中华急诊医学杂志  2023, Vol. 32 Issue (1): 38-45   DOI: 10.3760/cma.j.issn.1671-0282.2023.01.007
预测重症患者院内心脏骤停列线图的建立与验证
梁立丰 , 张文娟     
天津医科大学总医院心内科,天津 300072
摘要: 目的 探讨院内心脏骤停(in-hospital cardiac arrest, IHCA)的影响因素,建立列线图预测模型。方法 回顾性收集2008—2019年美国重症监护医学信息数据库-Ⅳ中进入重症监护室(intensive care unit, ICU)治疗的患者作为研究对象,排除未成年、重复入院及ICU停留小于24 h的患者,随机将人群分为训练集和内部验证集(7∶3)。采用单因素和多因素Logistic回归分析IHCA的影响因素并建立列线图模型,通过校正曲线、受试者工作曲线(receiver operating characteristic curve, ROC)以及决策曲线分析(decision curve analysis, DCA)对模型进行评价。选择急诊重症监护室合作研究数据库的重症人群数据对模型进行外部验证。结果 本研究共纳入41 951例重症患者,随机分为训练集(n=29 366)和内部验证集(n=12 585)。多因素分析发现心肌梗死、肺源性心脏病、心源性休克、呼吸衰竭、急性肾损伤、呼吸频率、葡萄糖、红细胞压积、钠、阴离子间隙、血管活性药物和有创机械通气是IHCA的独立影响因素,结合以上变量构建列线图。在训练集中,列线图ROC的曲线下面积(area under the curve, AUC)为0.817(95%CI:0.785~0.847),校正曲线显示其预测概率和实际概率具有一致性,DCA显示其具有良好的临床净获益。在内部验证集中,列线图对IHCA具有相似的预测价值(AUC=0.807,95%CI: 0.760~0.862)。在外部验证集(n=87 626)中,列线图预测IHCA的能力同样稳健(AUC=0.804,95%CI: 0.786~0.822)。此外,列线图对院内死亡同样具有预测价值(AUC=0.818,95%CI: 0.802~0.834)。结论 本研究基于IHCA的危险因素建立的列线图模型具有良好的预测能力,并且在外部验证中预测效能稳健,有助于临床医师评估院内危重症患者发生心脏骤停的风险。
关键词: 院内心脏骤停    重症监护室    危重症    列线图    临床预测模型    
Development and validation of a nomogram to predict in-hospital cardiac arrest in critically ill patients
Liang Lifeng , Zhang Wenjuan     
Department of Cardiology, Tianjin Medical University General Hospital, Tianjin 300072, China
Abstract: Objective To explore the independent risk factors of in-hospital cardiac arrest (IHCA) in critically ill patients and construct a nomogram model to predict the risk of IHCA based on the identified risk factors. Methods Patients who were admitted to the intensive care units (ICUs) from 2008 to 2019 were retrospectively enrolled from the Medical Information Mart for Intensive Care -Ⅳ database. The patients were excluded if they (1) were younger than 18 years old, (2) had repeated ICU admission records, or (3) had an ICU stay shorter than 24 h. The patients were randomly divided into the training and internal validation cohorts (7 : 3). Univariate and multivariate logistic regression models were used to identify independent risk factors of IHCA, and a nomogram was constructed based on these independent risk factors. Calibration curve, receiver operating characteristic (ROC) curve, and decision curve analysis (DCA) were used to evaluate the nomogram model. Finally, the nomogram was externally validated using the emergency ICU collaborative research database. Results A total of 41, 951 critically ill patients were enrolled (training cohort, n=29 366; internal validation cohort, n=12 585). Multivariate analysis showed that myocardial infarction, pulmonary heart disease, cardiogenic shock, respiratory failure, acute kidney injury, respiratory rate, glucose, hematocrit, sodium, anion gap, vasoactive drug use, and invasive mechanical ventilation were independent risk factors of IHCA. Based on the above risk factors, a nomogram for predicting IHCA was constructed. The area under the ROC curve (AUC) of the nomogram was 0.817 (95%CI: 0.785–0.847). The calibration curve showed that the predicted and actual probabilities of the nomogram were consistent. Moreover, DCA showed that the nomogram had clinical benefits for predicting IHCA. In the internal validation cohort, the nomogram had a similar predictive value of IHCA (AUC=0.807, 95%CI: 0.760–0.862). In an external validation cohort of 87, 626 critically ill patients, the nomogram had stable ability for predicting IHCA (AUC=0.804, 95%CI: 0.786–0.822). In addition, the nomogram also had predictive value for in-hospital mortality (AUC=0.818, 95%CI: 0.802-0.834). Conclusions The nomogram is constructed based on identified independent risk factors, which has good predictive value for IHCA. Moreover, the performance of the nomogram in the external validation cohort is robust. The study findings may help clinicians to assess the risk of IHCA in critically ill patients.
Key words: In-hospital cardiac arrest    Intensive care unit    Critically illness    Nomogram    Clinical predictive model    

院内心脏骤停(in-hospital cardiac arrest, IHCA)是影响住院患者预后的急性临床事件,IHCA的出院存活率仅20%,1年存活率仅13%[1-2]。美国心脏协会复苏指南显示,2003—2007年每年可发生21.1万例IHCA,每1 000名住院患者中有6人发生心脏骤停(cardiac arrest, CA)[3-4]。2008—2017年间IHCA的发生率持续增加,约30万例/年[5]。而中国IHCA的发生率也达17.5/1 000例住院患者[6]。然而,在1988—2018年间23项CA的临床随机试验中,纳入IHCA的样本量明显低于院外CA[7],因此IHCA可能处于相对被忽视的状态。

重症监护室(intensive care unit, ICU)中患者发生CA的负担更重,在445家医院的85 201例IHCA事件中,约60%发生于ICU[8]。IHCA发生前常出现病情变化,在院内具备预防CA的条件[9]。因此,探索IHCA的预测模型具有重要的临床意义。然而,目前针对ICU中危重症患者的预测模型较少。本研究基于医学信息市场重症监护数据库-Ⅳ(Medical Information Mart for Intensive Care-Ⅳ database, MIMIC-Ⅳ)探索ICU中重症患者发生IHCA的临床预测模型,旨在帮助临床医师识别危重症患者发生CA的风险。

1 资料与方法 1.1 研究资料

本研究回顾性收集MIMIC-Ⅳ数据库中进入ICU治疗患者的资料,并建立IHCA的预测模型。MIMIC-Ⅳ数据库包含了2008—2019年麻省理工贝斯以色列女执事医学中心超过4万名重症患者的医疗数据[10-11]。急诊重症监护室合作研究数据库(eICU Collaborative Research Database,eICU-CRD)涵盖了2014年和2015年美国多中心eICU中重症患者的临床数据,收集eICU-CRD数据库中的患者作为预测模型的外部验证队列。数据库的访问得到了麻省理工学院和贝斯以色列女执事医疗中心审查委员会的批准,本文作者通过了“保护人类研究受试者”的考试,并获取访问权限(证书编号:43449634)。

1.2 一般资料

本研究将2008—2019年贝斯以色列女执事医学中心中所有进入ICU治疗的患者作为研究对象。排除标准:(1)年龄 < 18岁;(2)重复入院治疗;(3)进入ICU的时间小于24 h。外部验证队列的建立采取相同的筛选标准,但将缺少列线图中变量的患者排除,最终将eICU-CRD数据库中所有第一次进入ICU治疗且停留时间大于24 h的成人患者作为外部验证集。本研究符合1964年《赫尔辛基宣言》以及后来修正案的伦理标准。

1.3 数据提取

自MIMIC-Ⅳ数据库中提取患者的年龄、性别、种族、医疗保险、ICU类型、年龄校正的查尔森共病指数(age adjusted charlson comorbidity index, aCCI)及合并症、进入ICU后24 h内的首次生命体征和实验室检查、ICU住院期间的治疗信息(肾脏替代治疗、有创机械通气、血管活性药物)以及重症评分[序贯器官衰竭评分(sequential organ failure assessment, SOFA)、简化急性生理评分Ⅱ(simplified acute physiology score Ⅱ, SAPSⅡ)、急性生理学和慢性健康状况评分Ⅲ(acute physiology and chronic health evaluation Ⅲ, APACHEⅢ)、牛津急性疾病严重程度评分(Oxford acute severity of illness score, OASIS)]。

结局指标为CA和院内死亡。IHCA的诊断主要根据国际疾病分类代码在出院诊断中提取[12]。使用Navicat的PostgreSQL工具完成数据提取,并使用STATA(15.0, TX, USA)软件对数据进行整合。

1.4 统计学方法

统计分析应用R语言(3.6.1, TX, USA)。计量资料采用Kolmogorov-Smirnov法进行正态性检验,以均数±标准差(x±s)或中位数(四分位数)[MQ1Q3)]表示,采用t检验或Mann-Whitney秩和检验进行组间比较。计数资料以频数(百分比)表示,并以Pearson卡方检验进行组间比较。使用随机数字法将纳入的患者按7︰3的比例随机分为训练集和内部验证集。在训练集中,通过单因素Logistic回归分析IHCA的相关变量,将P < 0.05的变量纳入多因素Logistic回归模型中,通过逐步向后法筛选IHCA的独立影响因素。基于多因素分析的结果构建列线图预测模型,应用Hmisc程序包计算C-指数以评估该模型对IHCA的区别能力。通过1 000次重采样的Bootstrap法绘制校正曲线反映实际概率与预测概率的一致性。绘制受试者工作特征(receiver operator characteristic, ROC)曲线,计算曲线下面积(area under the curve, AUC)评估列线图的预测能力。构建决策曲线分析(decision curve analysis, DCA),量化不同阈值概率下的临床净获益。最后,通过eICU-CRD数据库的外部队列验证模型预测能力的稳定性。MIMIC-Ⅳ数据库存在数据缺失的现象,乳酸、白蛋白、谷丙转氨酶、谷草转氨酶的缺失比例大于20%,故在研究中排除。纳入变量的缺失比例均小于11%,通过多重插补法对缺失数据进行补充。以P < 0.05的差异具有统计学意义。

2 结果 2.1 临床基线资料

本研究基于MIMIC-Ⅳ数据库共纳入41 951例第一次进入ICU治疗的重症患者,随机分为训练集(n=29 366)和内部验证集(n=12 585),研究对象的筛选流程见图 1

图 1 患者筛选的流程图 Fig 1 Flow chart of the patient selection

纳入患者的年龄为(65.45±16.82)岁,其中女性占43.27%,以白人为主(67.22%),医疗保险是主要的支付方式。患者分别分布在心脏ICU、内科/外科ICU、神经ICU和创伤ICU。纳入人群aCCI为5(4,7)分,5.10%的患者接受肾脏替代治疗,40.63%的患者接受有创机械通气,38.02%的患者应用血管活性药物。纳入人群的SOFA评分为4(2,7)分,SAPSⅡ评分为34(26,43)分,APACHEⅢ评分为41(30,57)分,OASIS评分为31(25,38)分,两组患者疾病的严重程度差异无统计学意义(P > 0.05),基线特征见表 1

表 1 MIMIC-Ⅳ数据库训练集和内部验证集的临床基线特征 Table 1 The baseline characteristics between the training and internal validation cohorts of MICIC-Ⅳ database
变量 总体(n=41 951) 训练集(n=29 366) 内部验证集(n=12 585) 统计量 P
年龄(岁)a 65.45±16.82 65.46±16.75 65.42±16.99 0.205 0.418
性别(女性)b 18 151(43.27) 12 616(42.96) 5 535(43.98) 3.732 0.053
种族(白人)b 28 201(67.22) 19 751(67.26) 8 450(67.14) 3.262 0.515
使用医疗保险b 18 262(43.53) 12 710(43.28) 5 552(44.12) 7.277 0.026
生命体征a
  体重(kg) 81.56±22.81 81.55±22.74 81.61±22.96 -0.251 0.401
  心率(次/min) 84.77±15.65 84.70±15.63 84.91±15.70 -1.252 0.105
  收缩压(次/min) 118.54±15.89 118.52±15.87 118.58±15.95 -0.326 0.372
  舒张压(次/min) 63.29±11.05 63.29±11.02 63.31±11.10 -0.187 0.427
  平均动脉压(次/min) 78.67±10.81 78.68±10.77 78.64±10.90 0.389 0.348
  呼吸频率(次/min) 19.09±3.73 19.07±3.72 19.13±3.74 -1.492 0.067
  葡萄糖(mg/dL) 139.12±43.86 139.02±43.62 139.35±44.41 -0.702 0.240
实验室检查
  白细胞(×109/L) a 12.20±6.32 12.16±6.24 12.29±6.50 -1.873 0.029
  血小板(×109/L) a 207.48±100.55 207.48±100.67 207.47±100.27 0.013 0.495
  血红蛋白(mg/dL) a 10.93±2.07 10.93±2.07 10.93±2.08 0.261 0.397
  红细胞分布宽度(%)a 14.80±2.22 14.80±2.21 14.82±2.24 -1.140 0.126
  红细胞比容(%)a 32.98±6.00 32.99±5.99 32.98±6.05 0.088 0.465
  阴离子间隙(mmol/L) a 14.45±3.72 14.42±3.70 14.52±3.76 -2.615 0.004
  碳酸氢根(mmol/L) a 23.15±4.09 23.17±4.06 23.10±4.16 1.534 0.061
  尿素氮(mg/dL)c 18.00(13.00, 28.00) 18.00(13.00, 28.00) 18.00(13.00, 28.50) -0.801 0.423
  肌酐(mg/dL)c 0.95(0.70, 1.35) 0.95(0.70, 1.35) 0.95(0.75, 1.35) -1.022 0.307
  钠(mmol/L) a 138.28±4.45 138.27±4.44 138.30±4.47 -0.662 0.254
  钾(mmol/L) a 4.23±0.59 4.23±0.59 4.23±0.58 -0.435 0.668
  钙(mmol/L) a 8.38±0.71 8.37±0.71 8.38±0.72 -1.402 0.079
  氯(mmol/L) a 104.09±5.82 104.09±5.83 104.09±5.80 -0.008 0.497
  国际标准化比值b 1.25(1.10, 1.42) 1.25(1.10, 1.42) 1.25(1.10, 1.42) 0.751 0.453
治疗b
  肾脏替代治疗 2 140(5.10) 1 485(5.06) 655(5.20) 0.397 0.529
  有创机械通气 17 044(40.63) 11 986(40.82) 5 058(40.19) 1.428 0.232
  血管活性药 15 948(38.02) 11 199(38.14) 4 749(37.74) 0.600 0.439
评分系统c
  aCCI 5(4, 7) 5(4, 7) 5(4, 7) -0.894 0.580
  SOFA 4(2, 7) 4(2, 7) 4(2, 7) -0.725 0.469
  SAPSⅡ 34(26, 43) 34(26, 43) 34(26, 43) -0.857 0.332
  APACHEⅢ 41(30, 57) 41(30, 57) 42(30, 58) -2.088 0.875
  OASIS 31(25, 38) 31(25, 37) 31(25, 38) -0.313 0.683
注:aCCI为年龄调整的查尔森共病指数,SOFA为序贯器官衰竭评分,SAPSⅡ为简化急性生理评分Ⅱ,APACHEⅢ为急性生理学和慢性健康状况评分Ⅲ,OASIS为牛津急性疾病严重程度评分;ax±sb为例(%),cMQ1Q3
2.2 单因素和多因素Logistic回归分析

多因素分析的结果表明心肌梗死、肺源性心脏病、心源性休克、呼吸衰竭、急性肾损伤、呼吸频率、葡萄糖、红细胞压积、钠、阴离子间隙、应用血管活性药物和有创机械通气是IHCA的独立影响因素(均P < 0.01)。见表 2

表 2 训练集的单因素和多因素Logistic回归分析 Table 2 Univariate and multivariate Logistic regression model in the training cohort
变量 单因素分析 多因素分析
OR (95%CI) P OR (95%CI) P
心肌梗死 2.15(1.89~2.44) < 0.001 1.67(1.41~1.98) < 0.001
肺源性心脏病 1.64(1.39~1.94) < 0.001 1.40(1.13~1.73) < 0.001
心源性休克 5.70(4.79~6.77) < 0.001 1.46(1.14~1.86) 0.002
呼吸衰竭 4.45(3.94~5.02) < 0.001 1.85(1.56~2.18) < 0.001
急性肾损伤 4.29(3.57~5.14) < 0.001 1.71(1.35~2.16) < 0.001
呼吸频率 1.11(1.10~1.13) < 0.001 1.03(1.02~1.05) < 0.001
葡萄糖 1.01(1.00~1.01) < 0.001 1.01(1.00~1.01) < 0.001
红细胞压积 1.04(1.03~1.05) < 0.001 1.05(1.03~1.06) < 0.001
1.03(1.02~1.04) < 0.001 1.02(1.01~1.04) < 0.001
阴离子间隙 1.14(1.12~1.15) < 0.001 1.07(1.06~1.09) < 0.001
血管活性药物 4.29(3.76~4.88) < 0.001 1.85(1.54~2.22) < 0.001
有创机械通气 5.61(4.86~6.47) < 0.001 2.72(2.21~3.34) < 0.001
2.3 列线图预测模型的建立

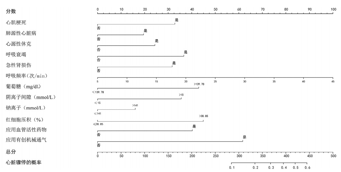
基于上述12个独立影响因子构建预测IHCA的列线图模型。根据回归系数,列线图模型对每一个变量赋予0~100的连续评分,根据各变量的分数求和可计算出患者的总分(见图 2)。总分向下的垂直线对应重症患者发生IHCA的概率,以便临床实践中评估进入ICU的患者发生CA的风险。

图 2 预测危重症患者IHCA的列线图 Fig 2 The nomogram for predicting in-hospital cardiac arrest of critically ill patients
2.4 列线图模型的评价和内部验证

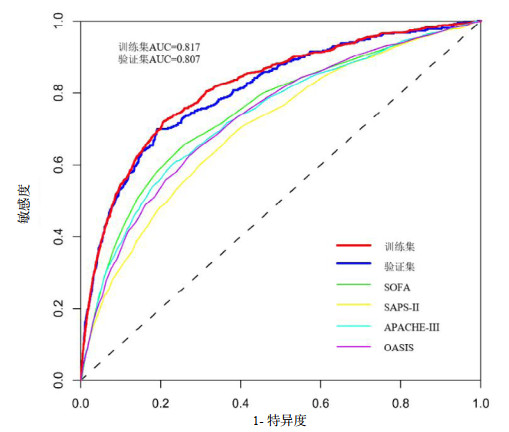
在训练集中,列线图模型预测IHCA具有良好的区别度,C-指数为0.817(95%CI: 0.785~0.847),校正曲线显示该模型的预测概率和实际概率具有良好的一致性(见图 3A)。在内部验证集中,列线图的C-指数为0.807(95%CI: 0.760~0.862),校正曲线同样显示列线图的预测概率与实际概率具有良好的一致性(见图 3B)。同时,在训练集中进一步比较了常用重症评分对IHCA的预测能力,结果表明ICU中常用的四种重症评分对IHCA的预测概率与实际概率偏差较大,且C-指数均小于0.75(见图 3C~F)。进一步绘制ROC曲线,列线图的最佳临界值为210分,临界值下的敏感度和特异度分别为79.30%和72.10%,列线图模型在训练集和内部验证集的AUC均大于0.80,明显优于另外四种重症评分,见图 4。DCA的结果显示(图 5),相比其他四种重症评分,列线图模型在训练集和内部验证集中预测IHCA的风险均具有更好的临床净获益。

A为训练集中列线图的校正曲线;B为内部验证集中列线图的校正曲线;C为SOFA评分的校正曲线;D为SAPSⅡ评分的校正曲线;E为APACHEⅢ评分的校正曲线;F为OASIS评分的校正曲线 图 3 列线图和重症评分校正曲线的比较 Fig 3 Comparison of calibration curve for nomogram and other scores

图 4 列线图和重症评分ROC曲线的比较 Fig 4 Comparison of ROC curve among nomogram and other scores

图 5 列线图和重症评分的临床净获益的比较 Fig 5 Comparison of clinical net benefit among nomogram and other scores
2.5 列线图模型的外部验证

纳入eICU-CRD数据库中的87 626例成人重症患者作为外部队列,进一步验证列线图预测能力的稳定性。校正曲线显示列线图模型的预测概率与实际概率一致性良好,AUC与其他数据集相似(AUC=0.804,95%CI: 0.786~0.822)。与训练集和内部验证集相比,DCA显示列线图具有相似的临床净获益。见图 6A~C

A为外部验证集中列线图的校正曲线;B为外部验证集中列线图的ROC曲线;C为外部验证集中列线图的临床净获益 图 6 列线图和重症评分ROC曲线的比较 Fig 6 The comparison of ROC curve among nomogram and other scores
2.6 列线图对院内死亡的预测能力

进一步在训练集中验证列线图模型对重症患者院内死亡的预测作用。列线图模型的AUC=0.818(95%CI: 0.802~0.834),其预测能力明显优于SOFA(AUC=0.773)、SAPSⅡ(AUC=0.787)、OASIS(AUC=0.800)评分,但略低于APACHEⅢ(AUC=0.826)。

3 讨论

本研究基于MIMIC-Ⅳ数据库发现心肌梗死、肺源性心脏病、心源性休克、呼吸衰竭、急性肾损伤、呼吸频率、葡萄糖、红细胞压积、钠、阴离子间隙、应用血管活性药物和有创机械通气是IHCA的独立影响因素,结合多因素分析的结果建立列线图模型,预测重症患者发生IHCA的风险。分析结果表明该模型具有良好的区别力,优于常见的重症评分系统。既往的研究认为发生IHCA的患者中仅有约20%的患者在出院时存活[13]。因此,进一步发掘列线图对院内死亡的预测能力,结果显示列线图对院内死亡同样具有良好的预测价值。

越来越多的临床证据发现,重症患者的疾病史、生命体征和实验室指标对IHCA具有预测价值[14-16]。本研究纳入了24个与诊断相关的变量,其中心肌梗死、心源性休克、肺源性心脏病、呼吸衰竭、急性肾损伤是IHCA的独立危险因素。CA通常分为心源性和非心源性因素,心脏病因可达50%~60%[17],其中心肌梗死是最常见的原因,约10%的心肌梗死患者发生IHCA[18]。而心源性休克常与急性心肌梗死密切相关,是心功能终末期的表现,显著恶化患者的预后[19]。并且在合并心源性休克的患者中,血管加压药物的应用也明显增加,随着药物剂量的增加不良心血管事件同样增加[20-21]。急性肾损伤是ICU中常见的并发症,约在超过50%的重症患者中出现,与肾脏灌注减少相关,同样也是心源性休克的常见并发症[22-23]。呼吸衰竭是CA第二常见的原因,约占15%~40%的患者[24],而本研究发现肺源性心脏病、呼吸衰竭以及有创机械通气增加了重症患者IHCA的风险。本研究纳入了患者进入ICU后24 h内的首次生命体征和实验室指标,并发现呼吸频率、血糖、阴离子间隙、钠和红细胞压积对IHCA具有预测价值,与既往CA预警模型纳入的变量具有一致性[25],并最终形成了新型的评分组合。

相对于院外CA,一些IHCA的发生被认为可以避免[26],而预防的关键在于早期识别具有高风险的患者,并进行早期干预。目前,已建立的CA预测模型包括早期预警评分、国家早期预警评分等,但大多基于入院患者开发,在ICU的重症患者中应用较少[27-28]。预测ICU成人患者CA的模型主要包括梅奥心脏重症监护室入院风险评分(Mayo cardiac ICU admission risk score, M-CARS)[29]和预警仪表板[30]。M-CARS的建立主要用于预测院内死亡(AUC=0.90),该模型中同样纳入阴离子间隙、心源性休克以及呼吸衰竭等变量,但该模型仅纳入心脏重症的患者,需要进一步的外部验证。预警仪表板共纳入10项指标,但模型仅纳入30例患者,并且无内部验证。Pirracchio等[31]基于MIMIC-Ⅱ数据库通过机器学习的方法建立了超级ICU学习算法,其主要用于预测ICU内患者的死亡风险(AUC=0.88),并且在外部验证中表现良好(AUC=0.94),但由于MIMIC-Ⅱ队列的时间较久远,且算法复杂,其结果是否适用于当前的患者,尚需验证。本研究基于MIMIC-Ⅳ数据库,在综合了常见的生命体征、实验室检查、诊断和治疗信息后,建立了预测重症患者IHCA的列线图模型。该模型纳入的变量易获取,在不同医疗系统中具有推广的可行性。而分析结果表明,与SOFA、APACHEⅢ、SAPSⅡ和OASIS等常用重症评分相比,列线图对IHCA的预测价值更高,并且在内部验证和多中心的外部验证中均有稳健的表现。

本研究存在一定的局限性。首先,本研究为回顾性研究,数据的获取存在信息偏倚。其次,由于MIMIC-Ⅳ数据库中变量的缺失,未能与M-CARS、EWD等模型进行比较;未能从数据库中提取心电、超声等数据,并且乳酸、白蛋白、肝功能等变量由于缺失较多,最终未能纳入分析。此外,生命体征和实验室检查仅纳入进入ICU后首次的数值,未能动态利用数据。此外,研究对象以白人为主,模型需要在国内及亚洲人群中进一步外部验证。

综上所述,本研究基于MIMIC-Ⅳ数据库的重症人群,建立了IHCA的列线图模型,该模型具有良好的预测价值,辨别IHCA的能力稳定,有助于医师识别院内重症患者发生CA的风险,为重症患者的预后提供有价值的信息。但该模型仍需在更多的人群中验证,并且IHCA的影响因素仍需要进一步的探索,从而优化预测模型的变量。

利益冲突  所有作者声明无利益冲突

作者贡献声明  梁立丰:研究设计、数据收集及整理、统计学分析、论文撰写;张文娟:研究设计、统计学分析、论文修改

参考文献
[1] Holmberg MJ, Wiberg S, Ross CE, et al. Trends in survival after pediatric in-hospital cardiac arrest in the United States[J]. Circulation, 2019, 140(17): 1398-1408. DOI:10.1161/CIRCULATIONAHA.119.041667
[2] Schluep M, Gravesteijn BY, Stolker RJ, et al. One-year survival after in-hospital cardiac arrest: a systematic review and meta-analysis[J]. Resuscitation, 2018, 132: 90-100. DOI:10.1016/j.resuscitation.2018.09.001
[3] Morrison LJ, Neumar RW, Zimmerman JL, et al. Strategies for improving survival after in-hospital cardiac arrest in the United States: 2013 consensus recommendations: a consensus statement from the American Heart Association[J]. Circulation, 2013, 127(14): 1538-1563. DOI:10.1161/CIR.0b013e31828b2770
[4] Merchant RM, Yang L, Becker LB, et al. Incidence of treated cardiac arrest in hospitalized patients in the United States[J]. Crit Care Med, 2011, 39(11): 2401-2406. DOI:10.1097/CCM.0b013e3182257459
[5] Holmberg MJ, Ross CE, Fitzmaurice GM, et al. Annual incidence of adult and pediatric in-hospital cardiac arrest in the United States[J]. Circ Cardiovasc Qual Outcomes, 2019, 12(7): e005580.
[6] Shao F, Li CS, Liang LR, et al. Incidence and outcome of adult in-hospital cardiac arrest in Beijing, China[J]. Resuscitation, 2016, 102: 51-56. DOI:10.1016/j.resuscitation.2016.02.002
[7] Andersen LW, Holmberg MJ, Berg KM, et al. In-hospital cardiac arrest: a review[J]. JAMA, 2019, 321(12): 1200-1210. DOI:10.1001/jama.2019.1696
[8] Perman SM, Stanton E, Soar J, et al. Location of in-hospital cardiac arrest in the United States-variability in event rate and outcomes[J]. J Am Heart Assoc, 2016, 5(10): e003638. DOI:10.1161/JAHA.116.003638
[9] Andersen LW, Kim WY, Chase M, et al. The prevalence and significance of abnormal vital signs prior to in-hospital cardiac arrest[J]. Resuscitation, 2016, 98: 112-117. DOI:10.1016/j.resuscitation.2015.08.016
[10] Goldberger AL, Amaral LA, Glass L, et al. PhysioBank, PhysioToolkit, and PhysioNet: components of a new research resource for complex physiologic signals[J]. Circulation, 2000, 101(23): E215-E220. DOI:10.1161/01.cir.101.23.e215
[11] Johnson A, Bulgarelli L, Pollard T, et al. MIMIC-IV (version 2.0)[J]. PhysioNet, 2022. DOI:10.13026/7vcr-e114
[12] DeZorzi C, Boyle B, Qazi A, et al. Administrative billing codes for identifying patients with cardiac arrest[J]. J Am Coll Cardiol, 2019, 73(12): 1598-1600. DOI:10.1016/j.jacc.2019.01.030
[13] Sandroni C, Nolan J, Cavallaro F, et al. In-hospital cardiac arrest: incidence, prognosis and possible measures to improve survival[J]. Intensive Care Med, 2007, 33(2): 237-245. DOI:10.1007/s00134-006-0326-z
[14] Churpek MM, Adhikari R, Edelson DP. The value of vital sign trends for detecting clinical deterioration on the wards[J]. Resuscitation, 2016, 102: 1-5. DOI:10.1016/j.resuscitation.2016.02.005
[15] Churpek MM, Yuen TC, Huber MT, et al. Predicting cardiac arrest on the wards: a nested case-control study[J]. Chest, 2012, 141(5): 1170-1176. DOI:10.1378/chest.11-1301
[16] 刘畅, 王金龙, 仲轶, 等. 高敏C反应蛋白与血清白蛋白比值对院内心脏骤停患者预后的预测价值[J]. 中华急诊医学杂志, 2021, 30(8): 1002-1006. DOI:10.3760/cma.j.issn.1671-0282.2021.08.017
[17] Wallmuller C, Meron G, Kurkciyan I, et al. Causes of in-hospital cardiac arrest and influence on outcome[J]. Resuscitation, 2012, 83(10): 1206-1211. DOI:10.1016/j.resuscitation.2012.05.001
[18] Desch S, Freund A, Akin I, et al. Angiography after out-of-hospital cardiac arrest without ST-segment elevation[J]. N Engl J Med, 2021, 385(27): 2544-2553. DOI:10.1056/NEJMoa2101909
[19] Benjamin EJ, Virani SS, Callaway CW, et al. Heart disease and stroke statistics-2018 update: a report from the American Heart Association[J]. Circulation, 2018, 137(12): e67-e492. DOI:10.1161/CIR.0000000000000558
[20] Jentzer JC, Hollenberg SM. Vasopressor and inotrope therapy in cardiac critical care[J]. J Intensive Care Med, 2021, 36(8): 843-856. DOI:10.1177/0885066620917630
[21] Asfar P, Meziani F, Hamel JF, et al. High versus low blood-pressure target in patients with septic shock[J]. N Engl J Med, 2014, 370(17): 1583-1593. DOI:10.1056/NEJMoa1312173
[22] Ronco C, Bellomo R, Kellum JA. Acute kidney injury[J]. Lancet, 2019, 394(10212): 1949-1964. DOI:10.1016/S0140-6736(19)32563-2
[23] Ghionzoli N, Sciaccaluga C, Mandoli G, et al. Cardiogenic shock and acute kidney injury: the rule rather than the exception[J]. Heart Fail Rev, 2021, 26(3): 487-496. DOI:10.1007/s10741-020-10034-0
[24] Radeschi G, Mina A, Berta G, et al. Incidence and outcome of in-hospital cardiac arrest in Italy: a multicentre observational study in the Piedmont Region[J]. Resuscitation, 2017, 119: 48-55. DOI:10.1016/j.resuscitation.2017.06.020
[25] 桑文涛, 程凯, 边圆, 等. 重症患者院内心脏骤停预警模型研究现状[J]. 中国实用内科杂志, 2021, 41(3) 177-180, 189. DOI:10.19538/j.nk2021030101
[26] Galhotra S, DeVita MA, Simmons RL, et al. Mature rapid response system and potentially avoidable cardiopulmonary arrests in hospital[J]. Qual Saf Health Care, 2007, 16(4): 260-265. DOI:10.1136/qshc.2007.022210
[27] Fu LH, Schwartz J, Moy A, et al. Development and validation of early warning score system: a systematic literature review[J]. J Biomed Inform, 2020, 105: 103410. DOI:10.1016/j.jbi.2020.103410
[28] Smith GB, Prytherch DR, Meredith P, et al. The ability of the National Early Warning Score (NEWS) to discriminate patients at risk of early cardiac arrest, unanticipated intensive care unit admission, and death[J]. Resuscitation, 2013, 84(4): 465-470. DOI:10.1016/j.resuscitation.2012.12.016
[29] Jentzer JC, Anavekar NS, Bennett C, et al. Derivation and validation of a novel cardiac intensive care unit admission risk score for mortality[J]. J Am Heart Assoc, 2019, 8(17): e013675. DOI:10.1161/JAHA.119.013675
[30] Kavanaugh MJ, So JD, Park PJ, et al. Validation of the intensive care unit early warning dashboard: quality improvement utilizing a retrospective case-control evaluation[J]. Telemed J E Health, 2017, 23(2): 88-95. DOI:10.1089/tmj.2016.0073
[31] Pirracchio R, Petersen ML, Carone M, et al. Mortality prediction in intensive care units with the Super ICU Learner Algorithm (SICULA): a population-based study[J]. Lancet Respir Med, 2015, 3(1): 42-52. DOI:10.1016/S2213-2600(14)70239-5