中华急诊医学杂志  2022, Vol. 31 Issue (9): 1210-1215   DOI: 10.3760/cma.j.issn.1671-0282.2022.09.010
肾上腺髓质中段肽对低风险脓毒症患者预后的预测价值
王娜1,2 , 商娜1,2 , 李俊玉1,2 , 刘慧珍1,2 , 王雅慧1,2 , 席修明3     
1. 首都医科大学康复医学院,北京 100068;
2. 中国康复研究中心北京博爱医院急诊科,北京 100068;
3. 首都医科大学北京复兴医院重症医学科,北京 100038
摘要: 目的 探讨肾上腺髓质中段肽(mid-regional proadrenomedullin, MR-proADM)对低风险脓毒症患者不良预后的预测价值。方法 本研究为前瞻性队列研究。研究对象为2018年12月至2020年12月中国康复研究中心急诊重症监护室收治的脓毒症患者。将患者按序贯器官衰竭(sequential organ failure assessment, SOFA)评分分为低风险组(SOFA≤7分)和中高风险组(SOFA>7分),比较两组临床特征。采用比例风险回归模型(COX回归模型)分析低风险组和中高风险组患者28 d死亡的危险因素。应用受试者工作特征曲线评价MR-proADM、C反应蛋白、乳酸(lactic acid, Lac)、白介素6(interleukin-6, IL-6)及SOFA评分、急性生理学及慢性健康状况(acute physiology and chronic health evaluation, APACHE)Ⅱ评分对各组预后的预测能力。并比较低风险组中MR-proADM浓度不同患者的预后。结果 共纳入205例脓毒症患者,28 d病死率为41.0%(84/205)。两组间器官功能障碍数目、急性肾损伤、血管活性药物使用、Lac、IL-6、SOFA评分和APACHEⅡ评分差异有统计学意义。COX回归模型显示在低风险组中,年龄、MR-proADM、机械通气、IL-6和APACHEⅡ评分是患者28 d死亡的危险因素,在中高风险组中,MR-proADM、Lac、SOFA评分和APACHEⅡ评分是患者28 d死亡的危险因素。各组中,MR-proADM对患者预后具有良好的预测能力(P < 0.001)。尤其在低风险患者中,MR-proADM对患者的预测能力优于其他指标。Kaplan-Meier生存曲线分析提示MR-proADM>2.53 nmol/L比MR-proADM≤2.53 nmol/L的患者预后差,差异有统计学意义(P < 0.001)。在低风险组中,如果MR-proADM>2.53 nmol/L,患者的病死率由7.8%上升至58.2%。结论 MR-proADM是脓毒症患者28 d死亡的危险因素,而且MR-proADM能早期识别低风险患者的不良预后。
关键词: 肾上腺髓质中段肽    低风险    早期识别    脓毒症    预后    
Prognostic value of mid-regional proadrenomedullin in low-risk patients with sepsis
Wang Na1,2 , Shang Na1,2 , Li Junyu1,2 , Liu Huizhen1,2 , Wang Yahui1,2 , Xi Xiuming3     
1. School of Rehabilitation Medicine, Capital Medical University, Beijing 100068, China;
2. Department of Emergency, Beijing Bo'ai Hospital, China Rehabilitation Research Center, Beijing 100068, China;
3. Department of Critical Care Medicine, Fu Xing Hospital, Capital Medical University, Beijing 100038, China
Abstract: Objective To investigate the predictive value of mid-regional proadrenomedullin (MR-proADM) on poor prognosis of low-risk patients with sepsis. Methods This was a prospective cohort study. Patients with sepsis admitted to the Emergency Intensive Care Unit of China Rehabilitation Research Center from December 2018 to December 2020 were included in this study. The patients were divided into the low-risk group (SOFA≤7) and medium-high-risk group (SOFA>7) according to the sequential organ failure assessment (SOFA) score, and the clinical characteristics of the two groups were compared. Proportional hazards regression model (COX regression model) was used to investigate the risk factors of 28-day mortality in the low-risk and medium-high-risk group. The predictive ability of MR-proADM, C-reactive protein (CRP), lactic acid (Lac), interleukin-6 (IL-6), SOFA score, and acute physiology and chronic health evaluationⅡ (APACHE Ⅱ) score for the prognosis in each group was evaluated by receiver operating characteristic (ROC) curve. The outcomes of patients with different concentration of MR-proADM in the low-risk group were compared. Results Totally 205 patients with sepsis were included, and the 28-day mortality was 41.0% (84/205). There were significant differences in the number of organ dysfunction, acute kidney injury, use of vasoactive drugs, Lac, IL-6, SOFA score and APACHEⅡ score between the two groups (P < 0.05). Cox regression model showed that age, MR-proADM, mechanical ventilation, IL-6 and APACHEⅡ score were the risk factors of 28-day death in the low-risk group, while MR-proADM, Lac, SOFA score and APACHEⅡ score were the risk factors of 28-day mortality in the medium-high-risk group. In each group, MR-proADM had a good predictive ability for the prognosis of patients with sepsis (P < 0.001). Especially in low-risk patients with sepsis, the predictive ability of MR-proADM was better than other indicators. Kaplan-Meier survival curve suggested that the patients with MR-proADM >2.53 nmol/L had worse prognosis than those with MR-proADM ≤2.53 nmol/L, and the difference was statistically significant (P < 0.001). In the low-risk group, the mortality of patients increased from 7.8% to 58.2% if MR-proADM >2.53 nmol/L. Conclusions MR-proADM is a risk factor for 28-day mortality in patients with sepsis, and MR-proADM can early identify the poor prognosis of low-risk patients with sepsis.
Key words: Mid-regional proadrenomedullin    Low-risk    Early recognition    Sepsis    Prognosis    

在临床中,脓毒症表现形式多样、起病隐匿、进展迅速。在最初怀疑感染时启动恰当的治疗策略,可以最大限度地降低患者治疗不足或治疗过度的风险。血清标志物可能会提供简便快捷的临床信息帮助确定临床策略。肾上腺髓质中段肽(mid-regional proadrenomedullin, MR-proADM)是一种由多个组织产生的肽类激素,用于稳定微循环和保护内皮功能[1-4],在大多数脓毒症介质和细胞因子的上调/下调中发挥中心作用。实际上,在下呼吸道感染[5]、侵袭性真菌感染造成脓毒症休克[6]的患者中ADM的浓度会迅速下降,提示MR-proADM在脓毒症患者的早期危险分层中可能具有重要的临床应用价值。研究证实,MR-proADM单独或联合其他生物标志物和评分对脓毒症患者的诊断及预后评估中具有良好的预测价值[7-8]。本研究检测MR-proADM对不同程度器官衰竭的脓毒症患者不良预后的预测能力,并探讨MR-proADM是否对低风险患者中的重症患者有早期识别作用。

1 资料与方法 1.1 一般资料

本研究为前瞻性队列研究,纳入2018年12月至2020年12月于中国康复研究中心急诊重症监护室(emergency intensive care unit, EICU)收治的脓毒症患者。纳入标准:患者符合脓毒症-3.0诊断标准[9]。排除标准:年龄 < 18岁,妊娠,留观时间 < 24 h,患者及家属拒绝参加,临床资料缺失或失访。本研究经中国康复研究中心医学伦理委员会审批通过(2018-101-1)。

1.2 方法

记录患者的年龄、性别、身高、体重、体温、心率、呼吸频率、血压、基础疾病、感染部位、发病时间、就诊时间,血常规、生化、凝血功能等实验室检查结果,就诊24 h内完善序贯器官衰竭(sequential organ failure assessment, SOFA)评分、急性生理学及慢性健康状况(acute physiology and chronic health evaluation, APACHE)Ⅱ评分,并行C反应蛋白(C-reactive protein, CRP)、乳酸(lactic acid, Lac)、白介素6(interleukin-6, IL-6)检查。患者就诊24 h内留取血清,保存在-80 ℃冰箱,分批送实验室检测MR-proADM,使用JM-1301H1人肾上腺髓质前体中段肽试剂盒(Absci公司,美国),试验方法为双抗体-一步夹心法酶联免疫吸附试验。每日记录患者生命体征、液体平衡,记录是否发生急性肾损伤(acute kidney injury, AKI)、有创或无创机械通气(mechanical ventilation, MV)、血管活性药物使用情况、受累器官数目等,连续记录一周;第28天对患者进行院内或电话随访。参照既往研究[10-11],根据SOFA评分,将患者分为低风险组(SOFA≤7分)和中高风险组(SOFA>7分)。

1.3 统计学方法

采用SPSS 26.0和MedCalc 19.0软件行统计学分析。经正态性检验后的偏态分布连续变量以中位数(四分位间距)[MQ1Q3)]表示,组间比较采用Mann-whitney U检验。分类变量以例数和百分比表示,组间比较采用χ2检验。采用比例风险回归模型(COX回归模型)分析探讨低风险组和中高风险组患者28 d死亡的危险因素。应用受试者工作特征(receiver operating characteristic, ROC)曲线评价各生物标志物和评分对患者28 d预后的预测能力,计算曲线下面积(area under curve, AUC),采用DeLong方法进行比较。应用Kaplan-Meier生存曲线分析MR-proADM对患者28 d预后的影响。以P < 0.05为差异有统计学意义。

2 结果 2.1 一般临床资料

共连续收治223例脓毒症患者;剔除留观时间 < 24 h的患者7例、资料不全者5例及失访患者6例,最终共纳入205例患者。患者年龄中位数为84岁,其中男性122例,28 d病死率为41.0%(84/205)。根据患者SOFA评分,将患者分为低、中高风险组。结果发现随着SOFA评分的增加,患者MR-proADM、CRP浓度均升高,但差异无统计学意义。两组间器官功能障碍数目、AKI、血管活性药物使用、Lac、IL-6、SOFA评分和APACHEⅡ评分差异有统计学意义(均P < 0.05),而在基础疾病、感染部位和机械通气方面差异无统计学意义。见表 1

表 1 根据SOFA评分分组的患者临床资料的比较 Table 1 Comparison of clinical data of the patients grouped by SOFA score
指标 低风险组(n=132) 中高风险组(n=73) Z/χ2 P
年龄[岁,MQ1Q3)] 83(72, 88) 84(74, 88) -0.055 0.956
男性(例,%) 78(59.1) 44(60.3) 0.027 0.883
基础疾病(例,%)
  高血压 84(64.4) 36(47.9) 3.97 0.055
  糖尿病 57(43.2) 25(34.2) 1.564 0.236
  冠心病 43(32.6) 21(28.8) 0.318 0.638
  脑卒中 34(25.8) 16(21.9) 0.376 0.612
  恶性肿瘤 16(12.1) 14(19.2) 1.874 0.216
感染部位(例,%)
  呼吸系统 80(60.6) 43(58.9) 0.057 0.882
  消化系统 21(15.9) 13(17.8) 0.123 0.845
  泌尿系统 14(10.6) 11(15.1) 0.874 0.377
  其他 17(12.9) 6(8.2) 1.025 0.363
受累脏器数目[个,MQ1Q3)] 3(2, 4) 4(4, 5) -7.156 < 0.001
AKI(例,%) 79 (59.8) 61(83.6) 12.206 < 0.001
MV(例,%) 34 (25.8) 26(35.6) 2.207 0.151
血管活性药物(例,%) 13 (9.8) 42 (57.5) 54.447 < 0.001
血清标志物[MQ1Q3)]
  MR-proADM(nmol/L) 2.34(1.48, 3.09) 2.37(1.86, 3.55) -0.938 0.349
  CRP(mg/L) 105.6(34.9, 218.7) 120.6(47.5, 207.8) -0.717 0.475
  Lac(mmol/L) 2.0(1.2, 4.1) 3.6(2.6, 7.0) -5.076 < 0.001
  IL-6(pg/mL) 111.3(38.3, 348.8) 193.5(88.4, 561.7) -2.863 0.004
危重症评分[分,MQ1Q3)]
  SOFA评分 5(4, 6) 9(8, 12) -11.931 < 0.001
  APACHEⅡ评分 21(18, 26) 28(24, 36) -6.500 < 0.001
住院时间[d,MQ1Q3)] 12(6, 21) 10(2, 21) -2.074 0.038
注:SOFA评分为序贯器官衰竭评分,AKI为急性肾损伤,MV为机械通气,MR-proADM为肾上腺髓质中段肽,CRP为C反应蛋白,Lac为乳酸,IL-6为白介素6,APACHEⅡ评分为急性生理学及慢性健康状况评分
2.2 患者28 d预后的COX回归分析

将单因素分析显示P < 0.05的变量纳入多因素回归模型,以探讨患者28 d死亡的危险因素。在低风险组中,年龄、MR-proADM、MV、IL-6和APACHEⅡ评分是患者28 d死亡的危险因素,在中高风险组中,MR-proADM、Lac、SOFA评分和APACHEⅡ评分是患者28 d死亡的危险因素(表 2)。

表 2 不同SOFA评分分组患者28 d死亡的COX回归分析 Table 2 Multivariate Cox regression analysis of 28-day mortality in different SOFA score groups
指标 单因素分析 多因素分析
HR(95%CI P HR(95%CI P
低风险组
  年龄 1.043(1.007~1.081) 0.019 1.070(1.018~1.124) 0.007
  MV 3.101(1.637~5.876) 0.001 2.830(1.437~5.574) 0.003
  MR-proADM 1.537(1.356~1.741) < 0.001 1.565(1.364~1.796) < 0.001
  IL-6 1.001(1.000~1.001) 0.001 1.001(1.000~1.001) 0.007
  SOFA 1.326(1.050~1.674) 0.018
  APACHEⅡ 1.136(1.076~1.199) < 0.001 1.128(1.055~1.207) < 0.001
中高风险组
  MR-proADM 1.223(1.067~1.401) 0.004 1.177(1.008~1.375) 0.040
  IL-6 1.135(1.063~1.211) < 0.001 1.110(1.038~1.188) 0.002
  SOFA 1.333(1.193~1.490) < 0.001 1.072(1.027~1.119) 0.002
  APACHEⅡ 1.091(1.051~1.132) < 0.001 1.188(1.048~1.347) 0.007
注:SOFA评分为序贯器官衰竭评分,MV为机械通气,MR-proADM为肾上腺髓质中段肽,IL-6为白介素6,APACHEⅡ评分为急性生理学及慢性健康状况Ⅱ评分
2.3 各血清标志物及危重症评分在不同分组患者中的表现

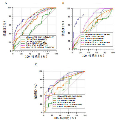
在全部研究人群、低风险组和中高风险组中,MR-proADM均具有较好的预测能力,AUC分别为0.805(95%CI:0.744~0.857)、0.850(95%CI:0.777~0.906)和0.802(95%CI:0.692~0.886),见图 1。在低风险组中,MR-proADM对患者的预测能力优于其他指标(P < 0.05)。在中高风险组中,虽然MR-proADM的ROC曲线下面积最大,诊断能力优于CRP、Lac、IL-6,但与SOFA评分和APACHEⅡ评分相比,差异无统计学意义。在全部研究人群中,MR-proADM截点>2.53 nmol/L,敏感度和特异度分别为73%、78%。在低风险组和中高风险组中,MR-proADM截点分别为>2.90 nmol/L和>2.53 nmol/L,敏感度、特异度分别为74%、88%和65%、85%。

A为全体研究人群;B为低风险组;C为中高风险组 图 1 各生物标志物及评分预测脓毒症患者28 d死亡的ROC曲线 Fig 1 ROC curve of biomarkers and scores predicting 28-day mortality in patients with spesis
2.4 不同风险组中MR-proADM浓度不同的患者生存分析比较

根据MR-proADM的截点(2.53 nmol/L)做Kaplan-Meier生存曲线,MR-proADM>2.53 nmol/L的患者生存率低于MR-proADM≤2.53 nmol/L的患者(χ2=54.620,P < 0.001),见图 2。进一步把患者分为SOFA≤7分+MR-proADM≤2.53 nmol/L、SOFA≤7分+MR-proADM>2.53 nmol/L、SOFA>7分+MR-proADM≤2.53 nmol/L和SOFA>7分+MR-proADM>2.53 nmol/L四组,做Kaplan-Meier生存曲线,提示无论在低风险组还是中高风险组中,MR-proADM>2.53 nmol/L比MR-proADM≤2.53 nmol/L的患者预后差(χ2=41.853,P < 0.001;χ2=17.276,P < 0.001),见图 3。在低风险组中,如果MR-proADM>2.53 nmol/L,患者的病死率由7.8%上升至58.2%,见图 4

图 2 MR-proADM >2.53 nmol/L和MR-proADM≤2.53 nmol/L两组患者28 d生存率比较 Fig 2 Comparison of 28-day survival rate between groups with MR-proADM > 2.53nmol/L and MR-proADM ≤ 2.53 nmol/L

图 3 不同风险组中MR-proADM浓度不同的患者28 d生存率比较 Fig 3 Comparison of 28-day survival rate in patients with different concentrations of MR-proADM in different risk groups

图 4 比较低风险组和中高风险组中MR-proADM浓度不同的患者28 d病死率 Fig 4 Comparison of the 28-day mortality of patients with different concentration of MR-proADM between the low-risk group and the medium-high risk group
3 讨论

脓毒症-3共识提出使用SOFA评分评估器官衰竭,以确定疑似感染的高危患者[9]。早期的SOFA评分可能不能完全反映患者的病情,48 h的SOFA评分或delta SOFA评分比24 h内SOFA评分对患者的预后评估能力更好[12-13]。脓毒症患者往往病情进展迅速,最好能找到一个疾病早期就明显升高的指标来指导风险分层。既往的研究表明,随着微循环完整性的破坏和毛细血管的渗漏,MR-proADM浓度增加,从而反映出器官功能障碍的早期发展阶段[4, 14]。因此,微循环功能的早期评估可能会提供一种比传统生物标志物或评分系统更准确的方法来评估疾病进展和治疗效果[14]

本研究中COX回归分析提示无论在低风险组还是中高风险组中,MR-proADM均为患者28 d死亡的危险因素,这与Elke等[10]的研究结果一致。最近有研究报道MR-proADM对患者28 d和90 d病死率的预测能力很好,可识别疾病的严重程度,与感染部位无关[15]。所以该研究指出,首先MR-proADM可以作为一种工具来帮助早期识别疾病的严重程度,其次也可用于帮助临床决策,有可能优化早期患者治疗策略。本研究还发现在低风险组中,MR-proADM对脓毒症患者28 d预后的预测能力高于CRP、Lac、IL-6、SOFA评分和APACHEⅡ评分。既往对严重脓毒症和脓毒症休克患者的研究也显示,与降钙素原(procalcitonin, PCT)、CRP和乳酸等常规生物标志物相比,MR-proADM具有最高的预测价值,而且发现器官衰竭程度较低的患者表现最好[16-17]。还有研究显示在SOFA评分≤6分的患者中,MR-proADM能显著提高SOFA评分的预测能力[18]。感染引起的初始微循环功能障碍可能会推动预期的病理生理发展,导致器官功能障碍和最终的多器官衰竭[19],测量MR-proADM值可能提供有关潜在疾病进展的早期指标[14]

本研究采用ROC曲线分析来观察各指标对患者28 d死亡的预测能力,MR-proADM的截点为2.53 nmol/L,以这个截点为分界点做Kaplan-Meier曲线,提示MR-proADM>2.53 nmol/L比MR-proADM≤2.53 nmol/L的患者预后差。本研究在不同的风险分组中进一步行Kaplan-Meier曲线分析,也得到了类似的结果。而且,在低风险组中,如果MR-proADM>2.53 nmol/L,患者的病死率由7.8%上升至58.2%。这与Elke等[10]研究结果相一致,具有高MR-proADM浓度和低/中等SOFA评分的患者,其28 d和90 d病死率分别为57.4%和68.9%,而低MR-proADM浓度和低/中等SOFA评分患者的28 d和90 d病死率分别为19.8%和30.8%。既往研究也有类似发现,如果患者的MR-proADM浓度较高,虽然最初器官功能障碍水平较低或中等,患者更易发展为脓毒症相关的多器官衰竭[11, 16],其后续的病情进展、抗生素使用延迟、再住院率增加[20]。有研究指出MR-proADM可以准确地识别出临床感染症状轻微但疾病进展可能性大的患者,在疾病早期MR-proADM浓度升高≥1.5 nmol/L,可能疾病严重程度已经很高或进一步进展的可能性很大[21]。对于MR-proADM浓度最高(例如>2.75 nmol/L)的患者,更个性化的治疗方法可能最为有益[10]。要充分重视SOFA评分较低的患者,因为其中一部分处于疾病早期,病情有进展的可能性,而在临床中往往被忽视。将MR-proADM纳入早期脓毒症治疗方案可能有助于指导早期诊断干预,并在进一步发生器官功能障碍之前对这些患者进行更深入的治疗。

本研究有一定的局限性:首先是单中心研究,样本量小,易产生选择性偏倚;其次,没有动态监测MR-proADM的浓度,有研究显示下呼吸道感染患者72 h以上MR-proADM浓度升高或持续升高,患者生存率降低[22];但本研究未能观察到MR-proADM浓度的动态变化对患者预后的提示作用;再次,部分患者PCT数据不全导致MR-proADM没有与PCT进行比较,而有研究提示PCT对脓毒症患者的预后能力优于MR-proADM[23]

综上所述,MR-proADM可以作为一种可靠的风险分层工具,提高SOFA评分预测脓毒症患者预后不良的能力,但其临床价值还需进一步的评估。

利益冲突  所有作者声明无利益冲突

作者贡献声明  王娜:研究设计、数据收集及整理、统计学分析、论文撰写;商娜、李俊玉:数据收集及整理、统计学分析;刘慧珍、王雅慧:数据收集及整理;席修明:论文指导与修改

参考文献
[1] Temmesfeld-Wollbrück B, Brell B, Dávid I, et al. Adrenomedullin reduces vascular hyperpermeability and improves survival in rat septic shock[J]. Intensive Care Med, 2007, 33(4): 703-710. DOI:10.1007/s00134-007-0561-y
[2] Müller-Redetzky HC, Will D, Hellwig K, et al. Mechanical ventilation drives pneumococcal pneumonia into lung injury and sepsis in mice: protection by adrenomedullin[J]. Crit Care, 2014, 18(2): R73. DOI:10.1186/cc13830
[3] Carrizo GJ, Wu RQ, Cui XX, et al. Adrenomedullin and adrenomedullin-binding protein-1 downregulate inflammatory cytokines and attenuate tissue injury after gut ischemia-reperfusion[J]. Surgery, 2007, 141(2): 245-253. DOI:10.1016/j.surg.2006.05.017
[4] Vigué B, Leblanc PE, Moati F, et al. Mid-regional pro-adrenomedullin (MR-proADM), a marker of positive fluid balance in critically ill patients: results of the ENVOL study[J]. Crit Care, 2016, 20(1): 363. DOI:10.1186/s13054-016-1540-x
[5] Albrich WC, Rüegger K, Dusemund F, et al. Biomarker-enhanced triage in respiratory infections: a proof-of-concept feasibility trial[J]. Eur Respir J, 2013, 42(4): 1064-1075. DOI:10.1183/09031936.00113612
[6] Decker SO, Sigl A, Grumaz C, et al. Immune-response patterns and next generation sequencing diagnostics for the detection of mycoses in patients with septic shock-results of a combined clinical and experimental investigation[J]. Int J Mol Sci, 2017, 18(8): 1796. DOI:10.3390/ijms18081796
[7] 王惠文, 邢柏. 国家早期预警评分联合肾上腺髓质中段肽及降钙素原对脓毒症患者预后的预测价值研究[J]. 中国全科医学, 2020, 23(21): 2647-2652. DOI:10.12114/j.issn.1007-9572.2020.00.272
[8] 雷艳梅, 周潇, 马建国, 等. 降钙素原联合肾上腺髓质素前体中段肽在脓毒症诊断中的应用[J]. 广东医学, 2017, 38(9): 1383-1385. DOI:10.13820/j.cnki.gdyx.2017.09.010
[9] Singer M, Deutschman CS, Seymour CW, et al. The third international consensus definitions for sepsis and septic shock (Sepsis-3)[J]. JAMA, 2016, 315(8): 801-810. DOI:10.1001/jama.2016.0287
[10] Elke G, Bloos F, Wilson DC, et al. The use of mid-regional proadrenomedullin to identify disease severity and treatment response to sepsis - a secondary analysis of a large randomised controlled trial[J]. Crit Care, 2018, 22(1): 79. DOI:10.1186/s13054-018-2001-5
[11] Elke G, Bloos F, Wilson DC, et al. Identification of developing multiple organ failure in sepsis patients with low or moderate SOFA scores[J]. Crit Care, 2018, 22(1): 147. DOI:10.1186/s13054-018-2084-z
[12] García-Gigorro R, Sáez-de la Fuente I, Marín Mateos H, et al. Utility of SOFA and Δ-SOFA scores for predicting outcome in critically ill patients from the emergency department[J]. Eur J Emerg Med, 2018, 25(6): 387-393. DOI:10.1097/MEJ.0000000000000472
[13] Chopra S, Pednekar S, Karnik ND, et al. A study of the outcome of critically ill elderly patients in a tertiary care hospital using SOFA score[J]. Indian J Crit Care Med, 2021, 25(6): 655-659. DOI:10.5005/jp-journals-10071-23883
[14] Xie ZH, Chen WS, Yin YZ, et al. Adrenomedullin surges are linked to acute episodes of the systemic capillary leak syndrome (Clarkson disease)[J]. J Leukoc Biol, 2018, 103(4): 749-759. DOI:10.1002/JLB.5A0817-324R
[15] Baldirà J, Ruiz-Rodríguez JC, Wilson DC, et al. Biomarkers and clinical scores to aid the identification of disease severity and intensive care requirement following activation of an in-hospital sepsis code[J]. Ann Intensive Care, 2020, 10(1): 7. DOI:10.1186/s13613-020-0625-5
[16] Andaluz-Ojeda D, Nguyen HB, Meunier-Beillard N, et al. Superior accuracy of mid-regional proadrenomedullin for mortality prediction in sepsis with varying levels of illness severity[J]. Ann Intensive Care, 2017, 7(1): 15. DOI:10.1186/s13613-017-0238-9
[17] Enguix-Armada A, Escobar-Conesa R, García-De La Torre A, et al. Usefulness of several biomarkers in the management of septic patients: C-reactive protein, procalcitonin, presepsin and mid-regional pro-adrenomedullin[J]. Clin Chem Lab Med, 2016, 54(1): 163-168. DOI:10.1515/cclm-2015-0243
[18] Bernal-Morell E, García-Villalba E, Vera MDC, et al. Usefulness of midregional pro-adrenomedullin as a marker of organ damage and predictor of mortality in patients with sepsis[J]. J Infect, 2018, 76(3): 249-257. DOI:10.1016/j.jinf.2017.12.003
[19] Ince C, Mayeux PR, Nguyen T, et al. The endothelium in sepsis[J]. Shock, 2016, 45(3): 259-270. DOI:10.1097/SHK.0000000000000473
[20] del Castillo JG, Wilson DC, Clemente-Callejo C, et al. Biomarkers and clinical scores to identify patient populations at risk of delayed antibiotic administration or intensive care admission[J]. Crit Care, 2019, 23(1): 335. DOI:10.1186/s13054-019-2613-4
[21] Saeed K, Wilson DC, Bloos F, et al. The early identification of disease progression in patients with suspected infection presenting to the emergency department: a multi-centre derivation and validation study[J]. Crit Care, 2019, 23(1): 40. DOI:10.1186/s13054-019-2329-5
[22] Hartmann O, Schuetz P, Albrich WC, et al. Time-dependent Cox regression: serial measurement of the cardiovascular biomarker proadrenomedullin improves survival prediction in patients with lower respiratory tract infection[J]. Int J Cardiol, 2012, 161(3): 166-173. DOI:10.1016/j.ijcard.2012.09.014
[23] Esposito S, Gangi MD, Cardinale F, et al. Sensitivity and specificity of soluble triggering receptor expressed on myeloid cells-1, midregional proatrial natriuretic peptide and midregional proadrenomedullin for distinguishing etiology and to assess severity in community-acquired pneumonia[J]. PLoS One, 2016, 11(11): e0163262. DOI:10.1371/journal.pone.0163262