急性主动脉夹层(acute aortic dissection,AAD)是指由于机械应力、血压波动等原因引起血管内膜撕裂,血液从破口位置进入主动脉中膜,主动脉内真假两腔形成的一种急性病理生理改变。AAD的年发病率约为2.8~6.0/10万[1],AAD患者病情进展非常迅速,病死率极高,在发病24 h内可达21%,发病1周内可达74%[2-3]。对AAD的早期诊断和早期治疗是降低病死率的关键。由于缺乏高度特异度的诊断标志物,AAD目前主要依据症状、体征及D-二聚体检查结果进行筛查。D-二聚体是临床中的常用血生化检测指标。既往研究表明,AAD患者血清D-二聚体水平较非AAD患者及急性冠脉综合征患者明显升高,且与夹层撕裂范围有关[4]。目前AAD的确诊主要依靠主动脉CT血管造影(computed tomography angiography,CTA)。但主动脉CTA检查具有一定风险且基层医院没有条件24小时开展此项检查,其在急性胸痛患者中难以常规运用。本研究通过对胸痛患者的既往病史、临床症状及体征、生化指标及心电图结果进行分析,筛选出AAD的潜在危险因素,构建AAD的早期诊断预警模型,提高AAD早期诊断能力。
1 资料与方法 1.1 一般资料通过复旦大学附属中山医院胸痛专病库,回顾性收集急诊胸痛中心2019年1月至12月间就诊的11 583例患者资料。排除年龄小于18岁;无胸/背疼痛;临床信息不完整患者。最终收集以急性胸/背痛为主诉的9 668例患者的临床资料,排除既往明确诊断为主动脉夹层,经或未经手术治疗的的患者53例,共入选9 615例患者作为AAD早期诊断预警模型的建模队列。以急诊胸痛中心2020年1月至6月间符合纳入/排除标准的4 808例患者作为验证队列。本研究已获得复旦大学附属中山医院伦理委员会审核批准(B2021-476)。本研究成果已申请专利(申请号:2022102807378、2022102807113)。
1.2 资料收集收集急性胸痛患者的临床资料,(1)一般资料:性别、年龄;(2)既往病史:冠心病、糖尿病、高血压、脑血管意外、肾功能不全、心房颤动、恶性肿瘤、血栓性高危因素(近一个月有手术史或长期卧床史)、消化道出血、吸烟史、Marfan综合征、主动脉疾病(主动脉溃疡、主动脉壁间血肿、主动脉瘤、其他原因的主动脉手术史);(3)入院症状、体征:疼痛部位、疼痛性质、伴随症状、诱因、血压、脉率、血氧饱和度、心律、心脏杂音、肺部体征等,以及左右手脉压差是否 > 20 mmHg(1 mmHg=0.133 kPa)、新发的主动脉瓣舒张期杂音、单个或多个肢体肌力下降;(4)血液生化数据:入急诊时首次D-二聚体值、入急诊时首次心肌肌钙蛋白(cardiac troponin, CTNT)值、血红蛋白值、血白细胞值;(5)心电图数据:入急诊时首次心电图数据。AAD高危病史定义为既往确诊马方综合征或主动脉疾病。AAD高危体征定义为具有任意以下临床体征:左右手脉压差 > 20 mmHg、新发的主动脉瓣舒张期杂音、单个或多个肢体肌力下降。
1.3 统计学方法采用SPSS 25.0软件进行数据的描述性统计分析。所有的计量资料均先进行正态分布检验,根据正态分布检验结果,符合正态分布的计量资料以均数±标准差(x±s)表示,采用独立样本t检验进行两组间比较;不符合正态分布的计量资料以中位数(四分位数)[M(Q1, Q3)]表示,采用非参数秩和检验进行两组间比较;所有的计数资料以例数(%)表示,采用卡方检验进行两组间比较。以P < 0.05为差异具有统计学意义。
采用Logistic回归方程进行AAD早期诊断危险因素的分析和评估:首先采用单因素分析,筛选出可能与AAD诊断具有相关性的因素,然后将相关变量因素纳入到多因分析中。再基于R软件中的nomogram()函数构建预警模型,将可能与AAD相关的独立危险因素可视化,最后,通过准确率、特异度、敏感度、阳性似然比和阴性似然比评估模型性能,通过ROC曲线下面积(AUC)评估拟合模型的区分度。
2 结果 2.1 AAD患者与非AAD患者的临床资料比较建模队列中纳入研究患者共9 615例,中位数年龄64岁,男性占比55.2%。其中非AAD患者9505例,中位数年龄64岁,男性占比54.9%。AAD患者110例,中位数年龄56.5岁,男性占比85.5%。建模队列纳入患者的临床特征见表 1至表 3。
| 变量 | 总数(n=9 615) | 非AAD (n=9 505) | AAD (n=110) | P值 |
| 一般资料 | ||||
| 年龄[岁, M(Q1, Q3)] | 64 (55, 71) | 64 (55, 71) | 56.5 (46, 66.8) | < 0.001 |
| 男性(例, %) | 5 309 (55.2) | 5215 (54.9) | 94 (85.5) | < 0.001 |
| 既往病史(例, %) | ||||
| 高血压病 | 4 679 (48.7) | 4 614 (48.5) | 65 (59.1) | 0.035 |
| 糖尿病 | 1 663 (17.3) | 1 658 (17.4) | 5 (4.5) | < 0.001 |
| 冠心病 | 2 424 (25.2) | 2 418 (25.4) | 6 (5.5) | < 0.001 |
| 心房颤动 | 380 (4.0) | 372 (3.9) | 8 (7.3) | 0.081 |
| 脑血管意外 | 402 (4.2) | 400 (4.2) | 2 (1.8) | 0.332 |
| 肾功能不全 | 244 (2.5) | 241 (2.5) | 3 (2.7) | 0.759 |
| 恶性肿瘤 | 352 (3.7) | 351 (3.7) | 1 (0.9) | 0.193 |
| 血栓性高危因素 | 59 (0.6) | 59 (0.6) | 0 (0.0) | 1.000 |
| 消化道出血 | 97 (1.0) | 97 (1.0) | 0 (0.0) | 0.631 |
| 吸烟史 | 669 (7.0) | 661 (7.0) | 8 (7.3) | 1.000 |
| 高危病史 | 78(0.8) | 56(0.6) | 22 (20.0) | < 0.001 |
| 马方综合征 | 3 (0.0) | 2 (0.0) | 1 (0.9) | 0.034 |
| 主动脉疾病 | 76 (0.8) | 55 (0.6) | 21 (19.1) | < 0.001 |
| 变量 | 总数(n= 9615) | 非AAD(n=9505) | AAD(n=110) | P值 |
| 入院症状(例, %) | ||||
| 症状已缓解 | 2 116 (22.0) | 2 110 (22.2) | 6 (5.5) | < 0.001 |
| 非撕裂样疼痛 | 5 930 (61.7) | 5 911 (62.2) | 19 (17.3) | < 0.001 |
| 刀割样/撕裂样疼痛 | 237 (2.5) | 182 (1.9) | 55 (50.0) | < 0.001 |
| 伴胸闷 | 2 479 (25.8) | 2 464 (25.9) | 15 (13.6) | 0.005 |
| 伴心悸 | 617 (6.4) | 614 (6.5) | 3 (2.7) | 0.164 |
| 伴气促/呼吸困难 | 691 (7.2) | 685 (7.2) | 6 (5.5) | 0.602 |
| 伴恶心/呕吐 | 614 (6.4) | 605 (6.4) | 9 (8.2) | 0.563 |
| 伴黑矇/晕厥/昏迷 | 162 (1.7) | 159 (1.7) | 3 (2.7) | 0.436 |
| 伴咳痰/咯血 | 21 (0.2) | 21 (0.2) | 0 (0.0) | 1.000 |
| 伴大汗 | 1 380 (14.4) | 1 358 (14.3) | 22 (20.0) | 0.118 |
| 伴肢体无力 | 4 (0.0) | 4 (0.0) | 0 (0.0) | 1.000 |
| 伴发热 | 105 (1.1) | 103 (1.1) | 2 (1.8) | 0.339 |
| 无诱因 | 8 108 (84.3) | 8 001 (84.2) | 107 (97.3) | < 0.001 |
| 入院体征 | ||||
| 收缩压(mmHg)a | 144 (129, 60) | 144 (129, 160) | 140 (131, 160) | 0.743 |
| 舒张压(mmHg)a | 79 (70, 88) | 79 (70, 88) | 80 (70.25, 88) | 0.309 |
| 收缩压差 > 20 mmHg | 10 (0.1) | 6 (0.1) | 4 (3.6) | < 0.001 |
| 脉率(次/min)a | 82 (73, 92) | 82 (73, 92) | 80 (74.25, 90) | 0.690 |
| 血氧饱和度(%)a | 98 (97, 99) | 98 (97, 99) | 97 (97, 97) | < 0.001 |
| 心律是否整齐(例, %) | 9 213 (95.8) | 9 147 (96) | 66 (60.0) | < 0.001 |
| 无湿罗音(例, %) | 9 442 (98.2) | 9 334 (98) | 108 (98.2) | 1.000 |
| 肌力下降(例, %) | 0 (0.0) | 0 (0.0) | 0 (0.0) | 1.000 |
| 主动脉瓣舒张期杂音(例, %) | 23 (0.2) | 17 (0.2) | 6 (5.4) | < 0.001 |
| 高危体征(例, %) | 30 (0.3) | 23 (0.2) | 7 (6.4) | < 0.001 |
| 腹部压痛(例, %) | 58 (0.6) | 57 (0.6) | 1 (0.9) | 0.488 |
| 下肢浮肿(例, %) | 1024 (10.7) | 968 (10.2) | 56 (50.9) | < 0.001 |
| 注: a为M(Q1, Q3) | ||||
| 变量 | 总数(n=9 615) | 非AAD(n =9 505) | AAD(n=110) | P值 |
| 心电图(例, %) | ||||
| 房颤/房扑 | 340 (3.5) | 338 (3.6) | 2 (1.8) | 0.442 |
| 室性心律失常 | 564 (5.9) | 560 (5.9) | 4 (3.6) | 0.426 |
| 房性早搏 | 498 (5.2) | 493 (5.2) | 5 (4.5) | 0.932 |
| ST段下移 | 2032 (21.1) | 2024 (21.3) | 8 (7.3) | < 0.001 |
| ST段抬高 | 799 (8.3) | 794 (8.4) | 5 (4.5) | 0.206 |
| 高度房室传导阻滞 | 33 (0.3) | 33 (0.3) | 0 (0.0) | 1.000 |
| LBBB | 87 (0.9) | 86 (0.9) | 1 (0.9) | 1.000 |
| RBBB | 490 (5.1) | 486 (5.1) | 4 (3.6) | 0.630 |
| 血液生化检查a | ||||
| D-二聚体(mg/L) | 0.28 (0.16, 0.6) | 0.28 (0.16, 0.6) | 4 (0.61, 10.64) | < 0.001 |
| CTNT值(μg/mL) | 0.01 (0.01, 0.02) | 0.01 (0.01, 0.02) | 0.03 (0.01, 0.03) | < 0.001 |
| 血红蛋白(g/L) | 140 (130, 148) | 140 (130, 148) | 140 (134, 140) | 0.309 |
| 血白细胞(×109) | 7.53 (6.07, 8.46) | 7.51 (6.06, 8.42) | 8.85 (8, 13.1) | < 0.001 |
| 注: a为M(Q1, Q3) | ||||
单因素Logistic回归分析结果显示:年龄、性别、刀割样/撕裂样疼痛、伴随症状胸闷、冠心病、糖尿病、高血压病、高危病史、高危体征、ST段下移、首次D-二聚体水平是AAD的相关因素,在AAD组及非AAD组中差异具有统计学意义(均P < 0.05),见表 4。
| 变量 | OR值 | 95% CI | P值 |
| 年龄 | 0.98 | 0.97~0.99 | 0.001 |
| 男性 | 4.83 | 2.84~8.22 | < 0.001 |
| 高血压病 | 1.53 | 1.05~2.24 | 0.028 |
| 糖尿病 | 0.23 | 0.09~0.55 | < 0.001 |
| 冠心病 | 0.17 | 0.07~0.39 | < 0.001 |
| 高危病史 | 42.18 | 24.68~72.10 | 0.000 |
| 刀割样/撕裂样疼痛 | 51.23 | 34.29~76.53 | 0.000 |
| 伴胸闷 | 0.45 | 0.26~0.78 | 0.003 |
| 高危体征 | 28.02 | 11.76~66.75 | 0.000 |
| ST段下移 | 0.29 | 0.14~0.60 | < 0.001 |
| D-二聚体 | 1.23 | 1.12~1.27 | < 0.001 |
将单因素分析中AAD早期诊断相关危险因素纳入了Logistic回归方程中的多因素回归模型,以P < 0.05为统计学标准,得出与早期诊断AAD相关的独立危险因素,其中性别、刀割/撕裂样疼痛、高血压病、冠心病、糖尿病、高危病史、高危体征、首次D-二聚体值是影响AAD早期诊断的独立相关因素(均P < 0.05),见表 5。
| 指标 | OR值 | 95% CI | P值 |
| 男性 | 4.15 | 2.29~7.53 | < 0.001 |
| 刀割样/撕裂样疼痛 | 38.31 | 23.62~62.15 | < 0.001 |
| 高血压病 | 1.94 | 1.20~3.15 | 0.007 |
| 糖尿病 | 0.33 | 0.12~0.88 | 0.027 |
| 冠心病 | 0.12 | 0.04~0.36 | < 0.001 |
| 高危病史 | 12.77 | 5.74~28.43 | < 0.001 |
| 高危体征 | 7.38 | 1.74~31.33 | 0.007 |
| D-二聚体 | 1.17 | 1.13~1.20 | < 0.001 |
应用Logistic回归结果绘制列线图(图 1),通过列线图可用于评估受试者早期诊断急诊主动脉夹层的风险概率。通过联合AAD早期独立相关因素进行多指标联合ROC曲线分析(图 2),其结果显示AUC值为0.939,其95%可信区间为0.909~0.969。
|
| 将上述资料中无相关症状/ 体征的记为0,有相关症状/ 体征的记为1,其中性别一项中男性记为1,女性记为0,D-二聚体根据具体数据,分别对照列线图预警模型最顶部的分值potints一栏,可得出各项目得分;将各个项目得分相加求得总分,总分对比底部的总分(Total Points) 一栏即可在相应最底端的Pr(AAD)一栏获得该患者诊断AAD的概率值 图 1 急性主动夹层早期诊断预警模型列线图 Fig 1 Nomogram of early diagnosis and warning model for acute aortic dissection |
|
|
|
| 图 2 急性主动夹层早期诊断预警模型多指标联合ROC曲线 Fig 2 Multi-index joint ROC curve of acute aortic dissection early diagnosis and warning model. |
|
|
对确诊的AAD和非AAD患者的相关临床资料带入所构建早期诊断预测模型中,得出预测各患者诊断AAD的概率。计算不同预测概率下模型预测的准确率、特异度、敏感度、阳性似然比及阴性似然比。见表 6。
| 预测概率 | 准确度(%) | 特异度(%) | 灵敏度(%) | 阳性似然比 | 阴性似然比 |
| 10% | 98.38 | 98.79 | 62.73 | 51.85 | 0.38 |
| 20% | 98.85 | 99.43 | 48.18 | 84.81 | 0.52 |
| 30% | 98.90 | 99.55 | 42.73 | 94.45 | 0.58 |
| 40% | 99.07 | 99.83 | 33.64 | 199.82 | 0.66 |
| 50% | 99.00 | 99.85 | 25.45 | 172.82 | 0.75 |
| 60% | 98.97 | 99.87 | 20.91 | 165.62 | 0.79 |
| 70% | 98.96 | 99.91 | 17.27 | 182.42 | 0.83 |
| 80% | 98.95 | 99.93 | 14.55 | 197.51 | 0.86 |
| 90% | 98.94 | 99.97 | 10.00 | 316.83 | 0.90 |
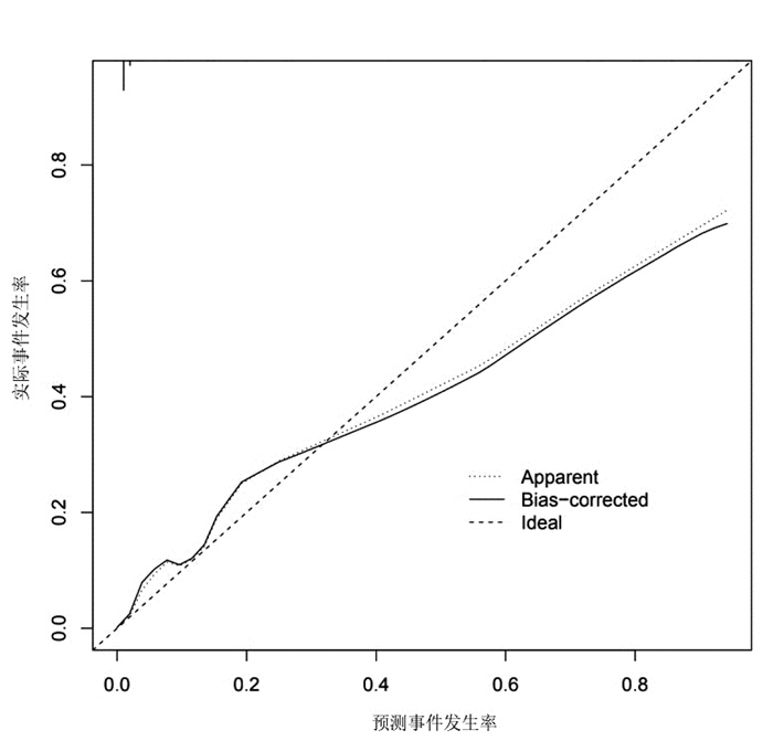
该院胸痛中心2020年1月至6月间符合纳入排除标准的4 808例患者作为验证队列。验证队列中患者中位年龄65岁,男性占比57.5%,高血压占比51.4%,糖尿病19.3%,冠心病27.0%,马方综合征0.1%,主动脉疾病史占比1.0%。验证队列中最终诊断AAD为82例(发病率1.7%)。将验证队列纳入所建预警模型,通过校准曲线和AUC评估模型的预测效能(见图 3、图 4)。其结果显示AUC值为0.910,95%CI: 0.870~0.949,P=0.910。
|
| 图 3 AAD早期诊断预警概率模型外部验证的校准曲线 Fig 3 Calibration curve for the external validation of the early warning probability model for early diagnosis of AAD |
|
|
|
| 图 4 AAD早期诊断预警模型外部验证的ROC曲线 Fig 4 ROC curve of external validation of AAD early diagnosis and warning model |
|
|
在现有临床诊疗模式下,AAD的误诊率和漏诊率高达39%[5],由于该疾病起病急,病情进展极为迅速且凶险性极高,在未得到及时、有效的救治的情况下病死率非常高。目前临床上AAD的诊断主要是根据患者的典型临床表现,继而通过主动脉CTA等影像学检查明确诊断。而在无明显典型临床表现的患者中,在检查手段有限的基层医院或临床经验较为不足的医师中,AAD的确诊时间将进一步延长,可能导致冠状动脉、脑、胃肠道、肾脏及脊髓等多脏器的供血供氧不足,甚至导致患者死亡。目前临床运用的一部分生物标记物,如白细胞计数[6-7]、D-二聚体[7]、高密度脂蛋白[8]等,易受感染、代谢、及血栓形成等因素影响的原因,缺乏高度特异性,只能作为主动脉夹层的筛查指标。目前尚无具有临床运用价值的兼具高特异性、高敏感度的AAD诊断标记物。2010年ACC/AHA联合发布的《胸主动脉疾病的诊断和治疗指南》中提出了主动脉夹层风险评分量表,2014年《胸痛规范化评估与诊断中国专家共识》提出了主动脉夹层筛查量表,本研究在上述量表的基础上,联合目前现有的较为容易获取的AAD患者的临床资料,构建AAD的早期诊断预警模型,有助于提高AAD的早期诊断效率、降低漏诊率及误诊率、降低患者的病死率及改善预后。本研究通过对比分析AAD患者和普通胸痛患者的临床特征,筛选出AAD的独立危险因素,并构建了早期诊断预警模型,有助于临床快速识别AAD风险。
本研究结果显示性别(男性)、刀割/撕裂样疼痛、高血压病、高危病史、高危体征、首次D-二聚体值是影响AAD的独立危险因素,而糖尿病及冠心病可能是AAD的保护性因素。男性患者发生AAD的概率远高于女性患者,推测其原因可能为男性高血压、吸烟、饮酒、体力劳动较女性多,其血管内皮损伤的概率较大,故而AAD的患病率较高。在普通胸痛队列中,冠心病患者发生AAD的风险较小,其OR值< 1;一方面可能是患者因原有疾病的再次发作而就诊,另一方面可能是由于冠心病患者积极服用降压药物等,降低了血压波动水平,降低了AAD发生的风险,导致了冠心病史不是AAD的危险因素。
AAD的发生与高血压有着密切的关系。目前,关于高血压导致AAD发生的机制尚未完全明确。我们推测血压水平的升高易影响主动脉血管壁的结构形态,导致血管壁的弹性下降、拓展性下降,使得血管内膜更易于发生破口而导致AAD的发生。高血压亦增加主动脉血管壁的纵向切应力,使得主动脉夹层沿血管走形方向或逆向进一步撕裂,进而导致AAD病情进展[9]。有研究表明,高血压患者体内血管紧张素水平升高导致血管平滑肌细胞增生、心脏搏动引起主动脉移动等原因亦参与了主动脉夹层的形成[10]。既往非主动脉夹层性主动脉疾病病史(主动脉综合征+主动脉瘤+主动脉手术史)亦是AAD的早期诊断的相关因素。笔者推测其可能与原发疾病或手术导致的主动脉壁的损伤有关,术后感染、血压控制情况等亦参与了AAD的发生。
糖尿病患者患有心血管疾病的概率较高,心血管疾病合并糖尿病患者的病死率较不合并糖尿病患者的病死率明显升高,约为2~4倍[11]。既往国内外研究提示主动脉夹层患者中糖尿病的患病率降低,糖尿病与AAD的发生呈负相关,提示糖尿病可能是AAD的保护性因素[12-14],这与本研究结果相一致。糖尿病患者中合并高血压疾病患者比例较高,而发生主动脉夹层的患者中糖尿病的发病率却较低,提示糖尿病对AAD的发生可能存在两面性[13, 15]。一方面,糖尿病患者的心血管疾病如高血压病的发生率增高,糖尿病患者可能通过影响高血压的发病继而影响AAD的发病;另一方面,主动脉血管壁的组织结构及细胞凋亡过程可能受到糖尿病的影响,糖尿病增强了对动脉壁弹性组织的保护作用,以起到防止主动脉瘤扩张、生长和破裂的作用,同时降血糖药物在其中也可能发挥了一定作用[14, 16]。
突发刀割样或撕裂样疼痛是AAD的典型症状,该症状可能原发破口位置及撕裂范围有关,以突发剧烈腰背部或腹部疼痛起病的患者,提示其原发破口位置多位于降主动脉或腹主动脉;而表现为以胸部以下部位不适起病的患者如腰/腹部疼痛、下肢无力,则提示其破口位置多位于腹主动脉及以下血管[17]。本研究提示双上肢血压压差 > 20 mmHg是早期诊断AAD的危险因素。既往有研究认为,主动脉夹层患者常出现双上肢血压差值增大,究其原因,考虑病变部位累及上肢动脉的上级血管,即累及左锁骨下动脉或右头臂干动脉,导致某一上肢血液供应受到影响或双上肢血液供应受到的影响程度不一,临床表现为双上肢脉压差较非主动脉夹层患者增大,其差值常超过20 mmHg[18]。
本研究统计学结果显示,在建模队列和验证队列中,D-二聚体在AAD组及非AAD组中均有统计学差异,其P值均 < 0.05,表明D-二聚体水平是早期诊断AAD的危险因素。D-二聚体的升高可提示血管内血栓形成,对临床实践中相关疾病的诊疗具有重要意义。主动脉夹层发生时,主动脉内部分血液进入假腔,在假腔内形成血栓,外周血中可检测出D-二聚体水平升高。D-二聚体升高的水平与主动脉夹层累及范围具有正相关性,主动脉夹层撕裂范围越大外周血中可检测到的D-二聚体水平越高[4, 19]。
本研究所构建的AAD早期诊断预警模型预测AAD的准确率均较高,其ROC曲线AUC值及95%CI: 分别为0.907(95%CI: 0.873~0.942)、0.939(95%CI: 0.909~0.969),具有统计学意义(P < 0.01)。通过不同预测概率评估急性主动脉早期诊断预警模型的诊断预测效能,其结果显示在预测概率 < 30%时,AAD诊断验前概率模型及早期诊断预测模型均具有较高的灵敏度、特异度及准确度。在预测概率≥30%时,灵敏度均明显下降,提示临床实践中需进一步检查以明确诊断。外部验证结果亦显示了AAD早期诊断预警模型具有良好的预测效能。外部验证的AUC值为0.910(95%CI: 0.870~0.949),表明模型预测AAD均具有较高的准确性。校准曲线C-index指数为0.910,表明模型对AAD的预测概率与实际概率符合度较高,可用于临床评估。
综上所述,本研究筛选出了AAD的高危因素,并通过多因素分析建立了AAD早期预警模型,该模型具有较好的诊断效能,可用于临床快速发现AAD高风险患者,值得临床推广使用。
利益冲突 所有作者声明无利益冲突
作者贡献声明 廖凤卿:研究设计、论文撰写;俞尧、陈东旭、周燕南、蔡灿光、阿丽玛:研究实施、数据收集;陈琛、周思颖:数据整理、统计分析;姚晨玲、顾国嵘、宋振举、童朝阳:基金支持、论文修改
| [1] | Howard DP, Banerjee A, Fairhead JF, et al. Population-based study of incidence and outcome of acute aortic dissection and premorbid risk factor control: 10-year results from the Oxford Vascular Study[J]. Circulation, 2013, 127(20): 2031-2037. DOI:10.1161/circulationaha.112.000483 |
| [2] | Yu HY, Chen YS, Huang SC, et al. Late outcome of patients with aortic dissection: study of a national database[J]. Eur J Cardiothorac Surg, 2004, 25(5): 683-690. DOI:10.1016/j.ejcts.2003.12.041 |
| [3] | Pacini D, Di Marco L, Fortuna D, et al. Acute aortic dissection: epidemiology and outcomes[J]. Int J Cardiol, 2013, 167(6): 2806-2812. DOI:10.1016/j.ijcard.2012.07.008 |
| [4] | 邵文明, 俞锐敏, 颜建龙, 等. 诊断主动脉夹层的生物标志物研究进展[J]. 岭南急诊医学杂志, 2017, 22(3): 296-297. DOI:10.3969/j.issn.1671-301X.2017.03.039 |
| [5] | Xiao ZY, Xue Y, Yao CL, et al. Acute aortic dissection biomarkers identified using isobaric tags for relative and absolute quantitation[J]. Biomed Res Int, 2016, 2016: 6421451. DOI:10.1155/2016/6421451 |
| [6] | Olin JW, Fuster V. Acute aortic dissection: the need for rapid, accurate, and readily available diagnostic strategies[J]. Arterioscler Thromb Vasc Biol, 2003, 23(10): 1721-1723. DOI:10.1161/01.ATV.0000093222.33222.D2 |
| [7] | Huang B, Tian L, Fan X, et al. Low admission platelet counts predicts increased risk of in-hospital mortality in patients with type A acute aortic dissection[J]. Int J Cardiol, 2014, 172(3): e484-e486. DOI:10.1016/j.ijcard.2014.01.001 |
| [8] | Sbarouni E, Georgiadou P, Analitis A, et al. Significant changes in platelet count, volume and size in acute aortic dissection[J]. Int J Cardiol, 2013, 168(4): 4349-4350. DOI:10.1016/j.ijcard.2013.05.074 |
| [9] | Liu XT, He XWi, Tan R, et al. High-density Lipoprotein Cholesterol and In-hospital Mortality in Patients with Acute Aortic Dissection[J]. 华中科技大学学报(医学)(英德文版), 2016, 36(3): 364-367. DOI:10.1007/s11596-016-1592-9 |
| [10] | He RM, Guo DC, Estrera AL, et al. Characterization of the inflammatory and apoptotic cells in the aortas of patients with ascending thoracic aortic aneurysms and dissections[J]. J Thorac Cardiovasc Surg, 2006, 131(3): 671-678. |
| [11] | 袁重红, 杨志昌, 王凯玲, 等. 高血压致主动脉夹层形成机制的研究进展[J]. 医学综述, 2014, 20(18): 3365-3366. DOI:10.3969/j.issn.1006-2084.2014.18.040 |
| [12] | Kurukulasuriya LR, Sowers JR. Therapies for type 2 diabetes: lowering HbA1c and associated cardiovascular risk factors[J]. Cardiovasc Diabetol, 2010, 9: 45. DOI:10.1186/1475-2840-9-45 |
| [13] | Theivacumar NS, Stephenson MA, Mistry H, et al. Diabetics are less likely to develop thoracic aortic dissection: a 10-year single-center analysis[J]. Ann Vasc Surg, 2014, 28(2): 427-432. DOI:10.1016/j.avsg.2013.03.024 |
| [14] | He XW, Liu XT, Liu WJ, et al. Association between diabetes and risk of aortic dissection: a case-control study in a Chinese population[J]. PLoS One, 2015, 10(11): e0142697. DOI:10.1371/journal.pone.0142697 |
| [15] | Avdic T, Franzén S, Zarrouk M, et al. Reduced long-term risk of aortic aneurysm and aortic dissection among individuals with type 2 diabetes mellitus: a nationwide observational study[J]. J Am Heart Assoc, 2018, 7(3). DOI:10.1161/JAHA.117.007618 |
| [16] | 陈宇飞, 黄毕, 李晓飞, 等. 合并糖尿病的主动脉夹层患者临床特征及预后分析[J]. 中国循环杂志, 2021, 36(11): 1107-1113. DOI:10.3969/j.issn.1000-3614.2021.11.009 |
| [17] | Raffort J, Lareyre F, Clément M, et al. Diabetes and aortic aneurysm: current state of the art[J]. Cardiovasc Res, 2018, 114(13): 1702-1713. DOI:10.1093/cvr/cvy174 |
| [18] | 徐昶, 贺行巍, 李柱锡, 等. 主动脉夹层症状与原发破口位置、撕裂范围关系的探讨[J]. 内科急危重症杂志, 2015, 21(4): 266-268. DOI:10.11768/nkjwzzzz20150409 |
| [19] | Singer AJ, Hollander JE. Blood pressure. assessment of interarm differences[J]. Arch Intern Med, 1996, 156(17): 2005-2008. DOI:10.1001/archinte.156.17.2005 |
2023, Vol. 32



