2. 南京医科大学附属常州市第二人民医院骨科,常州 213000;
3. 南京医科大学附属常州市第二人民医院儿科,常州 213000
2. Department of Orthopedics, Changzhou No.2 People's Hospital, the Affiliated Hospital of Nanjing Medical University, Changzhou 213000, China;
3. Department of Pediatrics, Changzhou No.2 People's Hospital, the Affiliated Hospital of Nanjing Medical University, Changzhou 213000, China
重症中暑是机体在高温环境下出现体内核心温度超过40 ℃,伴中枢神经系统异常表现,进而出现弥散性血管内凝血、多器官功能障碍、甚至死亡[1-2]。我国中暑发病率随着全球平均气温逐渐升高而增加[3],尽管采取积极治疗,其病死率仍然非常高[2],因此早期对于重症中暑的预后预测尤其重要。重症中暑免疫功能障碍和全身炎症反应综合征被认为是重症中暑发展到多器官功能障碍的关键点[4]。有研究表明中性粒细胞/淋巴细胞比值(neutrophil-to-lymphocyte ratio, NLR)与自身免疫及全身炎症反应密切相关[5-6]。NLR升高提示全身严重的炎症反应状态和免疫抑制,对评估脓毒症、急性胰腺炎、重症肺炎等具有很好的效能[7-9]。但是该指标对于重症中暑预后的研究尚不足。因此,本研究旨在研究NLR在重症中暑预后的价值,探索提高重症中暑患者的预后方法。
1 资料与方法 1.1 一般资料采用回顾性分析研究,选择2013年6月至2019年9月在常州市第二人民医院ICU住院的重症中暑患者。
纳入标准:(1)符合我国《热射病规范化诊断与治疗专家共识》重症中暑诊断标准[10],即暴露于高温(高湿)环境和(或)剧烈运动一定时间后,新出现下列临床表现中的任意一条,且不能用其他原因解释①中枢神经系统损害表现(如昏迷、全身抽搐、谵妄、行为异常等,格拉斯哥昏迷评分≤14),②核心温度≥40 ℃,③多器官(≥2个)功能障碍表现(肝脏、肾脏、横纹肌、胃肠、循环、呼吸功能损伤等),④严重凝血功能障碍或弥散性血管内凝血; (2)均为暴露在户外且从事劳动患者(包括农民及户外工人),且年龄大于18周岁。排除标准:发病前存在肺炎、心房颤动、恶性肿瘤、免疫系统功能障碍(原发或获得性免疫缺陷)、严重心肺肝肾功能障碍的患者。
本研究为回顾性分析,符合免除知情同意书条件,且不涉及人体干预,通过常州市第二人医院伦理委员会审批,审批号为[2022]YLJSC014。
1.2 研究方法收集两组患者一般人口统计学资料、基础疾病、住院并发症、使用有创机械通气和血管活性药物情况、ICU住院时间、入院首次急性生理与慢性健康(acute physiology and chronic health evaluation, APACHE)Ⅱ评分。记录进入医院后24 h内的血常规、肝肾功能、心肌酶谱、肌钙蛋白、脑钠肽、凝血常规等血液学参数。根据既往对重症中暑预后的研究[11],同时考虑更长时间随访存在信息丢失,本研究选择根据患者30 d存活情况进行分组。
1.3 统计学方法采用R 4.1软件进行统计分析。正态连续性资料采用均数±标准差(x±s)表示,两组间采用独立样本t检验。非正态连续性资料采用中位数(四分位数)[M(Q1,Q3)]表示,组间采用非参数Mann-Whitney U检验。定性资料采用百分比表示,采用χ2检验或Fisher精确法。相关性分析采用Spearman相关性检验。COX风险因素分析先采用单因素分析,对差异有统计学意义的指标纳入多因素COX回归分析。对危险因素绘制含有时间变量的受试者工作特征曲线(receiver operating characteristic curve, ROC)评估预测价值,绘制临床决策曲线(decision curve analysis, DCA)评估指标的净获益率。采用Kaplan-Meier法进行生存曲线分析,以Log-rank法检验两组患者生存率差异性。以P < 0.05为差异有统计学意义。
2 结果 2.1 两组患者一般资料及临床血液参数资料本研究共纳入符合重症中暑患者115例,其中存活92例,死亡23例。两组患者的年龄、性别、高血压、糖尿病、慢性阻塞性肺病、冠心病、肺炎、房颤、单核细胞绝对值、血红蛋白、脑钠肽、尿素氮、纤维蛋白原、凝血酶时间差异无统计学意义(均P > 0.05)。死亡组有创机械通气使用率、血管活性药物使用率、白细胞数、中性粒细胞数(neutrophil, NEU)、NLR、中性粒细胞百分率、肌钙蛋白(Troponin I, TNI)、肌酐、谷草转氨酶、谷丙转氨酶、肌酸激酶、肌酸激酶同工酶、乳酸脱氢酶、凝血酶原时间、国际标准化比值、活化部分凝血活酶时间(activated partial thromboplastin time, APTT)、D-二聚体(D-Dimer, D-D)及APACHEⅡ评分等指标显著高于存活组(均P < 0.05),死亡组淋巴细胞数(lymphocyte, LYM)、血小板计数(blood platelet, PLT)和白蛋白低于存活组(P < 0.05)。两组患者的一般基线资料具有可比性。见表 1。
| 变量 | 生存组(n=92) | 死亡组(n=23) | Z/t/χ2值 | P值 |
| 男性a | 57(61.96) | 15(65.22) | 0.084 | 0.773 |
| 年龄(岁)b | 63.0(50.0, 76.8) | 60.0(46.0, 76.0) | -0.595 | 0.552 |
| 有创机械通气a | 23(25.00) | 21(91.30) | 34.240 | < 0.001 |
| 血管活性药物a | 25(27.17) | 18(78.26) | 20.510 | < 0.001 |
| 基础疾病a | ||||
| 高血压 | 22(23.91) | 5(21.94) | 0.048 | 0.826 |
| 糖尿病 | 9(9.78) | 2(8.70) | 1.000 | |
| 慢性阻塞性肺病 | 5(5.43) | 2(8.69) | 0.626 | |
| 冠心病 | 3(3.26) | 1(4.35) | 1.000 | |
| 入院后并发症a | ||||
| 肺炎 | 41(44.57) | 10(43.48) | 0.009 | 0.925 |
| 房颤 | 11(11.96) | 2(8.70) | 1.000 | |
| 抽搐 | 27(29.35) | 6(26.09) | 0.960 | 0.757 |
| ICU天数b | 8(6, 14) | 5(3, 9) | -2.417 | 0.015 |
| APACHEⅡ评分b | 17(12, 22) | 27(19, 34) | 3.884 | < 0.001 |
| 白细胞数(×109/L)b | 8.32(6.11, 12.89) | 12.38(8.02, 18.11) | 2.077 | 0.038 |
| NEU(×109/L)b | 6.42(4.03, 10.77) | 9.13(6.01, 15.63) | 2.437 | 0.015 |
| LYM(×109/L)b | 1.42(0.89, 2.27) | 0.99(0.42, 2.05) | -2.126 | 0.034 |
| NLR b | 4.74(2.46, 9.51) | 10.75(7.43, 22.96) | 3.720 | < 0.001 |
| 单核细胞(×109/L)b | 0.48(0.32, 0.86) | 0.57(0.34, 0.89) | 0.360 | 0.719 |
| 中性粒细胞百分率b | 76.9(63.2, 85.3) | 86.3(80.2, 88.6) | 2.986 | 0.003 |
| 血红蛋白(g/L)b | 130.5(118.8, 146.3) | 130.0(114.0, 150.0) | -0.378 | 0.706 |
| PLT(×109/L)b | 168.0(117.5, 210.1) | 91.0(34.0, 141.0) | -3.874 | < 0.001 |
| TNI(ng/mL)b | 0.08(0.19, 0.24) | 0.28(0.12, 1.15) | 4.025 | < 0.001 |
| 脑钠肽(pg/mL)b | 336.2(137.0, 1 255.5) | 912.6(152.0, 9 000.0) | 2.023 | 0.430 |
| 尿素氮(mmol/L)b | 6.9(5.2, 9.2) | 8.0(5.9, 9.6) | 1.087 | 0.277 |
| 肌酐(μmol/L)b | 107.2(84.2, 131.1) | 138.2(116.2, 186.0) | 3.674 | < 0.001 |
| 肌酸激酶(mmol/L)b | 377.4(156.7, 1 291.6) | 652.0(327.7, 2 521.9) | 2.342 | 0.019 |
| 肌酸激酶同工酶(mmol/L)b | 16.7(9.4, 31.1) | 40.6(12.0, 105.0) | 2.528 | 0.011 |
| 谷草转氨酶(U/L)b | 57.9(37.2, 97.9) | 182.1(73.8, 592.0) | 4.622 | < 0.001 |
| 乳酸脱氢酶(U/L)b | 296.3(246.3, 404.5) | 626.7(327.3, 1 049.0) | 4.062 | < 0.001 |
| 谷丙转氨酶(U/L)b | 36.3(23.5, 68.5) | 100.1(41.6, 491.0) | 3.601 | < 0.001 |
| 凝血酶原时间(s)b | 13.1(11.9, 14.3) | 14.1(12.9, 16.0) | 2.076 | 0.038 |
| 国际标准化比值b | 1.12(1.03, 1.26) | 1.22(1.10, 1.40) | 2.322 | 0.020 |
| APTT(s)b | 27.0(24.3, 30.4) | 30.6(27.9, 38.0) | 3.177 | 0.001 |
| D-D(mg/L)b | 1.22(0.65, 3.60) | 6.94(1.82, 21.79) | 3.965 | < 0.001 |
| 纤维蛋白原(g/L)b | 2.31(1.93, 3.12) | 2.36(1.84, 3.14) | 0.086 | 0.932 |
| 凝血酶时间(s)b | 19.9(18.3, 21.1) | 20.0(17.2, 22.3) | 0.371 | 0.711 |
| 白蛋白(g/L)c | 37.14±5.68 | 32.10±6.87 | 3.648 | 0.003 |
| 注:APACHEⅡ评分为急性生理与慢性健康Ⅱ评分,NEU为中性粒细胞数,LYM为淋巴细胞数,NLR为中性粒细胞/淋巴细胞比值,PLT为血小板计数,TNI为肌钙蛋白,APTT为活化部分凝血活酶时间,D-D为D-二聚体; a为例数(百分比),b为M(Q1,Q3),c为x±s | ||||
多因素COX回归分析调整性别、年龄、高血压、糖尿病、慢性阻塞性肺部、冠心病混杂因素,结果显示NLR、APACHEⅡ、TNI、APTT、D-D为重症中暑死亡危险因素,PLT和LYM为重症中暑死亡保护因素,见图 1。
|
| APACHEⅡ评分为急性生理与慢性健康Ⅱ评分,D-D为D-二聚体,APTT为活化部分凝血活酶时间,TNI为肌钙蛋白,PLT为血小板计数,NLR为中性粒细胞/淋巴细胞比值,LYM为淋巴细胞数 图 1 重症中暑死亡风险因素的单因素和多因素COX回归分析 Fig 1 Univariate and multivariate COX regression analysis of risk factors for death with severe heat stroke |
|
|
对NLR与APACHEⅡ评分的相关性采用Spearman相关性检验,发现两者之间存在显著相关性关系(r=0.655,P < 0.001)。见图 2。
|
| APACHEⅡ评分为急性生理与慢性健康Ⅱ评分,NLR为中性粒细胞/淋巴细胞比值 图 2 APACHEⅡ评分与NLR线性相关图 Fig 2 Linear correlation between APACHEⅡ score and NLR |
|
|
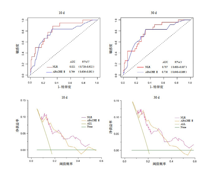
因为本研究数据显示死亡患者有82.61%死于住院10 d内,所以本团队分析对比NLR和APACHEⅡ评分对重症中暑早期死亡(10 d)和晚期死亡(30 d)的预测效能。结果显示在第10天和第30天的死亡预测中,NLR的预测效能均优于APACHEⅡ。第10天的DCA分析显示当阈值概率超过0.25时,NLR的临床净获益率大于APACHEⅡ评分。第30天阈值概率超过0.35时,NLR临床净获益率大于APACHEⅡ评分。总体而言,NLR的临床净获益大于APACHEⅡ评分。NLR的AUC为0.787,敏感度82.6%,特异度67.4%,截断值7.35。见表 2、图 3。
| 变量 | AUC | 95%CI | P值 | 敏感度 | 特异度 | 截断值 |
| NLR | 0.787 | 0.688~0.887 | < 0.001 | 0.826 | 0.674 | 7.35 |
| PLT | 0.762 | 0.641~0.883 | < 0.001 | 0.609 | 0.848 | 99.70 |
| TNI | 0.715 | 0.671~0.868 | < 0.001 | 0.870 | 0.600 | 0.11 |
| APTT | 0.715 | 0.598~0.868 | 0.001 | 0.696 | 0.711 | 28.65 |
| D-D | 0.769 | 0.658~0.879 | < 0.001 | 0.870 | 0.574 | 1.47 |
| APACHEⅡ | 0.756 | 0.640~0.869 | < 0.001 | 0.826 | 0.643 | 18.50 |
| 注:NLR为中性粒细胞/淋巴细胞比值,PLT为血小板计数,TNI为肌钙蛋白,APTT为活化部分凝血活酶时间,D-D为D-二聚体,APACHEⅡ评分为急性生理与慢性健康Ⅱ评分 | ||||||
|
| NLR为中性粒细胞/淋巴细胞比值,APACHEⅡ评分为急性生理与慢性健康Ⅱ评分 图 3 NLR和APACHEⅡ评分的ROC曲线和DCA Fig 3 ROC and DCA curve of NLR and APACHEⅡ score at different time |
|
|
ROC曲线分析显示NLR对重症中暑预后具有很好的预测价值,NLR在第10天和第30天的ROC曲线截断值均为7.35,APACHEⅡ在第10天和第30天的ROC曲线截断值均为18.5。根据NLR的ROC曲线截断值分组,高于截断值定义为高风险组,低于截断值定义为低风险组。Kaplan-Meier生存分析曲线分析两组患者30 d生存率,结果显示,低风险组患者30 d存活率明显超过高风险组患者,差异具有统计学意义(P < 0.05)(图 4)。同时对比两组患者的临床血液参数,结果显示高风险组患者中与器官功能障碍相关的血液参数均明显高于低风险组患者,说明高风险组患者器官功能障碍比低风险组严重(表 3)。
|
| NLR为中性粒细胞/淋巴细胞比值,APACHEⅡ评分为急性生理与慢性健康Ⅱ评分 图 4 以NLR临界值和APACHEⅡ临界值分组的重症中暑患者30 d Kaplan-Meier生存曲线 Fig 4 30-day survival curves of patients with severe heat stroke grouped by NLR and APACHEⅡ score cut-off value |
|
|
| 变量 | 低风险组(n=66) | 高风险组(n=49) | Z/χ2值 | P值 |
| 男性a | 44(66.67) | 28(57.14) | 1.090 | 0.297 |
| 年龄(岁)b | 63.0(52.0, 76.0) | 62.0(48.0, 77.0) | -0.164 | 0.870 |
| 高血压a | 17(25.76) | 10(20.41) | 0.448 | 0.503 |
| 糖尿病a | 5(7.57) | 6(12.24) | 0.525 | |
| 肺炎a | 31(46.97) | 20(40.82) | 0.431 | 0.511 |
| 房颤a | 6(9.09) | 7(14.29) | 0.757 | 0.384 |
| 慢性阻塞性肺病a | 3(4.54) | 4(8.16) | 0.457 | |
| 冠心病a | 2(3.03) | 2(4.08) | 1.000 | |
| 抽搐a | 19(28.79) | 14(28.57) | 0.001 | 0.980 |
| TNI(ng/mL)b | 0.06(0.02, 0.28) | 0.19(0.08, 0.64) | 3.014 | 0.003 |
| 肌酐(μmol/L)b | 108.3(85.6, 131.7) | 122.7(96.2, 177.1) | 2.316 | 0.021 |
| 肌酸激酶(mmol/L)b | 302.6(132.0, 880.7) | 652.0(298.3, 1878.6) | 3.391 | 0.001 |
| 肌酸激酶同工酶(mmol/L)b | 15.6(8.8, 27.2) | 32.1(13.9, 52.7) | 3.331 | 0.001 |
| 谷草转氨酶(U/L)b | 49.3(37.1, 93.4) | 88.8(55.8, 196.1) | 3.229 | 0.001 |
| 乳酸脱氢酶(U/L)b | 295.7(239.3, 404.5) | 358.6(293.9, 745.8) | 2.947 | 0.003 |
| 谷丙转氨酶(U/L)b | 31.5(22.9, 57.3) | 53.0(35.3, 169.8) | 2.893 | 0.004 |
| 凝血酶原时间(s)b | 12.7(11.8, 13.9) | 14.1(12.8, 16.2) | 3.536 | < 0.001 |
| 国际标准比值b | 1.10(1.02, 1.21) | 1.20(1.11, 1.40) | 3.473 | 0.001 |
| APTT(s)b | 25.7(23.9, 28.6) | 30.6(27.0, 35.3) | 3.976 | < 0.001 |
| D-D(mg/L)b | 1.20(0.69, 3.51) | 3.41(1.16, 8.20) | 2.868 | 0.004 |
| 白蛋白b | 37.45(34.10, 41.23) | 34.90(30.15, 38.60) | -2.664 | 0.008 |
| 注:TNI为肌钙蛋白,APTT为活化部分凝血活酶时间,D-D为D-二聚体; a为例数(%),b为M(Q1,Q3) | ||||
本研究观测到重症中暑死亡组的患者中NLR明显高于存活组,调整混杂因素后的多因素COX回归分析显示NLR是患者死亡独立危险因素,ROC曲线分析显示NLR对死亡预测价值最大,Kaplan-Meier生存分析显示高NLR的患者30 d累积生存率明显更低。
重症中暑常伴有多器官功能障碍,既往有重症中暑流行病学研究表明,重症中暑一旦合并器官功能损害,其病死率将明显增加[12]。目前对重症中暑高致死率的具体机制尚不清楚,可能是由于多种因素作用所致。本研究以NLR临界值分组后发现高风险组患者中病死率明显更高,其反映肝肾功能及心肌损伤的血液指标明显更差,这说明高NLR患者比低NLR患者更容易并发肝肾功能及心肌损伤等脏器功能障碍。NLR反映机体全身炎症反应及免疫平衡,高NLR表明高炎症反应及免疫抑制状态,这容易导致器官功能损伤。既往也有研究证实了NLR升高与肝肾功能障碍的关系[13-14],这与本研究结果保持一致。
目前研究认为全身严重反应综合征是重症中暑继发于热应激损伤之后发展到多器官功能障碍的关键点[2],而全身反应炎症与全身免疫状态密切相关。Bouchama等[15]发现重症中暑患者外周血NEU、自然杀伤细胞和单核细胞数量增加。当机体遭到病原微生物入侵或非炎症性损伤应激时,CD11b/CD18水平会因趋化因子刺激而上调,从而导致NEU迁移[16],这可能是高热下NEU功能增强的机制之一。在一项慢性高热持续刺激猪的模型中发现,脾脏与小肠CD3+T LYM的数量显著增加,CD4+T LYM与CD4+/CD8+T LYM比例也相应上升[17]。这些证据表明LYM变化与重症中暑密切相关。本研究发现,重症中暑死亡患者NEU高于存活组,而LYM低于存活组。这说明NEU和LYM变化与重症中暑预后密切相关。
NLR与机体免疫功能及全身炎症反应密切相关。当疾病恶化以及免疫抑制时,LYM明显下降,故与单一的NEU或LYM相比,NLR更能反映全身炎症状态[18]。NLR可对多种疾病预后进行有效预测,但关于NLR与重症中暑临床预后之间关系的研究不多。本研究多因素COX回归分析显示,重症中暑患者入院24 h内NLR增高是重症中暑死亡的独立危险因素(HR=1.091),而Kaplan-Meier生存分析曲线显示高NLR患者病死率明显高于低NLR患者,这也说明NLR增高导致病死率也增加。NEU增多提示机体全身炎症反应状态,而LYM减少提示机体免疫低下,而重症中暑快速进展恶化过程中,高NLR则说明机体全身炎症反应及免疫功能严重紊乱,提示预后不良。
APACHEⅡ评分系统自Knaus教授[19]设计以来被广泛应用于ICU患者的危重症评分以评估患者病情严重程度。APACHEⅡ评分系统能准确反映ICU患者病情严重程度,同样也被用来评价重症中暑的严重程度,并能获得良好的检验效能,既往研究表现重症中暑死亡患者APACHEⅡ评分显著高于存活患者[20]。本研究发现重症中暑死亡患者APACHEⅡ评分中位数明显高于存活患者,这反映出死亡患者病情比存活患者明显严重。本研究发现NLR和APACHEⅡ评分具有相关性,并且提示高NLR患者的肝肾功能及心肌损伤更明显,这些结果说明NLR同样能有效反映重症中暑患者的器官功能障碍和病情严重程度。单纯用APACHEⅡ评分预测重症中暑预后可能会出现偏差,因为重症中暑往往伴有严重的凝血功能异常及横纹肌溶解,而APACHEⅡ评分并不包括这些因素[21]。本研究发现APACHEⅡ评分预测重症中暑死预后并非为最优指标,APACHEⅡ评分的AUC低于NLR的AUC,说明NLR对重症中暑的预后预测优于APACHEⅡ评分。
综上所述,NLR是一种低成本、快速简便、容易获得的临床指标,在基层医院也容易开展检测。NLR对重症中暑患者死亡风险具有良好的预测价值。本研究为单中心回顾性研究,样本量偏少,可能存在偏倚影响NLR对重症中暑患者预测效能的准确性,期待未来多中心前瞻性的大样本研究重症中暑NLR动态变化来检验其预测效能。
利益冲突 所有作者声明无利益冲突
作者贡献声明 刘福菁:文章的构思与设计、撰写论文; 顾体军、周鑫叠:研究的实施与可行性分析、数据收集、统计学分析; 魏冬月:结果的分析与解释、论文的修订、负责文章的质量控制及审校、对文章整体监督管理
| [1] | Leon LR, Bouchama A. Heat stroke[J]. Compr Physiol, 2015, 5(2): 611-647. DOI:10.1002/cphy.c140017 |
| [2] | Hifumi T, Kondo Y, Shimizu K, et al. Heat stroke[J]. J Intensive Care, 2018, 6: 30. DOI:10.1186/s40560-018-0298-4 |
| [3] | Yang J, Zhou MG, Li MM, et al. Vulnerability to the impact of temperature variability on mortality in 31 major Chinese cities[J]. Environ Pollut, 2018, 239: 631-637. DOI:10.1016/j.envpol.2018.04.090 |
| [4] | 洪欣欣, 刘喆滢, 高经华, 等. 重症中暑免疫功能障碍的研究进展[J]. 中华急诊医学杂志, 2021, 30(1): 123-127. DOI:10.3760/cma.j.issn.1671-0282.2021.01.026 |
| [5] | Erek Toprak A, Ozlu E, Uzuncakmak TK, et al. Neutrophil/lymphocyte ratio, serum endocan, and nesfatin-1 levels in patients with psoriasis Vulgaris undergoing phototherapy treatment[J]. Med Sci Monit, 2016, 22: 1232-1237. DOI:10.12659/msm.898240 |
| [6] | Kartal O, Kartal AT. Value of neutrophil to lymphocyte and platelet to lymphocyte ratios in pneumonia[J]. Bratislava Med J, 2017, 118(9): 513-516. DOI:10.4149/bll_2017_099 |
| [7] | Kaushik R, Gupta M, Sharma M, et al. Diagnostic and prognostic role of neutrophil-to-lymphocyte ratio in early and late phase of sepsis[J]. Indian J Crit Care Med, 2018, 22(9): 660-663. DOI:10.4103/ijccm.IJCCM_59_18 |
| [8] | Jeon TJ, Park JY. Clinical significance of the neutrophil-lymphocyte ratio as an early predictive marker for adverse outcomes in patients with acute pancreatitis[J]. World J Gastroenterol, 2017, 23(21): 3883-3889. DOI:10.3748/wjg.v23.i21.3883 |
| [9] | Berhane M, Melku M, Amsalu A, et al. The role of neutrophil to lymphocyte count ratio in the differential diagnosis of pulmonary tuberculosis and bacterial community-acquired pneumonia: a cross-sectional study at ayder and mekelle hospitals, Ethiopia[J]. Clin Lab, 2019, 65(4): 10. DOI:10.7754/Clin.Lab.2018.180833 |
| [10] | Liu SY, Song JC, Mao HD, et al. Expert consensus on the diagnosis and treatment of heat stroke in China[J]. Mil Med Res, 2020, 7(1): 1. DOI:10.1186/s40779-019-0229-2 |
| [11] | Li C, Su HB, Li H, et al. Severe acute liver injury in patients with exertional heat stroke associated with poor short-term prognosis[J]. World J Emerg Med, 2022, 13(2): 124-129. DOI:10.5847/wjem.j.1920-8642.2022.047 |
| [12] | Kondo Y, Hifumi T, Shimazaki J, et al. Comparison between the bouchama and Japanese association for acute medicine heatstroke criteria with regard to the diagnosis and prediction of mortality of heatstroke patients: a multicenter observational study[J]. Int J Environ Res Public Health, 2019, 16(18): 3433. DOI:10.3390/ijerph16183433 |
| [13] | 魏茂碧, 张治琴, 卜希, 等. 中性粒细胞与淋巴细胞和血小板比值与老年脓毒症急性肾损伤的临床研究[J]. 中华急诊医学杂志, 2021, 30(6): 715-722. DOI:10.3760/cma.j.issn.1671-0282.2021.06.014 |
| [14] | 高飞, 高嵩, 惠姣洁, 等. 中性粒细胞与淋巴细胞比值和中性粒细胞胞外诱捕网与脓毒症肝损伤的临床研究[J]. 中华急诊医学杂志, 2021, 30(12): 1484-1488. DOI:10.3760/cma.j.issn.1671-0282.2021.12.013 |
| [15] | Bouchama A, al Hussein K, Adra C, et al. Distribution of peripheral blood leukocytes in acute heatstroke[J]. J Appl Physiol (1985), 1992, 73(2): 405-409. DOI:10.1152/jappl.1992.73.2.405 |
| [16] | Yan SR, Sapru K, Issekutz AC. The CD11/CD18 (beta2) integrins modulate neutrophil caspase activation and survival following TNF-alpha or endotoxin induced transendothelial migration[J]. Immunol Cell Biol, 2004, 82(4): 435-446. DOI:10.1111/j.0818-9641.2004.01268.x |
| [17] | Huo CY, Xiao C, She RP, et al. Chronic heat stress negatively affects the immune functions of both spleens and intestinal mucosal system in pigs through the inhibition of apoptosis[J]. Microb Pathog, 2019, 136: 103672. DOI:10.1016/j.micpath.2019.103672 |
| [18] | Buonacera A, Stancanelli B, Colaci M, et al. Neutrophil to lymphocyte ratio: an emerging marker of the relationships between the immune system and diseases[J]. Int J Mol Sci, 2022, 23(7): 3636. DOI:10.3390/ijms23073636 |
| [19] | Knaus WA, Draper EA, Wagner DP, et al. APACHE Ⅱ: a severity of disease classification system[J]. Crit Care Med, 1985, 13(10): 818-829. |
| [20] | Otani H, Goto T, Goto H, et al. Solar radiation exposure has diurnal effects on thermoregulatory responses during high-intensity exercise in the heat outdoors[J]. J Strength Cond Res, 2019, 33(10): 2608-2615. DOI:10.1519/JSC.0000000000003260 |
| [21] | Yang MM, Wang L, Zhang Y, et al. Establishment and effectiveness evaluation of a scoring system for exertional heat stroke by retrospective analysis[J]. Mil Med Res, 2020, 7(1): 40. DOI:10.1186/s40779-020-00269-1 |
2023, Vol. 32



