干预中国专家共识[J]. 中华老年医学杂志, 2017, 36(3): 251-256. DOI:10.3760/cma.j.issn.0254-9026.2017.03.007