脓毒症是感染所致的致命性全身炎症反应。当初步容量复苏不能纠正低血压或血乳酸清除率下降时,则诊断为脓毒性休克[1]。尽管近年来脓毒性休克治疗已有进步,但其特异性治疗方法仍然不多。脓毒症及脓毒性休克其本质仍是宿主对感染失控的全身炎症反应[2]。因此,降低全身炎症反应可能能够降低患者病死率。
血浆置换是指将患者血浆中致病性物质去除,并用无致病性血浆或其他替代液(如白蛋白)替代。血浆置换治疗脓毒症的理论主要基于以下两个理论[3]:(1)去除直接导致疾病表现的有害循环分子;(2)输入保护性血浆蛋白,以弥补重要凝血因子的损失、抗炎因子和血管渗漏的因子。连续性血液滤过是一种重要的肾脏替代治疗方式,可以持续清除炎症介质,减轻炎症反应[4]。目前有关血浆置换联合血液滤过治疗脓毒症的研究较少,其疗效有待进一步明确。因此,本研究回顾了本院脓毒症患者应用血浆置换术联合血液滤过治疗后的效果,以求明确血浆置换术联合血液滤过在脓毒症中治疗的价值。
1 资料与方法 1.1 一般资料采用回顾性队列研究方法,选择2017年12月至2020年12月福建医科大学附属闽东医院重症医学科收治的脓毒性休克的患者为研究对象。
入选标准:①18~80岁,性别不限;②符合脓毒症休克国际诊断标准3.0;③入组前使用血管活性药物 < 12 h;④经早期积极液体复苏(30 mL/kg)后,仍需去甲肾上腺素 > 0.5 μg/(kg·min)持续静脉泵入维持血压;⑤签署知情同意书。
脓毒症3.0诊断标准[1]:存在感染或是可疑感染,且序贯器官衰竭评分(Sequential Organ Failure Assessment, SOFA)≥2分,经充分液体复苏仍持续低血压,需使用血管活性药物才能维持平均动脉压(mean arterial pressure, MAP)≥65 mmHg(1 mmHg=0.133 kPa),以及血乳酸(lactic acid, Lac) > 2 mmol/L。
排除标准:①年龄 < 18岁或年龄 > 80岁;②使用血管活性药物 > 12 h;③穿刺部位感染、皮肤破溃导致无法留置静脉导管;④严重凝血功能障碍;⑤入科后24 h内无法完成血浆置换;⑥妊娠、肿瘤终末期;⑦未签署知情同意书。
本研究方案符合医学伦理学标准,经本院伦理委员会批准[2020宁闽以伦理审字第(1209-3)号]。
1.2 治疗患者入组后均按照2016年拯救脓毒症运动指南进行治疗包括去除病因,液体复苏,使用广谱抗生素抗感染治疗,使用血管活性药物治疗,呼吸衰竭者予以无创或有创机械通气。患者治疗过程中5~10 min根据血压调整血管活性药物以维持平均动脉压在65 mmHg以上。
1.3 血浆置换术及血液滤过股静脉或右颈内静脉留置双腔血滤导管。血浆置换采用新鲜冰冻血浆,血浆置换量为50mL/kg,血液流速为120~150 mL/min,血浆置换术后继续给予行血液滤过治疗,模式为持续静脉-静脉血液滤过(continuous veno-venous hemofiltration,CVVH),置换液流量30~40 mL/(kg·h),血流速率150~200 mL/min,血液滤过置换基础液(成都青山利康药业有限公司,规格4 000 mL/袋, 批准文号H20080452),同步输注5%碳酸氢钠,根据出入液体量设置超滤量。血浆置换及血液滤过均使用Gambro Lundia AB生产的Prismaflex,血浆分离器使用MICROLAS MPS05,血液滤过滤器使用Gambro Industries生产的Prismaflex M100 set (AN69)。治疗过程中采用肝素钠持续性静脉泵入,维持部分活化凝血时间(activated partial thromboplastin time, APTT)为正常值1~1.5倍。
1.4 血流动力学监测患者入组后股动脉给予留置热稀释导管(pulse index continuous cardiac output, PiCCO),型号为PV2014L16-A,用于持续监测血流动力学及留取血标本。
1.5 研究分组根据患者入科24 h是否使用血浆置换术及血液滤过分为常规治疗组(常规治疗,n=26例)及血液净化组(常规治疗+血浆置换术+血液滤过,n=29例)。
常规治疗组:所有患者根据按照按照2016年拯救脓毒症运动指南进行治疗。血液净化组:所有患者在常规治疗基础之上,给予血浆置换及血液滤过治疗;患者入组后4 h内行血浆置换,完成1次血浆置换后立即给予血液滤过治疗(CVVH治疗时间≥24 h)。
1.6 资料收集① 一般资料:入组时记录性别、年龄、入ICU诊断、感染部位及致病菌;入科时及治疗后24 h记录急性生理学与慢性健康状况评分系统Ⅱ(acute physiology and chronic health evaluation scoring system, APACHEⅡ)评分及SOFA评分。②炎症指标:入科时及治疗后24 h监测降钙素原(procalcitonin, PCT)、白细胞介素-6(interleukin-6, IL-6)、白细胞计数(white blood cell, WBC)及C反应蛋白(C-reaction protein, CRP)。③血流动力学指标:入组时及治疗24 h通过PiCCO监测仪持续监测心率(heart rate, HR)、MAP、外周循环阻力指数(systemic vascular resistance index, SVRI)、血管外肺水指数(extravascular lung water index, EVLWI);记录入组时及治疗24 h的血管活性药物应用剂量及Lac,记录入组及治疗24 h的总液体平衡水平。④预后指标:ICU住院时间、ICU病死率及28 d病死率。
1.7 统计学方法使用SPSS 22.0软件进行统计学分析。正态分布数据以均数±标准差(x±s)表示,先行方差齐性检验,方差齐时采用重复测量方差分析,两组间比较采用t检验。非正态分布数据以中位数(四分位数间距)[M(Q1, Q3)]表示,两组间比较用Mann-Whitney U检验。计数资料采用χ2检验。生存状况采用Kaplan-Meier曲线评估。以P < 0.05为差异有统计学意义。
2 结果 2.1 一般情况2017年12月至2020年12月本科室共收治脓毒症伴脓毒性休克的患者168例,入组55例,见图 1。其中女性17例,男性38例;年龄(59.3±14.1)岁。肺部感染19例,腹部感染18例,血行感染6例,皮肤软组织感染8例,4例感染部位不明确。革兰氏阳性菌及革兰氏阴性菌分别为11例、39例,4例患者致病菌不明确。常规治疗组共26例,血液净化组29例。两组患者入组时性别、年龄、基础疾病、APACHEⅡ、SOFA评分差异无统计学意义(均P > 0.05),两组具有可比性(表 1)。
|
| 图 1 患者入组情况 Fig 1 Flow chart of patient selection |
|
|
| 指标 | 血液净化组(n=29) | 常规治疗组(n=26) | t/χ2值 | P值 |
| 性别(例,%) | ||||
| 男 | 21(72.41) | 18(69.23) | 0.067 | 0.795 |
| 女 | 8(27.59) | 8(30.77) | 0.067 | 0.795 |
| 年龄(x±s,岁) | 58.17±14.47 | 60.62±13.82 | 0.149 | 0.701 |
| 基础疾病(例,%) | ||||
| 糖尿病 | 5(17.24) | 4(15.38) | 0.035 | 0.853 |
| 慢性心功能不全 | 4(13.79) | 7(26.92) | 1.477 | 0.224 |
| 慢性肾功能不全 | 3(10.34) | 4(15.38) | 0.313 | 0.576 |
| 高血压病 | 8(27.59) | 8(30.77) | 0.067 | 0.795 |
| 慢性阻塞性肺疾病 | 9(31.03) | 10(38.46) | 0.334 | 0.563 |
| 慢性肝炎 | 3(10.34) | 2(7.69) | 0.117 | 0.733 |
| 原发疾病(例,%) | ||||
| 肺部感染 | 9(31.03) | 10(38.46) | 0.334 | 0.563 |
| 胆道感染 | 5(17.24) | 2(7.69) | 1.125 | 0.289 |
| 泌尿感染 | 2(6.90) | 1(3.85) | 0.247 | 0.619 |
| 腹腔感染 | 5(17.24) | 3(11.54) | 0.359 | 0.549 |
| 皮肤软组织感染 | 3(10.34) | 5(19.23) | 0.871 | 0.351 |
| 血行感染 | 3(10.34) | 3(11.54) | 0.020 | 0.887 |
| 感染部位不明确 | 2(6.90) | 2(7.69) | 0.013 | 0.910 |
入组时两组患者PCT、CRP、IL-6及WBC差异无统计学意义,与常规治疗组相比,血液净化组治疗后PCT、CRP及IL-6均有明显下降(均P < 0.05), 但两组WBC差异无统计学意义。与治疗前相比,血液净化组治疗后PCT、CRP及IL-6亦明显下降,WBC在血浆置换术前后则差异无统计学意义,常规治疗组在治疗前后PCT、CRP、IL-6及WBC均差异无统计学意义,见表 2。
| 感染指标 | 血液净化组(n=29) | 常规治疗组(n=26) | |||||||
| 入组时 | 治疗后 | t值 | P值 | 入组时 | 治疗后 | t值 | P值 | ||
| PCT (ng/mL) | 61.49±22.46 | 50.07±14.54ab | 2.298 | 0.025 | 63.97±21.79 | 57.93±13.42 | 1.203 | 0.235 | |
| IL-6 (pg/mL) | 8258.30±3939.59 | 5957.45±2344.48ab | 2.703 | 0.009 | 7994.66±4305.12 | 7522.94±3218.94 | 0.447 | 0.656 | |
| WBC (109/L) | 22.75±4.90 | 21.12±5.08 | 1.239 | 0.220 | 22.06±5.16 | 21.51±4.82 | 0.397 | 0.693 | |
| CRP (mg/L) | 115.98±61.48 | 85.71±46.05ab | 2.123 | 0.038 | 120.73±58.19 | 115.10±44.42 | 0.392 | 0.697 | |
| 注:与常规治疗组相比,aP < 0.05;与入组时相比,bP < 0.05;PCT为降钙素原,IL-6为白细胞介素-6,WBC为白细胞计数,CRP为C反应蛋白 | |||||||||
两组患者入组时去甲肾上腺素应用剂量均较高分别为常规治疗组为(0.74±0.46)μg/(kg·min)及血液净化组为(0.76±0.39)μg/(kg·min)。治疗后,常规治疗组较前有所增加,但差异无统计学意义,血液净化组则有明显下降(P < 0.05)。经治疗后,与常规治疗组相比,血液净化组去甲肾上腺素应用剂量明显降低(P < 0.05)。血浆置换术前两组患者MAP、HR、SVRI、EVLWI及Lac均差异无统计学意义,治疗后,血液净化组SVRI有明显上升,乳酸明显下降,且较常规治疗组有明显改善(表 3)。与常规治疗组相比,血液净化组24 h入量明显降低[(3 852.07±686.43)mL vs.(4 474.81±572.71)mL],两组差异有统计学意义(P=0.001)。
| 血流动力学指标 | 血液净化组(n=29) | 常规治疗组(n=26) | |||||||
| 入组时 | 治疗后 | t值 | P值 | 入组时 | 治疗后 | t值 | P值 | ||
| HR(次/min) | 115.03±24.57 | 81.21±16.03ab | 6.210 | < 0.001 | 109.73±17.13 | 95±28.59b | 2.254 | 0.029 | |
| MAP (mmHg) | 52.79±7.72 | 67.45±12.22b | −5.461 | < 0.001 | 52.58±10.02 | 66.54±16.46b | −3.695 | 0.001 | |
| 去甲肾上腺素泵入剂量[μg/(kg·min)] | 0.76±0.39 | 0.54±0.39ab | 2.054 | 0.044 | 0.74±0.46 | 0.80±0.43 | −0.487 | 0628 | |
| SVRI (dyn·s/cm2) | 1103.14±364.94 | 1403.31±264.46ab | −3.587 | 0.001 | 1121.23±310.60 | 1285.23±128.00b | −2.489 | 0.016 | |
| EVLWI(mL/kg) | 10.04±2.77 | 8.23±2.23ab | 2.740 | 0.008 | 10.05±3.04 | 10.04±3.04 | 0.183 | 0.856 | |
| Lac(μmmol/L) | 7.74±4.22 | 4.51±1.62ab | 3.849 | < 0.001 | 7.44±3.97 | 5.82±2.66 | 1.731 | 0.091 | |
| 注:与常规治疗组相比,aP < 0.05;与入组时相比,bP < 0.05;HR:心率,MAP:血压,SVRI:外周循环阻力指数,EVLWI:血管外肺水指数、Lac:血清乳酸;1 mmHg=0.133 kPa | |||||||||
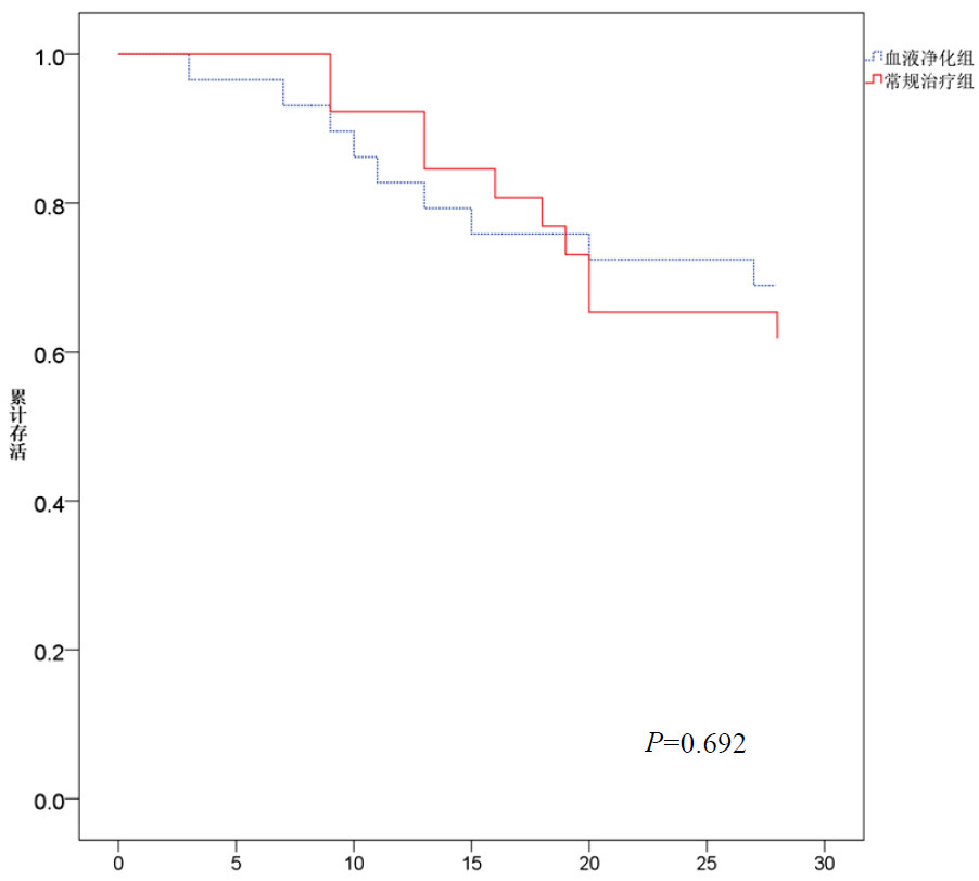
入组时两组患者APACHEⅡ评分及SOFA评分差异无统计学意义;与常规治疗组相比,治疗后,血液净化组APACHEⅡ评分及SOFA评分明显降低,且与治疗前相比均有明显降低(P < 0.05,表 4)。在血液净化组中,患者ICU住院时间有缩短趋势,但两组间差异无统计学意义(P > 0.05,表 5)。脓毒症患者28 d病死率为34.54%,但两组患者患者ICU病死率及住院病死率均差异无统计学意义,生存曲线分析发现,两组患者28 d生存率差异无统计学意义(图 2)。
| 器官功能评分 | 血液净化组(n=29) | 常规治疗组(n=26) | |||||||
| 入组时 | 治疗后 | t值 | P值 | 入组时 | 治疗后 | t值 | P值 | ||
| APACHEⅡ评分 | 21.79±6.01 | 14.07±4.30ab | 5.626 | < 0.001 | 22.77±7.29 | 19.23±5.44 | 1.985 | 0.053 | |
| SOFA评分 | 11.79±1.42 | 9.93±1.16ab | 5.455 | < 0.001 | 12.12±1.61 | 11.69±1.81 | 0.892 | 0.377 | |
| 注:与常规治疗组相比,aP < 0.05; 与入组时相比,bP < 0.05。APACHEⅡ:急性生理学与慢性健康状况评分系统Ⅱ评分,SOFA:序贯器官衰竭评分 | |||||||||
| 预后指标 | 血液净化组(n=29) | 常规治疗组(n=26) | t/χ2值 | P值 |
| ICU住院时间(d) | 10.31±4.93 | 11.15±4.65 | −0.694 | 0.517 |
| ICU死亡(例,%) | 5(17.24) | 4(15.38) | 0.035 | 0.853 |
| 28 d死亡(例,%) | 9(31.03) | 10(28.46) | 0.334 | 0.563 |
|
| 图 2 脓毒症患者28 d生存曲线 Fig 2 The 28-day survival curve of patients with sepsis |
|
|
本研究显示,脓毒性休克早期行血浆置换联合血液滤过能够降低患者炎症介质水平,增加外周循环阻力,维持循环稳定,改善器官功能损伤;但不能缩短患者ICU住院时间及降低患者病死率。
脓毒性休克是重症医学科最常见的死亡原因。尽管经过数十年的努力,但脓毒症患者病死率仍高居不下。在缺乏除抗感染药物以外的特殊干预措施的情况下,脓毒症相关的病死率仍高达35%~40%[5]。本研究显示,脓毒性休克患者病死率达34.54%。细胞因子释放、炎症细胞趋化和内皮细胞活化组成的失控性炎症反应及失调的免疫反应是关键驱动因素[6-7]。因此,失控的炎症反应被认为是脓毒症患者死亡的主要因素[8]。如何降低高炎症反应可能是降低脓毒症患者病死率的重要命题。
清除炎症介质可能是改善患者预后的重要治疗手段之一。多种方法和设备,例如高截留膜、Oxiris®-AN69膜、CytoSorb®、HA380细胞因子吸血和多粘菌素B内毒素吸附可用于清除炎症介质,但目前仍没有证据表明其能改善脓毒症患者预后[9]。血浆置换术联合血液滤过不但可以清除炎症介质,还能补充新鲜血浆,维持内环境稳定,可能能够改善脓毒性休克患者预后。本研究显示,血浆置换术能够降低脓毒症患者炎症因子,改善血流动力学及器官功能,但对28 d生存率无明显影响。
血浆置换术对清除脓毒症患者血清炎症介质具有重要意义。炎症反应是宿主对感染的正常反应,但炎症介质的过度释放会导致器官损伤,因此降低炎症水平可能是有益的[10]。血浆置换术用于治疗脓毒症基本原理是,血浆置换术可以清除体内有害物质,同时给予补充健康人血浆中有益物质[11-12]。早在2002年有研究发现,与血液滤过相比,血浆置换术后患者血清中的内毒素明显下降,同时在血浆置换废液中检测到内毒素[13]。表明血浆置换术能够清除内毒素。Knaup等[14]监测脓毒症患者血浆置换术前后的炎症因子发现,血浆置换术后,IL-6、IL-8等炎症介质均明显下降。在针对COVID-19研究中发现,血浆置换术能够降低患者IL-6等炎症介质浓度[15]。本研究也显示,无论与对照组相比还是与治疗前相比,血浆置换术后血清炎症介质均明显下降。可见,血浆置换术能够清除炎症介质,改善全身炎症反应。
血浆置换术能够改善脓毒症休克患者血流动力学稳定。炎症失衡是脓毒性休克的病理生理基础[16],改善炎症反应可能促进循环稳定。Yu等[17]等对脓毒症患儿的研究发现,与晚期行血浆置换术的患者相比(入组后30 h以后行血浆置换术),早期血浆置换术(入组后30 h内行血浆置换术)患者血管活性药物应用时间明显缩短,但遗憾的是该研究并未监测血流动力学。本研究发现血液净化组循环逐渐好转,外周血管阻力逐渐上升,去甲肾上腺素使用剂量明显降低,血清乳酸逐渐下降。可见,血浆置换术能够有助于循环稳定,减少血管活性药物的应用。
血浆置换有助于改善器官功能。在儿童脓毒症患者的研究中发现,血浆置换术后患者APACHE Ⅱ评分均明显下降,且器官衰竭数目亦减少[18]。本研究亦表明,血浆置换术后,患者APACHE Ⅱ评分及SOFA评分明显降低。这可能与以下方面有关:首先,血浆置换过程中既可以清除有害物质,同时补充新鲜血浆,减少器官功能受损,特别是改善肝功能;其次,血浆置换过程中能够改善凝血功能,纠正弥散性血管内凝血[12];再次,血液滤过治疗过程中能够有效维持内环境稳定。因此,血浆置换术能够有效改善器官功能。
血浆置换联合血液滤过能够减少患者液体过负荷,降低患者EVLWI。液体过负荷及高EVLWI与脓毒症病死率有密切关系[19-20]。研究表明早期血浆置换能够减少患者24 h液体入量[21],李燕玲等[22]发现早期CRRT能够减少患者液体负荷。本研究发现在血浆置换序贯行血液滤过治疗后,患者24 h入量明显减少,且EVLWI亦明显降低。这可能与血浆置换能及血液滤过能够清除炎症介质有关[4]。同时,本研究中大多数患者尿量较少,而早期血液滤过能促进液体排出,从而维持液体平衡。因此,脓毒性休克患者早期进行血浆置换及血液滤过有助于防止液体过负荷。
血浆置换术对于能否降低患者病死率仍存在争议。早期研究表明,血浆置换术相对安全,可以恢复感染性休克患者的血流动力学稳定性、体液平衡和器官功能障碍,但没有出现改善患者生存的证据[23-24]。Busund等[25]仅就血浆置换术对脓毒症或感染性休克成人患者的疗效进行了一项随机对照试验,表明血液净化组的28 d全因病死率较低。但有研究认为,Busund的研究样本量太小,存在严重偏倚[26]。Knaup等[14]发现,对血浆置换术有反应(血浆置换术后去甲肾上腺素降低20%以上)及反应欠佳(48 h内有任一器官功能改善者)的患者能够改善预后,但对无反应者则改善不明显。本研究表明血液净化组与常规治疗组ICU病死率及28 d病死率无明显差别,但本研究部分患者因经济因素放弃治疗可能导致结果出现偏倚。血浆置换术联合血液滤过能否改善患者最终预后有待进一步研究。
本研究的局限性:①本研究样本量小,且是回顾性研究,可能导致结果出现偏倚。②血浆置换及血液滤过费用较高,而部分患者因经济因素导致治疗中断,可能导致结果出现偏倚,但本研究在签署知情同意中时告知了患者家属治疗费用,尽量减少这方面影响。
综上所述,血浆置换术联合血液滤过能够清除炎症介质,维持循环稳定及改善器官功能,对于能否改善患者预后有待进一步研究。
利益冲突 所有作者声明无利益冲突
作者贡献声明 刘火根:提出并完成试验设计;施云弟、苏小翠、万鑫:完成试验操作、数据收集;黄凤鸣、黄日进:完成数据整理和统计分析;顾凌:完成论文撰写工作
| [1] | Singer M, Deutschman CS, Seymour CW, et al. The third international consensus definitions for Sepsis and septic shock (Sepsis-3)[J]. JAMA, 2016, 315(8): 801-810. DOI:10.1001/jama.2016.0287 |
| [2] | Huang M, Cai SL, Su JQ. The pathogenesis of Sepsis and potential therapeutic targets[J]. Int J Mol Sci, 2019, 20(21): 5376. DOI:10.3390/ijms20215376 |
| [3] | Sloan SR, Andrzejewski C Jr, Aqui NA, et al. Role of therapeutic apheresis in infectious and inflammatory diseases: current knowledge and unanswered questions[J]. J Clin Apher, 2015, 30(5): 259-264. DOI:10.1002/jca.21370 |
| [4] | Meng JB, Lai ZZ, Xu XJ, et al. Effects of early continuous venovenous hemofiltration on E-selectin, hemodynamic stability, and ventilatory function in patients with septic-shock-induced acute respiratory distress syndrome[J]. Biomed Res Int, 2016, 2016: 7463130. DOI:10.1155/2016/7463130 |
| [5] | Vincent JL, Jones G, David S, et al. Frequency and mortality of septic shock in Europe and North America: a systematic review and meta-analysis[J]. Crit Care, 2019, 23(1): 196. DOI:10.1186/s13054-019-2478-6 |
| [6] | Mehta Y, Dixit SB, Zirpe K, et al. Therapeutic approaches in modulating the inflammatory and immunological response in patients with Sepsis, acute respiratory distress syndrome, and pancreatitis: an expert opinion review[J]. Cureus, 2021, 13(9): e18393. DOI:10.7759/cureus.18393 |
| [7] | Dolin HH, Papadimos TJ, Chen XH, et al. Characterization of pathogenic Sepsis etiologies and patient profiles: a novel approach to triage and treatment[J]. Microbiol Insights, 2019, 12: 1178636118825081. DOI:10.1177/1178636118825081 |
| [8] | Angus DC, van der Poll T. Severe Sepsis and septic shock[J]. N Engl J Med, 2013, 369(9): 840-851. DOI:10.1056/nejmra1208623 |
| [9] | Hellman T, Uusalo P, Järvisalo MJ. Renal replacement techniques in septic shock[J]. Int J Mol Sci, 2021, 22(19): 10238. DOI:10.3390/ijms221910238 |
| [10] | Atan R, Crosbie D, Bellomo R. Techniques of extracorporeal cytokine removal: a systematic review of the literature on animal experimental studies[J]. Int J Artif Organs, 2013, 36(3): 149-158. DOI:10.5301/ijao.5000128 |
| [11] | Carcillo JA, Kellum JA. Is there a role for plasmapheresis/plasma exchange therapy in septic shock, MODS, and thrombocytopenia-associated multiple organ failure? We still do not know: but perhaps we are closer[J]. Intensive Care Med, 2002, 28(10): 1373-1375. DOI:10.1007/s00134-002-1428-x |
| [12] | Stahl K, Schmidt JJ, Seeliger B, et al. Effect of therapeutic plasma exchange on endothelial activation and coagulation-related parameters in septic shock[J]. Crit Care, 2020, 24(1): 71. DOI:10.1186/s13054-020-2799-5 |
| [13] | 穆玉. 血液滤过和血浆置换在严重感染性SIRS中的清除作用及疗效观察[D]. 天津: 天津医科大学, 2002. |
| [14] | Knaup H, Stahl K, Schmidt BMW, et al. Early therapeutic plasma exchange in septic shock: a prospective open-label nonrandomized pilot study focusing on safety, hemodynamics, vascular barrier function, and biologic markers[J]. Crit Care, 2018, 22(1): 285. DOI:10.1186/s13054-018-2220-9 |
| [15] | Ma J, Xia P, Zhou YZ, et al. Potential effect of blood purification therapy in reducing cytokine storm as a late complication of critically ill COVID-19[J]. Clin Immunol, 2020, 214: 108408. DOI:10.1016/j.clim.2020.108408 |
| [16] | Cecconi M, Evans L, Levy M, et al. Sepsis and septic shock[J]. Lancet, 2018, 392(10141): 75-87. DOI:10.1016/S0140-6736(18)30696-2 |
| [17] | Yu KW, Cornell TT, Cooley EG, et al. Therapeutic plasma exchange may improve hemodynamics and organ failure among children with Sepsis-induced multiple organ dysfunction syndrome receiving extracorporeal life support[J]. Pediatr Crit Care Med, 2015, 16(4): 366-374. DOI:10.1097/PCC.0000000000000351 |
| [18] | Aygün F, Varol F, Durak C, et al. Evaluation of continuous renal replacement therapy and therapeutic plasma exchange, in severe Sepsis or septic shock in critically ill children[J]. Medicina (Kaunas), 2019, 55(7): 350. DOI:10.3390/medicina55070350 |
| [19] | Marik PE, Linde-Zwirble WT, Bittner EA, et al. Fluid administration in severe Sepsis and septic shock, patterns and outcomes: an analysis of a large national database[J]. Intensive Care Med, 2017, 43(5): 625-632. DOI:10.1007/s00134-016-4675-y |
| [20] | 杨从山, 邱海波, 刘松桥, 等. 血管外肺水指数对感染性休克患者预后的评价[J]. 中华内科杂志, 2006, 45(3): 192-195. DOI:10.3760/j.issn:0578-1426.2006.03.006 |
| [21] | Hadem J, Hafer C, Schneider AS, et al. Therapeutic plasma exchange as rescue therapy in severe Sepsis and septic shock: retrospective observational single-centre study of 23 patients[J]. BMC Anesthesiol, 2014, 14: 24. DOI:10.1186/1471-2253-14-24 |
| [22] | 李燕玲, 杨智, 苏伟, 等. 液体正平衡与严重脓毒症急性肾损伤患者预后的相关性[J]. 中华急诊医学杂志, 2017, 26(2): 172-175. DOI:10.3760/cma.j.issn.1671-0282.2017.02.010 |
| [23] | David S, Bode C, Putensen C, et al. Adjuvant therapeutic plasma exchange in septic shock[J]. Intensive Care Med, 2021, 47(3): 352-354. DOI:10.1007/s00134-020-06339-1 |
| [24] | Keith PD, Wells AH, Hodges J, et al. The therapeutic efficacy of adjunct therapeutic plasma exchange for septic shock with multiple organ failure: a single-center experience[J]. Crit Care, 2020, 24(1): 518. DOI:10.1186/s13054-020-03241-6 |
| [25] | Busund R, Koukline V, Utrobin U, et al. Plasmapheresis in severe Sepsis and septic shock: a prospective, randomised, controlled trial[J]. Intensive Care Med, 2002, 28(10): 1434-1439. DOI:10.1007/s00134-002-1410-7 |
| [26] | Rimmer E, Houston BL, Kumar A, et al. The efficacy and safety of plasma exchange in patients with Sepsis and septic shock: a systematic review and meta-analysis[J]. Crit Care, 2014, 18(6): 699. DOI:10.1186/s13054-014-0699-2 |
2022, Vol. 31



