中华急诊医学杂志  2023, Vol. 32 Issue (4): 489-496   DOI: 10.3760/cma.j.issn.1671-0282.2023.04.009
儿童重症细菌感染死亡风险预测模型的建立及评价
查皓宇1 , 谭睿2 , 王浩楠2 , 梅雪剑2 , 范铭兴2 , 潘美玲2 , 陈婷婷2 , 陈俊2 , 刘瑶3 , 赵劭懂2 , 李灼2 , 缪红军2     
1. 南京医科大学儿科学院,南京 210005;
2. 南京医科大学附属儿童医院急诊重症医学科,南京 210008;
3. 南京医科大学附属儿童医院药学部,南京 210008
摘要: 目的 构建儿童重症细菌感染死亡风险模型并同儿科早期预警评分(pediatric early warning score, PEWS)、小儿危重病例评分(pediatric critical illness score, PCIS)和小儿死亡风险评分Ⅲ(pediatric risk of mortalityⅢ, PRISM Ⅲ)进行比较。方法 选取南京医科大学附属儿童医院PICU2017年5月至2022年6月收治的178名危重患儿。在获得父母/监护人的知情同意后,收集患儿的性别、年龄、身高、体重等基本信息,以及心率、收缩压、呼吸频率等指标。在患儿进入PICU 24 h后进行评分,根据入院后28 d生存状态将患儿分为存活组和死亡组。构建死亡风险模型,并绘制列线图。使用受试者工作特征(receiver operating characteristic,ROC)曲线,并通过ROC曲线下面积(area under curve, AUC)评估和比较死亡风险模型、PEWS、PCIS和PRISM Ⅲ预测死亡风险的价值。结果 178例危重患儿中11例因资料严重缺失、住院未超过24 h被排除。共167例患儿纳入分析,其中28 d存活组134例,死亡组33例。用瞳孔改变、意识状态、皮肤颜色、是否行机械通气、总胆固醇、凝血酶原时间构建了儿童重症细菌感染死亡风险预测模型。ROC曲线分析表明,死亡风险模型预测重症细菌感染儿童死亡AUC是0.888(P<0.05),PEWS、PCIS和PRISM Ⅲ预测重症细菌感染儿童死亡的AUC分别为0.769(P<0.05)、0.575(P<0.05)和0.759(P<0.05)。Hosmer-Lemeshow拟合优度检验显示死亡风险模型和PEWS预测病死率与实际病死率的一致性最好(χ2=5.180,P=0.738;χ2=4.939,P=0.764),PCIS和PRISM Ⅲ预测病死率与实际病死率的拟合效果尚可(χ2=9.110,P=0333;χ2=8.943,P=0.347)。结论 死亡风险模型对重症细菌感染患儿的预后价值较PEWS、PCIS和PRISM Ⅲ更好。
关键词: 重症细菌感染    模型    预后    逻辑回归分析    列线图    
Development and evaluation of a mortality risk prediction model for severe bacterial infections in children
Zha Haoyu1 , Tan Rui2 , Wang Haonan2 , Mei Xuejian2 , Fan Mingxing2 , Pan Meiling2 , Chen Tingting2 , Chen Jun2 , Liu Yao3 , Zhao Shaodong2 , Li Zhuo2 , Miao Hongjun2     
1. College of Pediatrics, Nanjing Medical University, Nanjing 210005, China;
2. Department of Emergency/Critical Medicine, Children's Hospital of Nanjing Medical University, Nanjing 210008, China;
3. Department of Pharmacy, Children's Hospital of Nanjing Medical University, Nanjing 210008, China
Abstract: Objective To establish a mortality risk prediction model of severe bacterial infection in children and compare it with the pediatric early warning score (PEWS), pediatric critical illness score (PCIS) and pediatric risk of mortality scoreⅢ (PRISMⅢ). Methods A total of 178 critically ill children were selected from the PICU of the Children's Hospital of Nanjing Medical University from May 2017 to June 2022. After obtaining the informed consent of the parents/guardians, basic information such as sex, age, height and weight, as well as indicators such as heart rate, systolic blood pressure and respiratory rate were collected from all children. A standard questionnaire was used to score the child 24 h after admission to the PICU. The children were divided into the survival and death groups according to their survival status at 28 d after admission. A mortality risk prediction model was constructed and nomogram was drawn. The value of the mortality risk prediction model, PEWS, PCIS and PRISM in predicting the risk of death was assessed and compared using the receiver operating characteristic (ROC) curve and the area under the ROC curve (AUC). Results Among the 178 critically ill children, 11 cases were excluded due to severe data deficiencies and hospitalization not exceeding 24 h. A total of 167 children were included in the analysis, including 134 in the survival group and 33 in the death group. A mortality risk prediction model for children with severe bacterial infection was constructed using pupillary changes, state of consciousness, skin color, mechanical ventilation, total cholesterol and prothrombin time. ROC curve analysis showed that the AUCs of mortality risk prediction model was 0.888 (P < 0.05). The AUCs of PEWS, PCIS and PRISM Ⅲ in predicting death in children with severe bacterial infection were 0.769 (P < 0.05), 0.575 (P < 0.05) and 0.759 (P < 0.05), respectively. Hosmer-Lemeshow goodness-of-fit test showed the best agreement between risk of death and PEWS predicted morbidity and mortality and actual morbidity and mortality (χ2 = 5.180, P = 0.738; χ2 = 4.939, P = 0.764), and the PCIS and PRISM Ⅲ predicted mortality rates fitted reasonably well with actual mortality rates (χ2= 9.110, P= 0333; χ2 = 8.943, P= 0.347). Conclusions The mortality risk prediction model for predicting the death risk has better prognostic value than PEWS, PCIS and PRISM Ⅲ for children with severe bacterial infection.
Key words: Serious bacterial infection    Model    Prognosis    Logistic regression analysis    Nomorgraphy    

儿科重症监护病房(pediatric intensive care unit,PICU)的主要目的是通过监测和治疗降低住院患儿病死率。国内PICU住院病死率大约是美国和欧洲的2~3倍[1]。PICU约1/4的死亡与感染引起的器官功能障碍相关。各种感染中以细菌感染最多见,细菌感染是PICU死亡的主要原因。严重细菌感染指细菌引起的危及生命的感染,包括脓毒性休克及脓毒症相关器官功能障碍[2]。因此,确定重症细菌感染死亡风险的预测和决定因素,对于重症细菌感染患儿的风险分层和优化管理至关重要。儿科早期预警评分(pediatric early warning score, PEWS)、小儿危重病例评分(pediatric critical illness score, PCIS) 和小儿死亡风险评分III(pediatric risk of mortalityⅢ, PRISM Ⅲ)是儿科中常用的评分系统,用于预测患者病死率[3]。尚未开发出用于儿童重症细菌感染的预后预测模型,3种评分对重症细菌感染患儿的预后价值也尚不明确。本研究旨在开发和验证一种新的死亡风险预测模型,以对儿童重症细菌感染的预后进行评估,并比较死亡风险预测模型和三种评分预测重症细菌感染患儿病死率的准确性,评估对重症细菌感染人群的适用性,为重症细菌感染患儿提供可用资源的最佳管理和预后的准确预测。

1 资料与方法

本研究采用回顾性研究方法,选择2017年5月至2022年6月入住本院PICU的167例重症细菌感染患儿。本院患儿在江苏省所有重症儿童患者中极具代表性。本院所有病历均实行电子化管理,信息完整可靠,数据质量有保障。

1.1 一般资料

(1)纳入标准:①临床诊断为细菌感染患儿:经临床各种标本证实,或者符合血清降钙素原检测在儿童感染性疾病中的临床应用专家共识以及中国0至5岁儿童病因不明急性发热诊断和处理若干问题循证指南判断细菌感染的标准[4-5];②患儿符合严重脓毒症的以下表现之一:心血管功能障碍、急性呼吸窘迫综合征、2个或更多器官功能障碍(呼吸、肾脏、神经、血液或肝脏)[6];③患儿28 d < 年龄≤18岁;④患儿均进行PEWS、PCIS、PRISMⅢ评分;⑤临床资料完整。

(2)排除标准:①入住PICU 8h内死亡或入院24h内出院;②临床资料不全者;③离开PICU时诊断未明确者;④最终考虑非细菌感染性疾病者。

1.2 伦理学

2017年5月至2022年6月入住本院PICU的167例重症细菌感染患儿,在获得知情同意后纳入研究,试验研究获得医院伦理委员会的批准,伦理号审批:202211207-1。

1.3 研究方法

收集患儿的性别、年龄、身高、体重和临床结局(存活或死亡),心率、血压、呼吸频率等91项临床观察指标和实验室指标,根据PCIS、PRISMⅢ和PEWS评分表进行评分。所有变量均采用国际标准方法测量。

1.4 统计学方法

应用R软件进行统计学分析。先对计量资料进行正态性检验,正态分布的计量资料用均数±标准差(x±s)表示,组间比较采用成组t检验;非正态分布计量资料用中位数(四分位数)[M(QLQU)]表示,组间比较采用非参数秩和检验。计数资料比较采用χ2检验。用逻辑回归分析构建模型。整个研究队列分为训练集和验证集,70%的患者随机分配到训练集用于开发重症细菌感染的死亡风险预测模型,余下的30%患者分配到验证集用来评估模型。创建列线图,直接计算主要结果的概率,赋予每个变量与其系数的权重成正比的尺度[7]。受试者工作特征(receiver operating characteristic,ROC)曲线,采用ROC曲线下面积(area under curve, AUC)检验模型和各评分系统对患儿死亡的预测能力,并根据约登指数计算最佳临界值、灵敏度和特异度。以P<0.05为差异有统计学意义。应用Hosmer-Lemeshow拟合优度检验评估预期病死率与实际病死率的拟合度。

2 结果 2.1 存活组与死亡组患者各项指标的比较

根据患者入院后28 d的生存状态将其分为死亡组(33例)和存活组(134例)。死亡组男16例,女17例,存活组男85例,女49例,两组年龄、性别、身高、体重和PCIS差异无统计学意义(P>0.05);死亡组PEWS、PRISM Ⅲ和机械通气使用率均高于存活组(P<0.05)。见表 1

表 1 死亡组与存活组患者临床一般特征资料的比较 Table 1 Comparison of general clinical characteristics between the death group and the survival group
项目 存活组(n=134) 死亡组(n=33) 统计值Z/χ2 P
年龄(月)a 38.0(7.3,97.7) 37.0(9.5,92.5) -0.877 0.375
男(n,%) 85(63.4) 16(48.5) 1.956 0.162
身高(cm)a 79.5(59.0,110.0) 86.0 (68.0,112.0) -0.884 0.376
体重(kg)a 10.0 (6.0,16.0) 11.5 (7.6,16.0) -0.985 0.325
PEWS(分)a 3.0(1.0,4.0) 4.0(3.0,6.0) -4.802 <0.001
PCIS(分)a 90.0(86.0,92.0) 86.0(84.0,90.0) -1.328 0.184
PRISM Ⅲ(分)a 12.0(10.0,15.0) 18.0(14.0,21.0) -4.638 <0.001
机械通气(n,%) 33 (24.6) 23(70.0) 25.796 <0.001
注:PEWS为小儿早期预警评分,PCIS小儿危重病例评分,PRISM Ⅲ为小儿病死率风险评分Ⅲ,a为MQ1, Q3)
2.2 死亡风险预测模型对重症细菌感染患儿死亡风险的预测

本研究将收缩压、心率、呼吸频率、活化部分凝血酶原时间、肌酐、体温、pH值、动脉血氧分压、动脉血二氧化碳分压、白细胞计数、血红蛋白、血小板计数、葡萄糖、总胆红素、尿素氮、钠离子、钾离子、凝血酶原时间、皮肤颜色、瞳孔对光反射、意识状态、昏迷评分、有无胃肠反应是否行机械通气、氧合指数、平均动脉压、舒张压、剩余碱、氧饱和度、乳酸、C反应蛋白、淋巴细胞计数、淋巴细胞百分比、单核细胞计数、单核细胞百分比、中性粒细胞细胞计数、中性粒细胞百分比、嗜碱细胞计数、嗜碱细胞百分比、嗜酸细胞计数、嗜酸细胞百分比、红细胞计数、红细胞压积、平均红细胞体积、平均红细胞血红蛋白含量、平均细胞血红蛋白浓度、红细胞分布宽度、红细胞宽度变异系数、降钙素原、血小板平均体积、血小板分布宽度、血小板比率、丙氨酸转氨酶、天冬氨酸转氨酶、碱性磷酸酶、谷氨酰胺转移酶、胆碱酯酶、乳酸脱氢酶、肌酸激酶、肌酸激酶同功酶、羟丁酸脱氢酶、总蛋白、白蛋白、球蛋白、白球比、直接胆红素、间接胆红素、前白蛋白、尿酸、胱抑素C、视黄醇结合蛋白、钙、镁、磷、甘油三酯、总胆固醇、高密度脂蛋白、国际标准化比值、纤维蛋白原、凝血酶时间、D二聚体、纤维蛋白降解产物、血沉、血清铁蛋白、肌钙蛋白I、肌红蛋白、脑钠肽、多巴胺使用剂量、多巴酚丁胺使用剂量、肾上腺素使用剂量、去甲肾上腺素使用剂量共91个指标纳入分析。对所有指标进行单因素分析,取P<0.05的指标进行LASSO回归分析,取瞳孔改变、意识状态、皮肤黏膜颜色、是否行机械通气、总胆固醇、凝血酶原时间6个指标进行Logistic回归分析,建立新的预后预测模型(图 1)。新建模型的AUC是0.888(P<0.05),相较于PEWS、PCIS、PRISM Ⅲ的AUC,新建模型的AUC绝对值增大(图 2)。新建模型的敏感度为83%,特异度为90%(图 2)。Hosmer-Lemeshow拟合优度检验显示新建模型预测病死率与实际病死率的一致性好(χ2=5.180,P=0.738)。

TC:总胆固醇;PT:凝血酶原时间;MV:机械通气;PUPIL:瞳孔变化;AWARENESS:意识状态;COLOR:皮肤颜色 图 1 死亡风险预测模型预测重症细菌感染患儿28 d死亡风险列线图 Fig 1 Mortality risk prediction model predicting 28-day mortality risk graph for children with severe bacterial infection

图 2 重症细菌感染死亡风险预测模型预测PICU患儿28 d死亡风险ROC曲线 Fig 2 ROC curve of 28-day death risk in children in PICU predicted by mortality risk prediction model from severe bacterial infection
2.3 PEWS、PCIS和PRISM Ⅲ的ROC

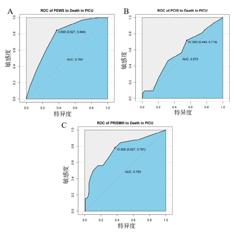
PEWS、PCIS和PRISM Ⅲ预测重症细菌感染患者死亡风险的AUC分别为0.769(P<0.05)、0.575(P<0.05)和0.759(P<0.05) (表 2图 3)。根据约登指数,PEWS取3.5为截断点,预测重症细菌感染28 d死亡风险的敏感度为84%,特异度为63%(表 2图 3A)。PCIS取91.0为截断点,预测重症细菌感染28 d死亡风险的敏感度为72%,特异度为45%(表 2图 3B)。PRISM Ⅲ取13.5为截断点,预测重症细菌感染28 d死亡风险的灵敏度为78%,特异度为63%(表 2图 3C)。

表 2 PEWS、PCIS和PRISM Ⅲ预测重症细菌感染患儿28 d死亡风险的价值 Table 2 Prognostic value of PEWS, PCIS and PRISM III in predicting 28-day risk of death in children with severe bacterial infection
指标 AUC 95%CI 临界值 敏感度(%) 特异度(%)
PEWS 0.769 0.689~0.849 3.5 84 63
PCIS 0.575 0.467~0.684 91.0 72 45
PRISM Ⅲ 0.759 0.661~0.858 13.5 78 63
注:PEWS为小儿早期预警评分,PCIS小儿危重病例评分,PRISM Ⅲ为小儿病死率风险评分Ⅲ,AUC为ROC曲线下面积,95%CI为置信区间

PEWS:小儿早期预警评分;PCIS:小儿危重病例评分;PRISM Ⅲ:小儿病死率风险评分Ⅲ 图 3 PEWS、PCIS和PRISM Ⅲ预测重症细菌感染患儿28 d死亡风险ROC曲线 Fig 3 ROC curve of PEWS, PCIS and PRISMⅢ predicted 28-day mortality risk in children with severe bacterial infection
2.4 Hosmer-Lemeshow拟合优度检验

PEWS预测重症细菌感染患儿病死率与实际病死率的拟合效果较好(χ2=4.939,P=0.764);PCIS、PRISMⅢ拟合效果尚可(χ2=9.110,P=0.333;χ2=8.943,P=0.347)。

3 讨论

细菌感染与PICU患儿的死亡密切相关。细菌感染及其诱发的脓毒性休克和多器官功能障碍(MODS) 是PICU入院的主要原因之一,导致PICU的病死率极高[8]。侵袭性细菌感染占PICU所有死亡人数的四分之一以上[9]。细菌感染发生场所和宿主条件不同,尤其是原发疾病严重程度不同,临床表现以及病原菌分布、耐药情况有很大差异。有研究将严重细菌感染定义为由任何细菌病原体引起的疑似或证实感染,或与感染大概率相关的临床综合征,包括检查、影像学或医院实验室检查的阳性结果[10-11]。根据《中国儿童重症监护病房严重细菌感染抗菌药物应用的若干建议》,严重细菌感染指细菌引起的危及生命的感染,包括脓毒性休克及脓毒症相关器官功能障碍[2]。早期及时正确的经验性抗菌药物使用对拯救患儿生命、阻止严重细菌感染病情进展、减少药物不良反应、减少细菌耐药发生及减轻疾病负担十分关键[12]

死亡风险预测模型是临床医生的重要工具,它提供了与死亡风险相关的客观参数,帮助医生根据识别出具有较高风险的患者进行临床决策[13]。为患者提供以个体为导向的治疗[14]。儿科医生对危重患儿死亡风险的预测是高度主观的,因此,临床医生为危重患儿建立了各种评分系统,设计了各种量表来帮助预测危重患儿的治疗结果,并利用可用资源提供更好的治疗质量。尽管精确评估单个患者的预后是一个复杂的过程,已经有研究开发和验证了许多死亡风险预测评分系统,如PEWS、PCIS、PRISM Ⅲ、小儿病死率指数(pediatric index of mortality, PIM-3)和小儿逻辑器官功能障碍-2(pediatric logistic organ dysfunction-2,PELOD2)。然而,他们的预测准确度在全球不同人群和不同疾病中差异有统计学意义[15]。专门针对儿童重症细菌感染患者建立的具有较高临床应用价值的死亡风险预测模型尚未见报道。

临床医生评估儿童重症细菌感染预后非常困难。PICU迫切需要具有少量指标的实用临床预测模型来评估重症细菌感染患儿的病情和预后。本研究专门设计用于儿童重症细菌感染的死亡风险预测模型,使用基于患者临床观察和实验室检查的六个变量的模型。统计方法的进步提供了必要的工具来模拟与临床结局相关的许多变量之间的复杂关系。在这项研究中,训练组进行多变量逻辑回归分析来开发预测模型,选择了91个变量,这些变量在大多数医疗机构中都很容易获得,并且与身体的各个系统密切相关。变量的选择不受单变量逻辑回归分析结果的影响,而是采用最小绝对收缩和选择运算符(LASSO),通过收缩大的回归系数来降低过拟合程度[16],最终瞳孔改变、意识状态、皮肤黏膜颜色、是否行机械通气、总胆固醇、凝血酶原时间6个指标保留在最终模型中。C反应蛋白、降钙素原等被报道为感染生化标志物的指标[17-18],在本研究中并未显示与儿童重症细菌感染的预后相关。可能是本研究仅包括被诊断为重症细菌感染的患儿,因此感染的生化标志物不能用于区分重症细菌感染患儿的预后。

临床上已经开发了许多针对重症感染患者的预后模型。2017年湖南省儿童医院PICU开发并验证了一个小儿脓毒症死亡风险模型(MRMFPS)来评估小儿脓毒症患者的死亡风险。MRMFPS对脓毒症死亡风险进行分层,对预测脓毒症患儿的院内死亡风险显示出良好的性能[19]。2021年洛杉矶儿童医院PICU开发一个循环神经网络模型,使用电子病历数据,持续评估单个儿童在PICU住院期间的死亡风险,监测疾病严重程度。但上述模型未针对细菌感染人群进行研发和验证。

针对重症细菌感染,目前临床中构建了一些预测模型。Feverkidstool为小于16岁的儿童而开发,包括11个指标,用于预测肺、尿道、胃肠道等部位严重细菌感染的风险[20]。2020年,奥地利、德国等共8个欧洲国家的12个急诊科进行的多中心研究开发并交叉验证一个多变量临床预测模型,可早期识别侵入性细菌感染,减少不必要的侵入性诊断和不良后果[21]。针对儿童重症细菌感染患儿的预后模型鲜有报道,建立临床预后模型对重症细菌感染患儿十分重要。

本研究的死亡风险预测模型来自现成的临床变量。这些变量不同于广泛使用但复杂的评分系统,如PCIS和PRISM Ⅲ评分。这种差异可能与本研究的具体研究对象有关,充分说明了本模型在评估儿童重症细菌感染方面的合理性和独特性。

目前,PEWS、PCIS和PRISM Ⅲ经常用于儿科患者病死率的预测[3, 22]。本研究通过ROC曲线评价死亡风险预测模型和3种评分系统的预测性能[23]。通过Hosmer-Lemeshow拟合优度检验评估预期病死率与实际病死率的拟合度。结果显示,死亡风险预测模型的AUC为0.888(P<0.05),预测病死率的能力好,能准确地预测重症细菌感染患儿的预后,预测病死率与实际病死率的一致性好(χ2=5.18,P=0.738)。PEWS的AUC为0.769 (P<0.05),预测病死率的能力尚可,能较准确地预测重症细菌感染患儿的预后,预测病死率与实际病死率的一致性好(χ2=4.939,P=0.764)。PEWS是根据儿童的生理和病理特点建立的,包括3个部分:意识状态、呼吸状态和心血管状态。在临床工作中可以快速执行,且不受年龄组限制,帮助医务人员识别高危患儿,加强临床监测[24]。PEWS被认为是儿童整体健康状况的代表。分数高表示儿童有恶化的风险,分数越高,风险越高[25]。英国拟议一个新的PEWS评分,有研究支持该新PEWS可以识别疑似脓毒症以改善结果[26]

1995年中华医学会儿科学分会急诊学组和中华医学会急诊学分会儿科学组制定了PCIS,包括10个生理指标,在国内应用最广泛[27]。中华医学会儿科学分会急救学组曾组织大型前瞻性研究验证PCIS可准确判断患儿病情严重程度、预测危重患儿死亡危险[28]。在本研究中,PCIS的AUC为0.575(P<0.05),对重症细菌感染患儿预后的评估能力很差,预测病死率与实际病死率的一致性一般(χ2=9.110,P=0.333)。有研究对北京地区两家医院儿科重症监护病房486例脓毒症患儿进行分析,PCIS评分分值与脓毒症严重程度呈负相关(r=-0.583, P < 0.01),PCIS分值明显降低是对脓毒症死亡有显著影响的独立危险因素[29]。北京儿童医院PICU发现脓毒症患儿病死率随PCIS评分降低逐渐增加[30]。上海市4家PICU针对脓毒症的调查分析显示PCIS对脓毒症患儿的严重程度和预后判断具有指导意义[31]。齐英征[32]与李娟珍和王莹[33]研究也得出类似的结论。另一项研究中PCIS与严重脓毒症患儿的预后并非直线关系,当PCIS≤66分时只提示病情严重度,并不能准确预测预后[34]。2014年新疆一项回顾性研究发现PCT水平结合PCIS对于早期判断脓毒症患儿病情预后的价值更高,是判断脓毒症患儿预后的较好标志之一[32]。而在PCIS评分基础上监测血清白蛋白浓度,不仅反映了危重患者的营养状况,也是协助判断其预后的重要指标[30]。考虑PCIS纳入电解质指标较多,受电解质影响较大,可能导致对非电解质紊乱的重症病例病情评估功能欠佳[35]

1988年,Pollack等[36]设计了用于预测PICU病死率的PRISM评分,由14个变量组成。1996年PRISM修改为PRISM Ⅲ,包含17个生理学变量,细分为26个生理学参数范围,其中最能预测病死率的变量是最低收缩压、瞳孔反射异常和昏迷[37]。在本研究中,PRISM Ⅲ的AUC为0.759 (P<0.05),预测病死率的能力良好,预测病死率与实际病死率的一致性尚可(χ2=8.943,P=0.347)。Siddique等[38]和Choi等[39]的研究也证明了PRISM Ⅲ对危重患儿具有良好的预后预测能力,AUC分别为0.885和0.910。PRISM Ⅲ是在全球范围内使用范围最广、使用频率最高的PICU病死率预测模型。许多研究发现PRISM Ⅲ与病死率之间呈正相关[40-41]。Nadel等[42]多中心研究显示PRISMⅢ是儿童严重脓毒症的独立危险因素,每增加1分,死亡风险增加4%。国内一项研究显示PRISM Ⅲ与脓毒症患儿不良预后呈直线关系,PRISM Ⅲ评分越高,提示死亡风险越大,PRISMⅢ评分每增加1分,死亡风险增高20%,明显高于Nadel等[34]的研究。在之前进行的大多数研究中,原发性疾病通常是由外伤或恶性肿瘤引起的,而本研究人群是细菌性感染性疾病。

开发有效可靠的重症细菌感染患者死亡风险预测模型是一项持续的实践。本研究中构建的死亡风险预测模型的AUC相较于PEWS、PCIS、PRISM Ⅲ的AUC绝对值增大,预测病死率与实际病死率的一致性较于3种评分更高,提示该模型评估重症细菌感染患儿预后的效能较3种评分更好。我们的死亡风险预测模型仅包含6个变量,且本研究中创建的列线图工具可以轻松应用于临床环境,临床医生也可以通过安装在个人计算机上的简单计算程序轻松应用它。

本研究为单中心研究,且纳入研究的病例数较少,仅纳入入住PICU的患儿,因此未对处于不同急症护理阶段(院外、急诊科和医院病房)的儿童进行评估。笔者将10名患儿排除在预后分析之外也可能会在本研究中引入偏倚。该模型也未包括具体致病病原体和抗生素的使用、医疗保健等社会经济状况、教育水平和家庭收入等数据。由于这些局限性,需开展多中心研究进一步证实。此外,本院作为区域性儿童疾病治疗中心,纳入的病例大多为区域内其他医疗机构治疗后效果不佳或疾病仍旧进展加重的患儿,疾病的基线水平有异质性。需要注意的是,任何评分方法均不能取代密切的病情监测及仔细的体格检查,无论采取何种预后模型和评分方法,均需动态评估生命体征和病情严重程度,密切关注患者病情变化,积极治疗,以期改善预后。

本研究中提出的模型是用于预测儿童重症细菌感染死亡风险的新工具。该模型使用普遍可用的临床和试验室指标,帮助临床医生快速对重症细菌感染患儿进行预后评估,对于指导治疗和改善预后非常重要。建议在更大的前瞻性研究以及其他种族群体中,应进一步评估这种预后模型,以准确评估病情和预测病死率。

利益冲突  所有作者声明无利益冲突

作者贡献声明  查皓宇、谭睿、王浩楠:研究设计、数据整理与统计分析、论文撰写;梅雪剑、范铭兴、潘美玲、陈婷婷、陈俊、刘瑶、赵劭懂、李灼:数据收集与整理;缪红军:研究设计、论文修改

参考文献
[1] 李玖军, 陈艳飞, 林业鑫. 2005—2012年中国医科大学附属盛京医院PICU疾病谱分析[J]. 中国当代儿科杂志, 2013, 15(6): 472-476. DOI:10.7499/j.issn.1008-8830.2013.06.018
[2] 中华医学会儿科学分会急救学组. 中国儿童重症监护病房严重细菌感染抗菌药物应用的若干建议[J]. 中华儿科杂志, 2022, 60(3): 177-182. DOI:10.3760/cma.j.cn112140-20211111-00944
[3] Bilan N, Galehgolab BA, Emadaddin A, et al. Risk of mortality in pediatric intensive care unit, assessed by PRISM-Ⅲ[J]. Pak J Biol Sci, 2009, 12(6): 480-485. DOI:10.3923/pjbs.2009.480.485
[4] 中华医学会儿科学分会医院感染管理与控制专业委员会. 血清降钙素原检测在儿童感染性疾病中的临床应用专家共识[J]. 中华儿科杂志, 2019, 57(1): 9-15. DOI:10.3760/cma.j.issn.0578-1310.2019.01.005
[5] 中国至岁儿童病因不明急性发热诊断和处理若干问题循证指南制定工作组. 中国0至5岁儿童病因不明急性发热诊断和处理若干问题循证指南(简化版)[J]. 中国循证儿科杂志, 2016, 11(2): 97-98. DOI:10.3969/j.issn.1673-5501.2016.02.002
[6] Schlapbach LJ, Kissoon N. Defining pediatric Sepsis[J]. JAMA Pediatr, 2018, 172(4): 312-314. DOI:10.1001/jamapediatrics.2017.5208
[7] Sen AC, Morrow DF, Balachandran R, et al. Postoperative infection in developing world congenital heart surgery programs: data from the international quality improvement collaborative[J]. Circ Cardiovasc Qual Outcomes, 2017, 10(4): e002935. DOI:10.1161/CIRCOUTCOMES.116.002935
[8] Riley C, Wheeler DS. Prevention of sepsis in children: a new paradigm for public policy[J]. Crit Care Res Pract, 2012, 2012: 437139. DOI:10.1155/2012/437139
[9] D r, Luregn J, Schlapbach, et al. Mortality related to invasive infections, sepsis, and septic shock in critically ill children in Australia and New Zealand, 2002-13: a multicentre retrospective cohort study[J]. Lancet Infect Dis, 2015, 15(1): 46-54. DOI:10.1016/S1473-3099(14)71003-5
[10] Irwin AD, Grant A, Williams R, et al. Predicting risk of serious bacterial infections in febrile children in the emergency department[J]. Pediatrics, 2017, 140(2): e20162853. DOI:10.1542/peds.2016-2853
[11] Goldstein B, Giroir B, Randolph A, et al. International pediatric sepsis consensus conference: definitions for sepsis and organ dysfunction in pediatrics[J]. Pediatr Crit Care Med, 2005, 6(1): 2-8. DOI:10.1097/01.PCC.0000149131.72248.E6
[12] Weiss SL, Peters MJ, Alhazzani W, et al. Surviving sepsis campaign international guidelines for the management of septic shock and sepsis-associated organ dysfunction in children[J]. Intensive Care Med, 2020, 46(Suppl 1): 10-67. DOI:10.1007/s00134-019-05878-6
[13] Algra SO, Driessen MM, Schadenberg AW, et al. Bedside prediction rule for infections after pediatric cardiac surgery[J]. Intensive Care Med, 2012, 38(3): 474-481. DOI:10.1007/s00134-011-2454-3
[14] Moreno RP, Metnitz B, Adler L, et al. Sepsis mortality prediction based on predisposition, infection and response[J]. Intensive Care Med, 2008, 34(3): 496-504. DOI:10.1007/s00134-007-0943-1
[15] Tyagi P, Tullu MS, Agrawal M. Comparison of pediatric risk of mortality Ⅲ, pediatric index of mortality 2, and pediatric index of mortality 3 in predicting mortality in a pediatric intensive care unit[J]. J Pediatr Intensive Care, 2018, 7(4): 201-206. DOI:10.1055/s-0038-1673671
[16] Friedman J, Hastie T, Tibshirani R. Regularization paths for generalized linear models via coordinate descent[J]. J Stat Softw, 2010, 33(1): 1-22.
[17] Lee SH, Chan RC, Wu JY, et al. Diagnostic value of procalcitonin for bacterial infection in elderly patients - a systemic review and meta-analysis[J]. Int J Clin Pract, 2013, 67(12): 1350-1357. DOI:10.1111/ijcp.12278
[18] Yang SK, Xiao L, Zhang H, et al. Significance of serum procalcitonin as biomarker for detection of bacterial peritonitis: a systematic review and meta-analysis[J]. BMC Infect Dis, 2014, 14: 452. DOI:10.1186/1471-2334-14-452
[19] Chen MS, Lu XL, Hu L, et al. Development and validation of a mortality risk model for pediatric sepsis[J]. Medicine, 2017, 96(20): e6923. DOI:10.1097/MD.0000000000006923
[20] Nijman RG, Vergouwe Y, Thompson M, et al. Clinical prediction model to aid emergency doctors managing febrile children at risk of serious bacterial infections: diagnostic study[J]. BMJ, 2013, 346: f1706. DOI:10.1136/bmj.f1706
[21] Hagedoorn NN, Borensztajn D, Nijman RG, et al. Development and validation of a prediction model for invasive bacterial infections in febrile children at European Emergency Departments: MOFICHE, a prospective observational study[J]. Arch Dis Child, 2021, 106(7): 641-647. DOI:10.1136/archdischild-2020-319794
[22] Gemke RJ, van Vught J. Scoring systems in pediatric intensive care: PRISM Ⅲ versus PIM[J]. Intensive Care Med, 2002, 28(2): 204-207. DOI:10.1007/s00134-001-1185-2
[23] Huang P, Tan HZ, Liu AZ, et al. Prediction of posttraumatic stress disorder among adults in flood district[J]. BMC Public Health, 2010, 10: 207. DOI:10.1186/1471-2458-10-207
[24] Lambert V, Matthews A, MacDonell R, et al. Paediatric early warning systems for detecting and responding to clinical deterioration in children: a systematic review[J]. BMJ Open, 2017, 7(3): e014497. DOI:10.1136/bmjopen-2016-014497
[25] Seiger N, Maconochie I, Oostenbrink R, et al. Validity of different pediatric early warning scores in the emergency department[J]. Pediatrics, 2013, 132(4): e841-e850. DOI:10.1542/peds.2012-3594
[26] Romaine ST, Sefton G, Lim E, et al. Performance of seven different paediatric early warning scores to predict critical care admission in febrile children presenting to the emergency department: a retrospective cohort study[J]. BMJ Open, 2021, 11(5): e044091. DOI:10.1136/bmjopen-2020-044091
[27] 樊寻梅, 宋国维. 小儿危重病例评分法(草案)临床应用的评价[J]. 中华儿科杂志, 1998, 36(10): 579-582. DOI:10.3760/j.issn:0578-1310.1998.10.001
[28] 罗秀状, 林梅, 李强. 小儿危重病例评分法在婴幼儿重症肺炎中的临床应用[J]. 中外健康文摘, 2011, 8(44): 432. DOI:10.3969/j.issn.1672-5085.2011.44.433
[29] 北京地区PICU脓毒症调查协作组. 北京地区两家医院儿科重症监护病房486例脓毒症分析[J]. 中华儿科杂志, 2012, 50(3): 178-183. DOI:10.3760/cma.j.issn.0578-1310.2012.03.005
[30] 钱素云, 刘娟. 脓毒症/严重脓毒症/脓毒性休克患儿血清白蛋白水平与预后关系的研究[J]. 中华儿科杂志, 2012, 50(3): 184-187. DOI:10.3760/cma.j.issn.0578-1310.2012.03.006
[31] 上海ICU脓毒症诊治情况调查协作组. 上海市四家儿童医院重症监护病房304例脓毒症诊治调查分析[J]. 中华儿科杂志, 2012, 50(3): 172-177. DOI:10.3760/cma.j.issn.0578-1310.2012.03.004
[32] 齐英征. 降钙素原与小儿危重病例评分对脓毒症患儿预后的影响[J]. 中国当代儿科杂志, 2014, 16(2): 190-193. DOI:10.7499/j.issn.1008-8830.2014.02.019
[33] 李娟珍, 王莹. PICU中儿童脓毒症临床特点和预后相关因素分析[J]. 临床儿科杂志, 2017, 35(10): 762-768. DOI:10.3969/j.issn.1000-3606.2017.10.012
[34] 周利兵, 陈娇, 杜晓晨, 等. 探讨3种评分系统对儿童严重脓毒症预后的评估价值[J]. 中国当代儿科杂志, 2019, 21(9): 898-903. DOI:10.7499/j.issn.1008-8830.2019.09.011
[35] 卢秀兰, 仇君, 祝益民, 等. 小儿危重病例评分在重症手足口病病情及预后评估中的作用[J]. 中国当代儿科杂志, 2015, 17(9): 961-964. DOI:10.7499/j.issn.1008-8830.2015.09.015
[36] Pollack MM, Ruttimann UE, Getson PR. Pediatric risk of mortality (PRISM) score[J]. Crit Care Med, 1988, 16(11): 1110-1116. DOI:10.1097/00003246-198811000-00006
[37] Pollack MM, Patel KM, Ruttimann UE. PRISM Ⅲ: an updated Pediatric Risk of Mortality score[J]. Crit Care Med, 1996, 24(5): 743-752. DOI:10.1097/00003246-199605000-00004
[38] Siddique AW, Basheer F, Subhan FA, et al. Mortality risk assessment in pediatric intensive care unit of a developing country using prism score[J]. Pak Arm For Med J, 2019, 69(3): 690-695.
[39] Choi KM, Ng DK, Wong SF, et al. Assessment of the Pediatric Index of Mortality (PIM) and the Pediatric Risk of Mortality (PRISM) Ⅲ Score for prediction of mortality in a paediatric intensive care unit in Hong Kong[J]. Hong Kong Med J, 2005, 11(2): 97-103.
[40] Varma A, Damke S, Meshram R, et al. Prediction of mortality by pediatric risk of mortality (PRISM Ⅲ) score in teriary care rural hospital in India[J]. Int J Contemp Pediatr, 2017, 4(2): 322. DOI:10.18203/2349-3291.ijcp20170003
[41] Brady AR, Harrison D, Black S, et al. Assessment and optimization of mortality prediction tools for admissions to pediatric intensive care in the United Kingdom[J]. Pediatrics, 2006, 117(4): e733-e742. DOI:10.1542/peds.2005-1853
[42] Nadel S, Goldstein B, Williams MD, et al. Drotrecogin Alfa (activated) in children with severe sepsis: a multicentre phase Ⅲ randomised controlled trial[J]. Lancet, 2007, 369(9564): 836-843. DOI:10.1016/S0140-6736(07)60411-5