2. 山西医科大学第一医院急诊医学中心,太原 030001;
3. 山西医科大学卫生统计教研室,太原 030001
2. Emergency Medicine Center, First Hospital of Shanxi Medical University, Taiyuan 030001, China;
3. Department of Health Statistics, Shanxi Medical University, Taiyuan 030001, China
脑出血作为卒中的第二常见类型,对人类健康和社会发展造成巨大负担[1]。创伤性脑损伤具有高病死率和致残率,尽管临床检查和神经影像学可以评估病情严重程度,但仍需要更可靠的指标来早期预测是否合并感染[2]。鉴于炎症因子在脑出血发展中的重要作用,采用可靠指标来预测创伤性脑出血患者合并感染对于早期临床干预和降低病死率至关重要。
肝素结合蛋白(heparin binding protein, HBP)主要由中性粒细胞被刺激后立即释放[3]。被释放后的HBP参与炎症反应并诱导毛细血管渗漏,在感染性疾病和非感染性炎性疾病的进展过程中发挥重要作用[4]。有研究证实,血清HBP浓度是早期诊断脓毒症非常有价值的工具[5]。另外,它对新型冠状病毒肺炎、急性胰腺炎、尿路感染以及心血管功能障碍等疾病的预测作用也被证实[6-7]。由于急诊创伤性脑出血病情重,进展快,探究HBP对创伤性脑出血并发感染的早期预测价值不可或缺。本研究为前瞻性研究,通过测定重症创伤性脑出血患者早期血浆HBP水平来分析其对创伤性脑出血合并感染的早期预测作用。
1 资料与方法 1.1 一般资料选取山西医科大学第一医院急诊医学中心重症监护室2021年9月至2022年6月收治的创伤性脑出血患者为主要研究对象,取外周静脉血及化验检查指标。纳入标准:(1)明确头颅外伤史且通过头颅CT或MRI明确诊断为脑出血;(2)伤后入院时间 < 24 h;(3)年龄不小于18岁;(4)有开放性外伤;(5)首次创伤性脑出血住院。排除标准:(1)住院 < 3 d或经抢救无效宣告死亡;(2)既往长期使用抗凝药物;(3)本次外伤前患有感染性疾病;(4)近3个月内有严重外伤或手术史;(5)患血液、风湿、肿瘤、神经系统等其他影响凝血或免疫的疾病。
本临床研究为前瞻性研究,经山西医科大学第一医院伦理委员会审批[2021伦审字(K-K115)],符合《世界医学协会赫尔辛基宣言》且对纳入患者基本信息进行剔除以保护患者隐私。
1.2 检测方法对未行急诊手术干预的创伤性脑出血患者,在入院48 h内取外周静脉血,对于手术患者术前行外周静脉采血。避免在含有肝素帽的留置针处采血,采血管为5 mL蓝色头盖管(含柠檬酸钠抗凝剂)。收集外周静脉血后,5 min内进行离心(5 200 r/min,5 min)。离心后取上层血浆20 µL于2~8 ℃冷藏保存,存储时间不超过5 d。对血浆样本进行成批检测(速率散射比浊法)。患者基本信息及相关化验收集均以入院48 h内为准,同一检测指标多次化验以均值为准。以患者入院48 h内血标本、痰标本或脑脊液标本的细菌培养为结局指标。本研究检测HBP所用试剂及仪器均来自苏州康和顺医疗有限公司,产地为江苏苏州。
1.3 统计学方法所有统计分析及绘图均使用Stata MP 16软件进行。符合正态分布的计量资料采用均数±标准差(x±s)进行统计学描述,方差齐时采用两独立样本t检验,方差不齐时利用两独立样本校正t检验。计数资料采用例数(%)描述,比较采用卡方检验或Fisher确切概率法进行比较。将单因素分析中差异有统计学意义的变量纳入Logistic回归分析,通过向前逐步筛选法得到最优回归模型。使用Hosmer-Lemeshow拟合度检验分析Logistic回归模型的拟合优度。另外,采用受试者工作特征曲线(ROC)分析各因素和Logistic模型对细菌感染的诊断效能,计算ROC曲线下面积(AUC),确定最佳截断值。以P < 0.05为差异有统计学意义。
2 结果 2.1 感染组与非感染组的基本特征经过筛选,85名创伤性脑出血患者符合本研究研究标准,通过体液培养确定为细菌感染的患者39名,细菌培养阴性患者46名。纳入患者年龄(55.09±1.18)岁,入院当天体温(36.64±0.06)℃,格拉斯哥昏迷评分(Glasgow coma scale, GCS)(10.15±0.41)分,创伤严重度评分(injury severity score, ISS)(19.87±0.92)分。感染组患者的GCS评分小于非感染组;相反,感染组年龄、呼吸频率、ISS、手术、HBP、白细胞、中性粒细胞大于非感染组(均P < 0.05)。见表 1。患者细菌感染的来源及病菌分布等情况见表 2。
| 指标 | 感染组(n=39) | 未感染组(n=46) | t/χ2值 | P值 |
| 一般情况 | ||||
| 年龄(岁)a | 58.92 ± 2.65 | 51.84 ± 2.32 | -2.017 | 0.047 |
| 性别b | 0.959 | 0.327 | ||
| 男 | 33(84.62) | 11(23.91) | ||
| 女 | 6(15.38) | 35(76.09) | ||
| 身高(cm)a | 168.31±1.12 | 168.67±1.20 | 0.220 | 0.826 |
| 体重(kg)a | 66.54±1.69 | 70.07±2.06 | 1.299 | 0.198 |
| 体温(℃)a | 36.67±0.09 | 36.60±0.08 | -0.582 | 0.562 |
| 脉搏(次/min)a | 83.46±3.24 | 82.02±2.49 | -0.357 | 0.722 |
| 呼吸频率(次/min)a | 20.05±0.62 | 18.02±0.66 | -2.223 | 0.029 |
| 收缩压(mmHg)a | 134.95±3.62 | 128.95±2.34 | -1.432 | 0.156 |
| 舒张压(mmHg)a | 79.79±2.28 | 79.70±1.83 | -0.034 | 0.973 |
| 合并症b | ||||
| 高血压 | 20(51.28) | 15(32.61) | 3.038 | 0.081 |
| 糖尿病 | 5(12.82) | 5(10.87) | 0.077 | 0.781 |
| 冠心病 | 5(12.82) | 1(2.17) | 0.089 | 0.056 |
| 临床评估a | ||||
| GCS | 8.72±0.63 | 11.37±0.48 | 3.392 | 0.001 |
| ISS | 20.97±1.05 | 18.08±1.40 | -2.157 | 0.034 |
| 个人史b | ||||
| 吸烟 | 20(51.28) | 15(32.61) | 3.038 | 0.081 |
| 饮酒 | 13(33.33) | 8(17.39) | 2.884 | 0.089 |
| 检验指标a | ||||
| HBP(ng/mL) | 33.00±3.49 | 16.27±1.61 | -4.580 | < 0.001 |
| WBC(×109/L) | 14.64±0.96 | 8.83±0.56 | -5.388 | < 0.001 |
| N(×109/L) | 15.32±3.19 | 6.69±0.57 | -2.878 | 0.005 |
| L(×109/L) | 1.44±0.43 | 1.47±0.27 | 0.068 | 0.946 |
| PCT(ng/mL) | 3.87±2.33 | 0.04±0.01 | -1.783 | 0.078 |
| RBC(×1012/L) | 4.10±0.23 | 4.11±0.12 | 0.053 | 0.958 |
| HB(g/L) | 121.48±3.51 | 123.46±3.72 | 0.382 | 0.703 |
| PLT(×109/L) | 199.09±16.37 | 193.61±8.92 | -0.306 | 0.760 |
| Ca(mmol/L) | 2.21±0.02 | 2.23±0.02 | 0.638 | 0.526 |
| PT(s) | 14.83±0.47 | 14.65±0.20 | -0.376 | 0.708 |
| PTINR | 1.20±0.11 | 1.15±0.09 | -0.373 | 0.710 |
| APTT(s) | 27.22±0.61 | 26.78±0.42 | -0.617 | 0.539 |
| TT(s) | 15.56±0.38 | 15.55±0.34 | -0.028 | 0.978 |
| FDP(µg/mL) | 28.41±3.90 | 21.66±2.75 | -1.446 | 0.152 |
| D-D(ng/mL) | 2 160.90±343.24 | 1 815.89±281.19 | -0.785 | 0.435 |
| Fib-c(g/L) | 3.43±0.19 | 3.07±0.12 | -1.624 | 0.108 |
| 手术b | 29(74.36) | 23(50.00) | 5.273 | 0.022 |
| 注:GCS为格拉斯哥昏迷指数,ISS为创伤严重程度评分,HBP为肝素结合蛋白,WBC为白细胞计数,N为中性粒细胞计数,L为淋巴细胞计数,PCT为降钙素原,RBC为红细胞计数,HB为血红蛋白计数,PLT为血小板计数,Ca为钙离子,PT为凝血酶原时间,PTINR为国际标准化比值,APTT为活化部分凝血活酶时间,TT为凝血酶时间,FDP为纤维蛋白降解产物,D-D为D二聚体,Fib-c为纤维蛋白原;a为x±s,b为(例,%) | ||||
| 细菌 | 痰培养 | 血培养 | 脑脊液培养 |
| 葡萄球菌 | 5 | 1 | 6 |
| 肺炎克雷伯 | 14 | 0 | 0 |
| 大肠杆菌 | 7 | 2 | 4 |
| 铜绿假单胞菌 | 2 | 1 | 0 |
| 嗜麦芽窄食单胞菌 | 2 | 0 | 0 |
| 莫拉氏菌 | 2 | 0 | 0 |
| 嗜血杆菌 | 1 | 0 | 0 |
| 纹状棒状杆菌 | 3 | 0 | 1 |
将组间比较差异有统计学意义的变量通过向前引入法筛选得到Logistic回归方程,中性粒细胞和HBP纳入方程(P < 0.01),见表 3。Logistic回归结果显示,中性粒细胞与HBP均为创伤性脑出血患者发生感染的独立危险因素。利用Hosmer-Lemeshow拟合度检验分析模型拟合优度,本模型拟合值和观测值的吻合程度一致,拟合优度较好(χ2=9.56,P=0.298)。
| 变量 | β | 标准误 | P值 | OR值 | 95%CI |
| HBP | 2.86 | 0.030 | 0.004 | 1.081 | 1.025~1.141 |
| 中性粒细胞 | 2.89 | 0.097 | 0.004 | 1.252 | 1.075~1.457 |
| 常量 | -4.60 | 0.016 | < 0.001 | - | - |
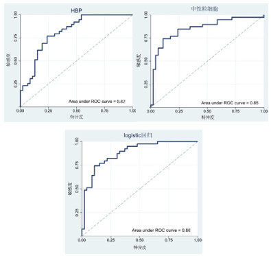
通过ROC分析将HBP和中性粒细胞分别对创伤性脑出血合并感染的预测效能进行对比。HBP的AUC=0.82,95%CI: 0.71~0.88,约登指数0.445, 截断值为15.85,敏感度92.31%,特异度52.17%。中性粒细胞的AUC=0.85,95%CI: 0.75~0.92,约登指数0.607,截断值为8.10,敏感度84.62%,特异度76.09%。可见,HBP预测感染的敏感度优于中性粒细胞。为HBP、中性粒细胞和前述所得Logistic回归模型分别绘制ROC曲线进行对比。所得Logistic模型的预测效能优于单独HBP或中性粒细胞的预测效能(AUC=0.88,95%CI: 0.81~0.95),见图 1。
|
| 图 1 单项指标和Logistic回归方程预测细菌感染的ROC曲线比较 Fig 1 Comparison of ROC curve of single indicator and logistic regression equation in predicting bacterial infection |
|
|
本研究为前瞻性研究,通过两样本差异显著性检验、Logistic回归分析及ROC分析探究HBP对急诊创伤性脑出血合并感染的预测作用。既往研究表明,根据创伤严重程度的不同,创伤后合并感染和住院病死率相关[8]。不仅如此,不同类型及部位的感染与出血性卒中的严重程度相关[9],而创伤性脑出血入院时感染和患者疾病严重程度及3个月功能结局相关[10]。由此可见早期发现创伤合并感染的临床重要性,而部分创伤初期的感染是可预防或早期发现的[11]。本研究结果显示,创伤性脑出血患者早期血浆HBP是预测合并感染的可靠指标。
HBP在感染发生的早期不仅能够促进炎症因子的释放,而且能够趋化成纤维细胞和单核细胞至感染部位[12],还可增加血管内皮细胞通透性以促进炎性外渗[13]。研究表明,革兰阴性和革兰阳性菌均可刺激中性粒细胞分泌HBP[14]。血浆中89%的HBP由细菌刺激后的中性粒细胞通过胞吐释放,且该释放远大于其他中性粒细胞颗粒蛋白[15]。由于急诊患者急危重的特点,易忽略早期开放性创伤相关感染。因此,本研究证实了入院48 h内HBP升高是创伤性脑出血患者早期感染的标志,对于临床早期干预有一定指导作用。
本研究组间单因素分析结果显示,创伤性脑出血合并感染的患者入院48 h内血浆HBP水平明显高于未感染组,提示颅脑创伤患者感染早期血浆HBP升高,分析其原因可能是HBP大量贮存于中性粒细胞受细菌及其产物刺激后被释放,并非感染后开始合成并释放[16]。另外,ISS评分作为临床最常用的创伤严重程度评分,重度创伤意味着高感染风险,在单因素分析结果中再次得到验证。GCS评分评估颅脑外伤引起的出血性卒中患者昏迷程度,间接反映神经损伤的严重程度,而神经损伤对呼吸中枢的影响增加了误吸等肺部感染风险,在本研究GCS评分和呼吸频率相关性结果中得到了验证。年龄在感染组和非感染组的差异明显,考虑和高龄患者低免疫因素相关。分析结果显示是否急诊手术与患者感染风险相关,其原因可能是创伤患者伤口暴露有较高感染风险,同时也提示手术干预时尽量避开复杂的外露伤口。本研究中感染组培养结果以肺炎克雷伯杆菌、大肠杆菌和葡萄球菌感染最为多见,考虑与致伤环境的菌群分布相关,因各菌群样本较少而需要进一步的后续研究验证感染来源。
向前筛选法所得Logistic回归模型提示早期HBP水平升高是患者合并感染有价值的影响因素,与Kahn等[17]的研究相似,认为创伤患者早期较高的HBP水平与较高的危重感染风险相关,王宽等[18]的研究也发现休克患者HBP极端升高。本研究进一步通过ROC曲线对比了HBP、中性粒细胞和所得Logistic回归模型三者的预测效能,结果显示该模型预测效能优于单独预测,进一步证实了HBP可作为新的感染指标对已有指标的补充。联合检测优于单项检测在既往研究中也被证实,特别是HBP联合PCT和IL-6对脓毒症等感染性疾病的预测[19-20]。
由于C反应蛋白、IL-6和血清淀粉样蛋白等化验数据不充足,因此本研究存在一定局限性,需要更全面深入地探究HBP的预测作用。另外,由于创伤性脑出血患者病情危急,综合考虑风险和患者临床获益,未能及时获取更多的早期脑脊液样本,因此对于HBP的变化规律和早期脑脊液样本的验证仍需进一步研究。
综上所述,HBP是急诊创伤性脑出血早期合并细菌感染有价值的预测指标,对现有的检验指标具有较好的补充价值。
利益冲突 所有作者声明无利益冲突
作者贡献声明 冯贵龙:研究设计、论文修改、技术和材料支持;李荔、田晓曦:实验操作、论文撰写;宋艳敏、刘晶晶、王敬文:数据收集及整理;罗天娥:统计学分析
| [1] | GBD Stroke Collaborators. Global, regional, and national burden of stroke and its risk factors, 1990-2019: a systematic analysis for the Global Burden of Disease Study 2019[J]. Lancet Neurol, 2021, 20(10): 795-820. DOI:10.1016/S1474-4422(21)00252-0 |
| [2] | Cordonnier C, Demchuk A, Ziai W, et al. Intracerebral haemorrhage: current approaches to acute management[J]. Lancet, 2018, 392(10154): 1257-1268. DOI:10.1016/S0140-6736(18)31878-6 |
| [3] | Chen SL, Xie WL, Wu K, et al. Suilysin stimulates the release of heparin binding protein from neutrophils and increases vascular permeability in mice[J]. Front Microbiol, 2016, 7: 1338. DOI:10.3389/fmicb.2016.01338 |
| [4] | Honore PM, Redant S, Preseau T, et al. Heparin-binding protein performs better for detecting sepsis among patients presenting with signs of systemic infection compared with procalcitonin, C-reactive protein, and lactate level, and heparin-binding protein is sufficient for both ruling in and out sepsis with organ dysfunction: beware of potential confounding factors![J]. Crit Care Med, 2021, 49(7): e733-e734. DOI:10.1097/CCM.0000000000005005 |
| [5] | Wu YL, Yo CH, Hsu WT, et al. Accuracy of heparin-binding protein in diagnosing sepsis: a systematic review and meta-analysis[J]. Crit Care Med, 2021, 49(1): e80-e90. DOI:10.1097/CCM.0000000000004738 |
| [6] | 李荔, 冯贵龙, 牛争平. 肝素结合蛋白分子特性及其与感染性疾病关系研究进展[J]. 中华实用诊断与治疗杂志, 2022, 36(4): 418-421. DOI:10.13507/j.issn.1674-3474.2022.04.023 |
| [7] | 郭磊, 张铮, 沈华, 等. 肝素结合蛋白对呼吸道病毒感染的诊断及预后评估价值[J]. 中华急诊医学杂志, 2021, 30(12): 1465-1469. DOI:10.3760/cma.j.issn.1671-0282.2021.12.010 |
| [8] | Eguia E, Bunn C, Kulshrestha S, et al. Trends, cost, and mortality from sepsis after trauma in the United States: an evaluation of the national inpatient sample of hospitalizations, 2012-2016[J]. Crit Care Med, 2020, 48(9): 1296-1303. DOI:10.1097/CCM.0000000000004451 |
| [9] | Sebastian S, Stein LK, Dhamoon MS. Infection as a stroke trigger[J]. Stroke, 2019, 50(8): 2216-2218. DOI:10.1161/STROKEAHA.119.025872 |
| [10] | Boehme AK, Comeau ME, Langefeld CD, et al. Systemic inflammatory response syndrome, infection, and outcome in intracerebral hemorrhage[J]. Neurol Neuroimmunol Neuroinflamm, 2018, 5(2): e428. DOI:10.1212/NXI.0000000000000428 |
| [11] | Sasaki J, Shiino Y, Kato Y, et al. Checklist for infection control in the emergency department[J]. Acute Med Surg, 2020, 7(1): e540. DOI:10.1002/ams2.540 |
| [12] | Chang ML, Guo F, Zhou ZD, et al. HBP induces the expression of monocyte chemoattractant protein-1 via the FAK/PI3K/AKT and p38 MAPK/NF-κB pathways in vascular endothelial cells[J]. Cell Signal, 2018, 43: 85-94. DOI:10.1016/j.cellsig.2017.12.008 |
| [13] | Kenne E, Rasmuson J, Renné T, et al. Neutrophils engage the kallikrein-kinin system to open up the endothelial barrier in acute inflammation[J]. FASEB J, 2019, 33(2): 2599-2609. DOI:10.1096/fj.201801329R |
| [14] | Pereira HA, Erdem I, Pohl J, et al. Synthetic bactericidal peptide based on CAP37: a 37-kDa human neutrophil granule-associated cationic antimicrobial protein chemotactic for monocytes[J]. Proc Natl Acad Sci USA, 1993, 90(10): 4733-4737. DOI:10.1073/pnas.90.10.4733 |
| [15] | Pereira HA, Shafer WM, Pohl J, et al. CAP37, a human neutrophil-derived chemotactic factor with monocyte specific activity[J]. J Clin Invest, 1990, 85(5): 1468-1476. DOI:10.1172/JCI114593 |
| [16] | Fisher J, Linder A. Heparin-binding protein: a key player in the pathophysiology of organ dysfunction in sepsis[J]. J Intern Med, 2017, 281(6): 562-574. DOI:10.1111/joim.12604 |
| [17] | Kahn F, Tverring J, Mellhammar L, et al. Heparin-binding protein as a prognostic biomarker of sepsis and disease severity at the emergency department[J]. Shock, 2019, 52(6): e135-e145. DOI:10.1097/SHK.0000000000001332 |
| [18] | 王宽, 蒋瑜, 杨旭峰. 肝素结合蛋白极端升高的临床观察[J]. 中华急诊医学杂志, 2022, 31(9): 1270-1274. DOI:10.3760/cma.j.issn.1671-0282.2022.09.020 |
| [19] | Zhong YH, Yu ZQ, Wang L, et al. Combined detection of procalcitonin, heparin-binding protein, and interleukin-6 is a promising assay to diagnose and predict acute pancreatitis[J]. J Clin Lab Anal, 2021, 35(8): e23869. DOI:10.1002/jcla.23869 |
| [20] | 印明珠, 孙明, 燕宪亮. 血栓弹力图、凝血功能与平均血小板体积/血小板计数比值的联合监测对脓毒症患者预后的评估[J]. 中华急诊医学杂志, 2022, 31(10): 1347-1352. DOI:10.3760/cma.j.issn.1671-0282.2022.10.009 |
2023, Vol. 32



