中华急诊医学杂志  2022, Vol. 31 Issue (8): 1102-1109   DOI: 10.3760/cma.j.issn.1671-0282.2022.08.015
血尿素氮/白蛋白比值在急性非静脉曲张性上消化道出血患者预后中的价值
赵香梅 , 徐雅欣 , 王泽华 , 秦历杰 , 杨蕾 , 陈龙 , 朱娟     
河南省人民医院(河南大学人民医院)急诊部,郑州 450003
摘要: 目的 探讨血尿素氮(Blood urea nitrogen, BUN)与白蛋白(Albumin)(B/A)比值在急性非静脉曲张性上消化道出血(acute non-variceal upper gastrointestinal bleeding,ANVUGIB)患者预后中的价值。方法 前瞻性收集2019年1月至2021年12月急诊入院的上消化道出血(upper gastrointestinal bleeding, UGIB)患者1 120例,最终入选449例符合条件的ANVUGIB患者,记录患者的临床资料、实验室检查及内镜结果,比较30 d存活组和死亡组的数据。结果 存活组和死亡组在年龄、平均动脉压、脉率、白蛋白、总蛋白、血尿素氮、血糖水平、GBS、Rockall、AIMS65评分及血尿素氮/白蛋白(B/A)比值方面差异有统计学意义(P均<0.05),死亡组B/A比值明显高于存活组[(24.9 ± 16.4)vs. (9.0 ± 8.6) mg/g,P<0.001]。ROC曲线分析显示B/A比值预测30 d死亡的最佳临界值为32.08 mg/g(敏感度0.776,特异度0.823), B/A比值≥32.08 mg/g者与B/A<32.08 mg/g者30 d预后的Kaplan-Meier生存曲线差异有统计学意义(Log Rank 32.229, P<0.001)。多因素回归分析显示,B/A比值(≥32.08 mg/g)是ANVUGIB患者30 d死亡的独立预测因素(OR 4.87,95%CI 1.94~6.85,P<0.001)。B/A比值、GBS、Rockall和AIMS65评分预测30 d死亡的受试者工作曲线下面积(AUC)分别为0.855(95%CI 0.807~0.902),0.849(95%CI 0.796~0.901)、0.657(95%CI 0.576~0.737)、0.828(95%CI 0.774~0.883)。结论 B/A比值可作为ANVUGIB患者30天死亡预测的简单有效的预后预测指标。
关键词: 血尿素氮    白蛋白    血尿素氮/白蛋白比值    上消化道出血    非静脉曲张性上消化道出血    胃肠镜    预后    急诊    
The prognostic value of blood urea nitrogen/albumin ratio in patients with acute non-variceal upper gastrointestinal bleeding
Zhao Xiangmei , Xu Yaxin , Wang Zehua , Qin Lijie , Yang Lei , Chen Long , Zhu Juan     
Emergency Department of Henan Provincial People's Hospital (People's Hospital of Henan University), Zhengzhou, 450003, China
Abstract: Objective To determine whether the blood urea nitrogen to serum albumin (B/A) ratio was a useful prognostic factor of mortality in the patients with acute non-variceal upper gastrointestinal bleeding (ANVUGIB). Methods Totally 1 120 patients with acute upper gastrointestinal bleeding (VUGIB) admitted to the Emergency Department from January 2019 to December 2021 were prospectively and continuously collected and 449 eligible patients with acute non-varicose upper gastrointestinal tract were finally enrolled. The clinical data, laboratory tests and endoscopic results of the patients were recorded, and the data from the 30-day survival group and the non-survival group were compared and analyzed. Results Significant differences were observed in age, mean arterial pressure, pulse rate, albumin levels, total protein levels, blood urea nitrogen levels, glucose, Glasgow-Blatchford score (GBS), Rockall, and AIMS65 scores between the survival and non-survival groups (all P < 0.05). The B/A ratio in the non-survival group was significantly higher than that in the survival group [(24.9 ± 16.4) vs. (9.0 ± 8.6) mg/g, P < 0.001]. Receiver operating characteristic (ROC) curve showed that the best cutoff value of B/A ratio for predicting 30-day death was 32.08 mg/g, with a sensitivity of 0.776 and specificity of 0.823. There was a significant difference in the 30-day Kaplan-Meier survival curve between patients with B/A ratio ≥32.08 mg/g and those with B/A ratio < 32.08 mg/g (Log Rank 32.229, P < 0.001). Multivariate logistic regression analysis revealed that the B/A ratio (≥32.08 mg/g) was associated with 30-day mortality (OR=4.87, 95% CI: 1.94-6.85, P < 0.001). Area under the ROC curve (AUC) for B/A ratio, GBS, Rockall and AIMS65 scores for predicting 30-day mortality were 0.855 (95% CI: 0.807-0.902), 0.849 (95% CI: 0.796-0.901), 0.657 (95% CI: 0.576-0.737), and 0.828 (95% CI: 0.774-0.883), respectively. Conclusions The B/A ratio is a simple but potentially useful prognostic factor of mortality in the ANVUGIB patients.
Key words: Blood urea nitrogen    Albumin    Blood urea nitrogen/albumin ratio    Upper gastrointestinal bleeding    Non-variceal upper gastrointestinal bleeding    Gastrointestinal endoscopy    Prognosis    Emergency    

急性上消化道出血(upper gastrointestinal bleeding, UGIB) 是急诊常见的危急重症之一,其发病率约为(20~60)/10万[1],尽管随着药物和治疗技术的进步,UGIB总体发病率有下降趋势,然而非静脉曲张性上消化道出血(non-variceal upper gastrointestinal bleeding,ANVUGIB)仍然是一个重大的医疗问题,其病死率仍在10%左右[2]。急性UGIB再出血及死亡危险因素包括高龄、血流动力学不稳定、整体健康状况不佳、较多合并症、需反复输血、并发感染、低血红蛋白水平、高血尿素氮、肌酐或转氨酶水平[1]。基于这些因素,已经开发了多种预后评分系统来识别高危患者或预测再出血、紧急内镜干预和死亡风险[3-4]。然而,由于这些评分系统需要使用较多变量,某些评分系统需要内窥镜检查结果才能进行,不便于临床应用,尤其在急诊就诊环境下上述评分系统更加难以实施应用。

急性上消化道出血时,肾脏对尿素的重吸收增加以及肠道吸收血液代谢产物等可导致血尿素氮水平升高,而血清白蛋白水平在感染、某些消耗性疾病或危重疾病状态下降低。既往研究显示血尿素氮和白蛋白水平影响急性上消化道出血患者的预后[5-6]。近年来,有研究发现血尿素/白蛋白(B/A)比值在某些感染性疾病如社区获得性肺炎、脓毒症患者中明显升高,并可作为病情严重程度和疾病预后的独立预测指标[7-9]。然而,鲜有研究关注B/A比值在急性非静脉曲张性上消化道出血患者中的变化及其对预后的影响。因此,本研究试图探讨血尿素/白蛋白比值在急性非静脉曲张性上消化道出血患者预后中的应用价值。

1 资料与方法 1.1 研究人群

本研究是一项数据前瞻性观察研究,严格遵守《赫尔辛基宣言》中人体医学研究的伦理原则,并经本院伦理委员会批准(审批号:2019-057),所有入选患者均由其本人或家属签署知情同意书。连续收集2019年1月1日至2021年12月31日就诊于河南省人民医院急诊科的急性上消化道出血患者,记录患者的一般临床资料、生化检查结果及患者预后情况。

入选标准:①年龄≥18岁;②急性非外伤性、非静脉曲张性上消化道出血患者;

排除标准:①年龄<18岁;②外伤性上消化出血患者;③食管胃底静脉曲张性上消化道出血患者;④下消化道出血患者;⑤出血原因不明者;⑥24 h后行胃镜检查者;⑦未行内镜检查者;⑧拒绝行化验检查者;⑨患者或家属拒绝参加者;

研究期间,共有1 120名消化道出血患者就诊于本院急诊科,其中,排除年龄小于18岁患者4例、外伤性上消化道出血4例、食管胃底静脉曲张出血204例、24 h后行内镜检查者132例、未行内镜检查者96例、下消化道出血221例、出血原因不明者4例、拒绝行化验检查者2例及不愿参加本研究者4例,最终449例患者入组本研究。记录患者的性别、年龄、初始血压和脉率、初始症状(黑便、呕血等)、有无既往出血史和用药史等情况。记录对UGIB构成风险的药物,如抗血小板药物、非甾体类抗炎药、抗凝药如华法林、利伐沙班等。主要合并症定义为患者患有恶性肿瘤、心力衰竭(左心室射血分数≤40%)、缺血性心脏病(急性冠状动脉综合征或稳定型心绞痛)、肝衰竭(影像学或肝活检诊断为肝硬化)或肾衰竭[肾功能下降3个月或以上和或估计肾小球滤过率(eGFR)<60 mL/(min·1.73 m2)]

1.2 实验室检查和内窥镜评估

实验室检查包括初始血红蛋白、血清C反应蛋白(CRP)、白细胞计数、血尿素氮、白蛋白和总蛋白等,均在就诊1 h内完成抽血化验,且均为输血前的基线化验。BUN、白蛋白等生化指标通过雅培全自动生化分析仪C16000检测。所有内镜检查均在UGIB事件24 h内进行。内镜检查均使用同一型号胃肠镜(GIF-HQ290,Olympus,日本)进行。内镜数据包括是否有胃、十二指肠出血、出血原因以及是否有内镜下治疗,以上数据用于计算Glasgow-Blatchford出血评分(GBS)、Rockall评分和AIMS65评分。

1.3 临床结局

主要终点是30 d病死率,定义为首次出血事件后30 d内发生的任何死亡。依30 d内死亡或存活将患者分为死亡组和存活组。再出血定义为24 h后再次出现与休克发展相关的新鲜呕血和或黑便,或血红蛋白浓度下降≥20 g/L。本研究中我们在首次出血事件后7 d内评估是否有再出血。

1.4 统计学方法

符合正态分布的连续变量以均数±标准差(x±s)表示,两组间比较采用Student t检验,不符合正态分布的,以中位数(四分位间距)[M(Q1, Q3)]表示,组间比较采用Mann-Whitney U检验。分类变量以频数(百分比)表示,酌情使用卡方检验或Fisher精确概率法进行组间比较。应用多因素Logistic回归模型评估30 d死亡的预测因素,单变量分析显示P<0.05的变量和被认为具有临床相关性的变量纳入多因素logistic回归模型以识别独立预测因素。应用受试者工作特征曲线(ROC)分析并确定与30天死亡相关变量的曲线下面积(AUC),并通过计算最大约登指数(约登指数=灵敏度+特异度-1)寻找最佳截断值。应用Kaplan-Meier法绘制不同分组的生存曲线,应用log-rank检验比较以最佳截断值分组的两组间30 d生存差异。统计分析使用SPSS19.0和MedCalc15.2.2软件进行,以P<0.05为差异具有统计学意义。

2 结果 2.1 患者的一般资料

449例患者的年龄为(74.6±16.4)岁,其中男性301例(67.0%),两组患者性别、既往出血史、合并高血压、缺血性脑血管病、糖尿病、肝肾功能异常、恶性肿瘤以及口服药物方面无明显差别(P>0.05),死亡组患者年龄高于存活组[(77.7 ± 15.6)岁vs. (68.2 ± 16.5)岁,P<0.001],死亡组合并缺血性心脏病患者所占比例高于存活组(24.7% vs.14.9%,P=0.033)。人口学特征、合并症、实验室检查结果、Glasgow-Blatchford评分(GBS)、Rockall评分和AIMS65评分等见表 1

表 1 入选患者的基线特征 Table 1 Baseline characteristics of the enrolled patients
指标 总例数(n=449) 存活(n=372) 死亡(n=77) t/χ2/U P
年龄[岁,(x±s)] 74.6 ± 16.4 68.2 ± 16.5 77.7 ± 15.6 11.217 <0.001
男性(n, %) 301(67.0) 248 (66.7) 53(68.8) 0.135 0.713
既往上消化道出血史(n, %) 76(16.9) 64 (17.2) 12(15.6) 0.119 0.730
生命体征
  平均动脉压(mmHg) 85.9 ± 19.7 86.2 ± 18.0 81.1± 20.2 2.476 0.042
  呼吸频率(次/min) 19.2 ± 7.6 18.8 ± 7.9 20.4 ±6.8 1.391 0.246
  脉率(次/min) 97.0 ± 27.6 94.8 ± 26.7 106.8 ± 30.3 -0.121 0.013
合并疾病(n, %)
  高血压 178(39.6) 148(39.8) 30(38.9) 0.018 0.893
  糖尿病 136(30.3) 111 (29.8) 25(32.5) 0.209 0.648
  缺血性心脏病 74(16.5) 55 (14.9) 19(24.7) 4.534 0.033
  缺血性脑血管病 55(12.2) 45 (12.1) 10(13.0) 0.047 0.828
  心功能不全 30(6.7) 23 (6.2) 7 (9.1) 0.613 0.414
  肝衰竭 59(13.1) 22 (5.9) 6 (7.8) 0.546a
  肾功能不全 34(7.6) 25 (6.7) 9 (11.7) 2.250 0.134
  恶性肿瘤 57(12.7) 48(12.9) 9 (11.7) 0.085 0.771
口服药物(n, %)
  抗血小板药 134(29.8) 109(29.3) 25(32.5) 0.306 0.580
  非甾体类消炎药 43(9.6) 36(9.7) 7(9.1) 0.025 0.874
  抗凝药 25(5.6) 20(5.4) 5(6.5) 0.784a
实验室数据
  红细胞计数(×1012/L) 3.89 ±3.28 3.86 ±3.31 3.92 ±3.24 7.660 0.234
  血红蛋白(g/L) 86.2±34.6 89.6±37.3 79.6±24.8 -16.012 0.002
  白细胞计数(×109/L) 8.2±5.9 8.2±5.8 8.3±6.1 5.414 0.540
  白蛋白(g/L) 28.4±7.0 29.2 ± 6.9 26.8 ± 7.3 3.431 0.031
  总蛋白(g/L) 59.2±10.2 60.4±9.8 57.4±10.3 1.012 0.044
  血尿素氮(mmol/L) 10.8±8.8 8.3±6.3 12.3 ± 10.1 22.640 <0.001
  血肌酐(μmol/L) 169±348 134 ± 320 138 ± 388 12.246 0.112
  LDH(U/L) 182(147, 243) 178(150, 232) 185(141, 250) 8874.00 0.308
  CRP(mg/L) 12.0±8.4 11.6 ± 8.7 13.4 ± 7.8 -44.734 0.106
  血糖(mmol/L) 8.3±4.9 7.9±4.8 9.4 ± 5.1 -1.717 0.007
  B/A比值(mg/g) 13.8±11.2 9.0 ± 8.6 24.9 ± 16.4 -13.005 <0.001
Glasgow-Blatchford score (n,%) 27.842 0.002
  <6 222(49.4) 205(55.1) 17(22.1)
  ≥6 227(50.6) 167(44.9) 60(77.9)
Rockall score 19.544 <0.001
  0~2 235(52.3) 210(56.5) 25(32.5)
  3~4 121(26.9) 89(23.9) 32(41.6)
  ≥5 93(20.7) 73(19.6) 20(25.9)
AIMS65 score 20.370 <0.001
  0~2 239(53.2) 216(58.1) 23(29.9)
  3~5 210(46.8) 156(41.9) 54(70.1)
  ICU入住率(%) 91(20.7) 74 (19.9) 17(23.1) 0.189 0.664
注:LDH:乳酸脱氢酶;CRP:C反应蛋白;B/A:血尿素氮/白蛋白;a表示Fisher精确概率法
2.2 出血原因

在初始胃镜检查结果中,71.5%患者胃腔内可见出血。消化性溃疡所致出血最为常见(45.7%),其次是急性胃黏膜病变(30.1%)及消化道肿瘤(16.9%)。存活组消化性溃疡所致出血者高于死亡组(48.4% vs 32.5%,P=0.011),死亡组消化道肿瘤所致出血者高于存活组(22.1% vs13.2%,P=0.014),见表 2

表 2 食管胃十二指肠镜检查发现的出血原因 Table 2 Causes of bleeding by esophagogastroduodenoscopy
指标 存活(n=372) 死亡(n=77) χ2 P
消化性溃疡 180(48.4%) 25(32.5%) 6.516 0.011
急性胃黏膜病变 117(31.5%) 28(36.4%) 0.704 0.401
消化道肿瘤 49(13.2%) 17(22.1%) 6.034 0.014
未见病变 10(2.69%) 2(2.60%) 0.999b
血管异常 4(1.08%) 1(1.30%) 0.999b
Dieulafoy病 5(1.34%) 1(1.30%) 0.999b
食管黏膜撕裂 4(1.08%) 1(1.30%) 0.999b
其他a 3(0.81%) 1(1.30%) 0.530b
注:a指胆道出血2例、胃肠道术后吻合口出血1例,气管食管篓1例;b表示Fisher精确概率法
2.3 两组患者30天临床结局和特征比较

77例患者(17.1%)在出血后30 d内死亡,30 d病死率17.1%。40例(8.9%)患者初始出血7天内发生再出血事件,其中存活组再出血16例,死亡组24例,死亡组再出血率高于存活组(31.2% vs. 4.3%,P<0.001)。

死亡组患者年龄[(77.7 ± 15.6)岁vs. (68.2 ± 16.5)岁,P<0.001]、脉率[(106.8 ± 30.3) vs. (94.8 ± 26.7)次/min,P=0.013]、合并缺血性心脏病(24.7% vs.14.9%,P=0.033)、血尿素氮[(12.3 ± 10.1) mmol/L vs.(8.3±6.3) mmol/L,P=0.002]、血糖水平[(9.4 ± 5.1)mmol/L vs. (7.9±4.8) mmol/L,P=0.007]高于存活组;平均动脉压[(81.1± 20.2)mmHg vs. (86.2 ± 18.0)mmHg,P=0.042]、血红蛋白浓度[(79.6±24.8)g/L vs. (89.6±37.3) g/L,P=0.002]、白蛋白水平[(25.8 ± 7.3)g/L vs. (29.2 ± 6.9) g/L,P=0.031]和总蛋白水平[(57.4±10.3) g/L vs. (60.4±9.8) g/L,P=0.044]低于存活组,且其GBS≥6、Rockall≥5和AIMS65在3~5评分占比高于存活组(P均<0.05),死亡组患者血尿素氮/白蛋白(B/A)比值明显高于存活组[(9.0 ± 8.6)mg/g vs. (24.9 ± 16.4) mg/g,P<0.001](具体见表 1)。

2.4 B/A比值与30 d临床结局的关系

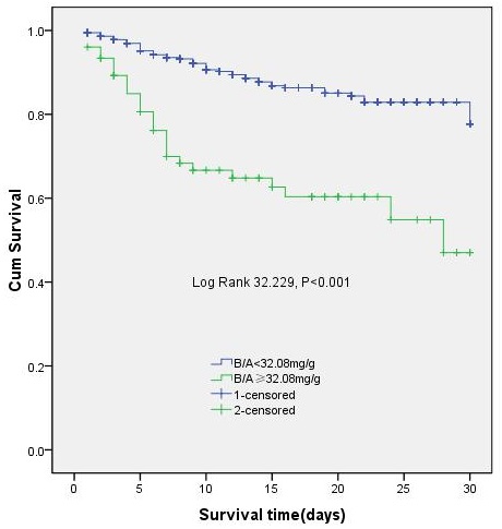
应用ROC曲线分析并根据最大约登指数计算得出B/A比值预测30 d死亡的最佳临界值为32.08 mg/g(敏感度0.776,特异度0.823)。449例患者中B/A比值≥32.08 mg/g者共135例,其中死亡组42例,存活组35例,B/A比值≥32.08 mg/g者与B/A比值<32.08 mg/g者30 d预后的生存分析曲线差异有统计学意义(Log Rank 32.229, P<0.001),见图 1

图 1 B/A≥32.08 mg/g者与B/A<32.08 mg/g者30 d生存率比较 Fig 1 omparison of 30-day survival rate between groups with B/A≥32.08 mg/g and B/A < 32.08 mg/g

单因素分析显示,年龄≥65岁、平均动脉压<80 mmHg、脉率>100次/min、合并缺血性心脏病、再出血、血红蛋白<80 g/L、白蛋白<26 g/L、总蛋白<50 g/L、血尿素氮>14.2 mmol/L、B/A比值≥32.08 mg/g、GBS≥6、Rockall评分≥5、AIMS65评分≥3以及出血原因为胃肠道肿瘤是30天死亡的预测因素。

将单因素分析显示P<0.05的变量和被认为具有临床意义的变量纳入多因素回归模型以探索30天死亡的独立预测因素,结果显示:年龄(≥65岁)、脉率(>100次/min)、合并缺血性心脏病、再出血、白蛋白水平(<26 g/L)、B/A比值(≥32.08 mg/g)、GBS(≥6)和AMIS65(≥3)是30 d死亡的独立预测因素,其OR值分别为1.35(95%CI 1.103~1.964,P=0.016)、1.68(95%CI 1.122~3.064,P=0.023)、2.52(95%CI 1.014~3.772,P=0.006)、3.68(95%CI 2.158~6.326,P=0.003)、2.23(95%CI 1.726~3.104,P=0.004)、4.87(95%CI 1.944~6.852,P<0.001)、1.04(95%CI 1.012~1.084,P=0.012)和1.54(95%CI 1.022~3.358,P=0.006)(具体见表 3)。

表 3 急性非静脉曲张性上消化道出血30 d死亡的单因素和多因素分析 Table 3 Univariate and multivariate analysis for 30~day mortality of acute non-variceal upper gastrointestinal bleeding
指标 单因素分析 多因素分析
OR 95% CI P OR 95% CI P
年龄(≥65岁) 1.56 1.006~3.037 <0.001 1.35 1.103~1.964 0.016
平均动脉压 < 80 mmHg 1.56 1.020~2.365 0.035 1.46 0.973~3.056 0.281
脉率(>100次/min) 1.52 1.014~2.264 0.041 1.68 1.122~3.064 0.023
合并缺血性心脏病 1.88 1.045~3.415 0.033 2.52 1.014~3.772 0.006
再出血(7 d内) 10.08 5.027~20.194 <0.001 3.68 2.158~6.326 0.003
血红蛋白 < 80 g/L 1.55 1.018~3.610 0.023 1.25 0.823~2.640 0.239
白蛋白 < 26 g/L 2.12 1.203~3.746 0.008 2.23 1.726~3.104 0.004
总蛋白 < 50 g/L 1.32 1.006 ~3.034 0.045 0.72 0.618~2.837 0.356
血尿素氮>14.2 mmol/L 1.37 1.002~3.751 0.001 1.21 0.133~8.496 0.632
B/A比值>32.08 mg/g 4.41 2.545~7.656 < 0.001 4.87 1.944~6.852 < 0.001
GBS≥6 4.33 2.436~7.707 < 0.001 1.04 1.012~1.084 0.012
Rockall≥5 1.44 0.813~2.541 0.211 0.79 0.534~1.143 0.245
AIMS65≥3 3.25 1.914~5.521 < 0.001 1.54 1.022~3.358 0.006
消化性溃疡 0.51 0.305~0.861 0.011 0.65 0.438~0.942 0.505
消化道肿瘤 2.13 1.153~3.948 0.014 0.87 0.113~4.396 0.773
注:GBS:Glasgow~Blatchford评分;Rockall:Rockall评分;AIMS65: AIMS65评分

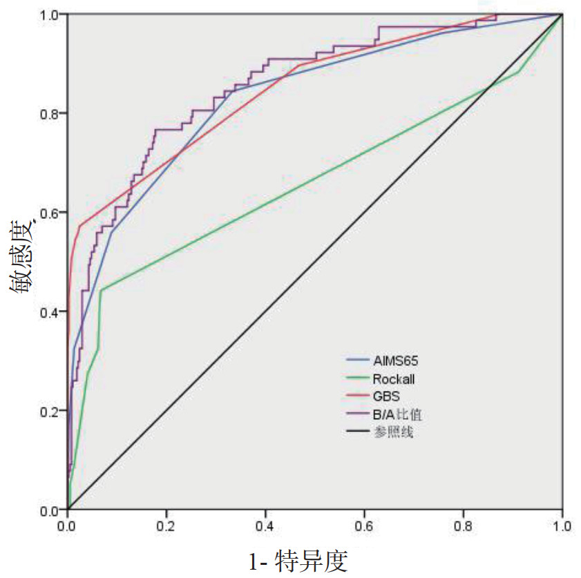
B/A比值、GBS、Rockall和AIMS65评分预测30天死亡的曲线下面积(AUC)分别为0.855(95%CI 0.807~0.902)、0.849(95%CI 0.796~0.901)、0.657(95%CI 0.576~0.737)、0.828(95%CI 0.774~0.883)(具体见图 2)。

B/A:血尿素氮/白蛋白;GBS:Glasgow-Blatchford score;Rockall:Rockall score;AIMS65: AIMS65 score 图 2 B/A比值、GBS、Rockall和AIMS65预测30 d死亡的受试者工作特征曲线 Fig 2 Receiver operating characteristic curves of B/A ratio, GBS, Rockall and AIMS65 for predicting 30-day mortality
3 讨论

急性非静脉曲张性上消化道出血是急诊最常见的内科急症之一,因此必须对此类患者进行准确评估并制定合理的诊疗治疗计划以减少灾难性结局的发生。根据我们的研究结果,B/A比值是ANVUGIB预后不良的独立预测因子。目前有较多评分系统能够对急性上消化道出血患者进行预测评估,尽管现有国际国内指南推荐GBS、Rockall和AIMS65评分系统,然而,以上评分系统在急诊环境下无法较好实施应用,其主要原因在于因为它们需要依据内镜结果、潜在疾病和体格检查,这些评分因素可能因医生主观判断不同结果有异。因此对急诊环境下的上消化道出血患者,必须探索客观的预测指标。

既往有众多研究评估影响ANVUGIB患者预后的因素,比如年龄>65岁、合并重要脏器疾患、休克、血红蛋白较基线下降幅度较大(>30 g/L)等是病情危重和预后不佳的因素[1]。依据以上研究结果现有国际国内指南推荐多种评分系统对患者进行危险分层、再出血风险预测及预后评估,以期帮助医师早期进行诊疗决策并采取恰当的急救策略和干预措施[1, 10-12]。近年来,比较和评估各种评分系统的研究层出不穷,尽管这些评分系统显示了较好的准确性,然而由于其评分涉及较多内镜表现、合并或潜在疾病挖掘以及体格检查结果,需要多个参数且有较多主观因素参与;而多数急诊患者病情危重且复杂,急诊医师必须在较短时间内对其进行评估和判断,上述评分系统对急诊就诊的ANVUGIB患者缺乏适用性和可操作性。因此,在急诊环境下,必须有客观、简捷、实用的指标指导急诊医师进行病情评估和预后判断。

目前有关B/A比值与上消化道出血患者预后关系的研究相对较少。本研究初步探索了B/A比值在急性非静脉曲张性上消化道出血患者30 d预后中的作用,结果显示:B/A比值的升高与ANVUGIB患者的不良预后具有较好的相关性,B/A比值预测急性非静脉曲张性上消化道出血患者30 d死亡具有较高的AUC,其AUC高于Rockall评分,与GBS、AIMS65评分的AUC相似,这与先前一些研究急诊感染性疾病高B/A比值与住院病死率、多器官功能衰竭和脓毒症等不良预后具有类似结果[7-9]。因此,有理由推定B/A比值是一个相对稳定的评估疾病严重性和预后的指标,其应用价值不仅限于感染性疾病[13-15]。此外,在本研究中,通过ROC曲线计算出了预示30 d死亡的最佳临界值,并与经典的ANVUGIB评分系统进行了比较,展示出较好的灵敏度和特异度。已有较多研究表明血尿素氮、肌酐、白蛋白水平影响上消化道出血患者的预后[3-6]。血清白蛋白通过维持正常的胶体渗透压、改善动脉低反应性、减少缺血-再灌注损伤及促进生理稳态中起重要作用,因此在某些急诊常见急危重症疾病如急性胰腺炎、急性心肌梗死患者中,即便合并单一血尿素氮升高或白蛋白下降,其近远期死亡发生率均升高[7, 15-17]。同样,急性上消化道出血患者血清白蛋白水平可以间接反映患者营养状况、脱水情况,进而反映疾病严重程度。急性上消化道出血发生后,由于大量血液蛋白质消化产物在肠道被吸收,血尿素氮多升高,同时,出血导致循环血容量下降致肾灌注不足也会使得血尿素氮进一步升高,因此,血尿素氮水平升高多提示患者仍有活动性出血和或全身脏器灌注不足等休克征象。血尿素氮是最广泛使用的胃肠道出血评分系统之一,是GBS中的一个变量,而白蛋白则包含在AIMS65评分中[4],这些评分只包含了两者中之一,未能联合评估和分析,而血尿素氮/白蛋白比值进一步平衡了两者在急性非静脉曲张性上消化道出血这一疾病中所占相对份额和比重,因此,B/A比值升高预示患者病情相对危重、预后不佳。

GBS评分在内镜检查前预判患者是否需要输血、内镜检查或手术等后续干预措施方面具有明显优势,涉及患者收缩压、血尿素氮、血红蛋白水平、性别、脉率、症状及心、肝肾等合并疾病,其取值范围0~23分,一般认为评分≥6分患者为中高危[11-12, 18],然而急诊就诊的消化道出血患者多数病情危急,加之近年来急诊室拥挤等现象时有发生,急诊医师很难在短时间依照以上指标进行详细评分,因此其可操作性及实用性限制了其在急诊患者的使用。Rockall评分系统包括患者年龄、伴发疾病、是否发生休克、内镜诊断和内镜下出血征象等,内容更为复杂[18],对于尚未行内镜检查的首诊急性上消化道出血患者无法进行此项评分,因此在急诊患者中难以开展进行,更加限制了其在急诊单元的应用。2011年提出的AIMS评分系统主要包括白蛋白是否<30 g/L、国际标准化比值(INR)是否>1.5、神志有否改变、收缩压是否<90 mmHg、年龄是否>65岁,其在预测消化道出血患者入住ICU、住院时间和病死率方面具有一定优势[18-19],其纳入的危险因素和化验指标相对简单,易于评估,因此在临床应用中相对方便。然而这一包含了5个危险因素的评分系统中,年龄因素占据一定权重。在过去的几十年中,非甾体抗炎药(NSAIDS) 和抗血栓药物的广泛使用导致高龄ANVUGIB患者明显增加[20-21]。这往往会导致老年患者的分数更高,容易低估年轻患者的病情危重程度,且部分高龄患者先前即存在认知功能、意识状态低下等情况,所以难免影响急诊医师在短时间准确判断其意识水平,影响AIMS65评分结果。我国研究者涂家红[22]等通过对141例危险性急性上消化道出血临床诊治过程进行分析,比较了3种常用的评分系统对再出血、住院期间死亡和30 d死亡的预测效能,其结果发现包含较少变量,计算相对简单的评分系统更适合急诊科的早期应用。李心群等[23]通过包括临床症状、是否合并糖尿病、血红蛋白浓度和血乳酸水平等8项危险因素,构建病情危险程度预测模型,以期提升急诊预检分诊的准确性。尽管其预测模型显示出优于改良早期预警评分(NEWS)的预测效能,然而其模型参数相对繁多复杂,其在急诊的普适性仍需进一步研究和验证。

韩国学者Bae等[24]通过观察596例上消化道出血患者的B/A比值与患者住院期间临床结局的关系,发现B/A比值与老年上消化道出血患者ICU入院率和病死率相关,其研究结果与本研究具有一定的相似性。然而Bae等研究针对的是65岁以上的上消化道出血人群,并未区分上消化道出血原因是否为食管胃底静脉曲张性亦或非曲张性,而本研究主要针对ANVUGIB患者,排除了静脉曲张性出血,主要原因在于:急诊于本中心的急性上消化道出血患者有相当大比例为各种原因的肝硬化如(乙肝、自免肝等)所致食管胃底静脉曲张破裂出血,其治疗手段更多的需要血管介入或外科手术干预,因此影响这类患者预后的因素较为复杂。而入选本研究的非静脉曲张性出血患者绝大多数采用内科治疗,去除了差异较大的病因和治疗手段这两个对预后影响较大的因素,具有更好的同质性,研究结果具有较好的可信度。

总之,在包括人口学资料、生命体征和实验室检查在内的各种分析变量中,B/A比值是急性非静脉曲张性上消化道出血患者30 d结局的独立预测因素,且具有较好的预测效能;研究中的尿素氮和白蛋白均为血清生化指标,绝大多数患者可通过即刻抽血化验快速获得,其相对简单、经济、客观。因此,B/A比值在急性非静脉曲张性上消化道出血患者短期预后评估方面具有一定的临床意义和应用价值。

本研究具有一定的局限性。首先,本研究是一家三甲医院的前瞻性单中心研究,仅入选急诊就诊的非静脉曲张性上消化道出血患者,样本量相对较少。其次,本研究患者急诊化验的白蛋白水平多数是其基线水平,尚有部分患者的白蛋白水平是经当地医院干预后的结果,可能对研究结果造成一定影响。最后,本研究中两组患者虽然肾功能不全者占比类似,但未深入考虑到慢性肾病患者基线血尿素氮水平较高而白蛋白水平较低的可能性,需要更加深入的多中心和亚组分析进一步明确。

利益冲突  所有作者声明无利益冲突

作者贡献声明:赵香梅:研究设计、病例筛选、论文撰写;徐雅欣、王泽华:数据收集及整理,统计分析;陈龙、朱娟:病例筛选及质控;秦历杰、杨蕾:研究设计、论文修改、研究经费支持

参考文献
[1] Barkun AN, Almadi M, Kuipers EJ, et al. Management of nonvariceal upper gastrointestinal bleeding: guideline recommendations from the international consensus group[J]. Ann Intern Med, 2019, 171(11): 805-822. DOI:10.7326/M19-1795
[2] Laine L, Barkun AN, Saltzman JR, et al. ACG clinical guideline: upper gastrointestinal and ulcer bleeding[J]. Am J Gastroenterol, 2021, 116(5): 899-917. DOI:10.14309/ajg.0000000000001245
[3] Wang CH, Hung MS, Wu KH, et al. Comparison of two scoring systems in predicting outcomes in non-variceal upper gastrointestinal bleeding in Taiwanese population[J]. J Acute Med, 2017, 7(3): 115-121. DOI:10.6705/j.jacme.2017.0703.004
[4] Lu XF, Zhang XJ, Chen H. Comparison of the AIMS65 score with the Glasgow-Blatchford and Rockall scoring systems for the prediction of the risk of in-hospital death among patients with upper gastrointestinal bleeding[J]. Rev Esp Enferm Dig, 2020, 112: 467-473. DOI:10.17235/reed.2020.6496/2019
[5] Kumar NL, Claggett BL, Cohen AJ, et al. Association between an increase in blood urea nitrogen at 24 hours and worse outcomes in acute nonvariceal upper GI bleeding[J]. Gastrointest Endosc, 2017, 86(6): 1022-1027.e1. DOI:10.1016/j.gie.2017.03.1533
[6] Jiménez-Rosales R, Valverde-López F, Vadillo-Calles F, et al. Inhospital and delayed mortality after upper gastrointestinal bleeding: an analysis of risk factors in a prospective series[J]. Scand J Gastroenterol, 2018, 53(6): 714-720. DOI:10.1080/00365521.2018.1454509
[7] Ugajin M, Yamaki K, Iwamura N, et al. Blood urea nitrogen to serum albumin ratio independently predicts mortality and severity of community-acquired pneumonia[J]. Int J Gen Med, 2012, 5: 583-589. DOI:10.2147/IJGM.S33628
[8] Ryu S, Oh SK, Cho SU, et al. Utility of the blood urea nitrogen to serum albumin ratio as a prognostic factor of mortality in aspiration pneumonia patients[J]. Am J Emerg Med, 2021, 43: 175-179. DOI:10.1016/j.ajem.2020.02.045
[9] Cetin M, Oray NC, Bayram B, et al. The prognostic value of ischemia-modified albumin in patients with sepsis[J]. Niger J Clin Pract, 2021, 24(5): 680-684. DOI:10.4103/njcp.njcp_211_20
[10] Kim JS, Kim BW, Kim DH, et al. Guidelines for nonvariceal upper gastrointestinal bleeding[J]. Gut Liver, 2020, 14(5): 560-570. DOI:10.5009/gnl20154
[11] 《中华内科杂志》编辑委员会, 《中华医学杂志》编辑委员会, 《中华消化杂志》编辑委员会, 等. 急性非静脉曲张性上消化道出血诊治指南(2018年, 杭州)[J]. 中华内科杂志, 2019, 58(3): 173-180. DOI:10.3760/cma.j.issn.0578-1426.2019.03.005
[12] 中国医师协会急诊医师分会, 中华医学会急诊医学分会, 全军急救医学专业委员会, 等. 急性上消化道出血急诊诊治流程专家共识(2020版)[J]. 中华急诊医学杂志, 2021, 30(1): 15-24. DOI:10.3760/cma.j.issn.1671-0282.2021.01.006
[13] Zhang T, Ye B, Shen JJ. Prognostic value of albumin-related ratios in HBV-associated decompensated cirrhosis[J]. J Clin Lab Anal, 2022, 36(4): e24338. DOI:10.1002/jcla.24338
[14] Peng XL, Huang YL, Fu HF, et al. Prognostic value of blood urea nitrogen to serum albumin ratio in intensive care unit patients with lung cancer[J]. Int J Gen Med, 2021, 14: 7349-7359. DOI:10.2147/IJGM.S337822
[15] Huang D, Yang H, Yu H, et al. Blood urea nitrogen to serum albumin ratio (BAR) predicts critical illness in patients with coronavirus disease 2019 (COVID-19)[J]. Int J Gen Med, 2021, 14: 4711-4721. DOI:10.2147/IJGM.S326204
[16] Altay S, Gürdoğan M, Keskin M, et al. The inflammation-based Glasgow prognostic score as a prognostic factor in patients with intensive cardiovascular care unit[J]. Medicina (Kaunas), 2019, 55(5): E139. DOI:10.3390/medicina55050139
[17] Kaplan M, Ates I, Akpinar MY, et al. Predictive value of C-reactive protein/albumin ratio in acute pancreatitis[J]. Hepatobiliary Pancreat Dis Int, 2017, 16(4): 424-430. DOI:10.1016/S1499-3872(17)60007-9
[18] Jia Y, Li DZ, Cao Y, et al. Inflammation-based Glasgow Prognostic Score in patients with acute ST-segment elevation myocardial infarction: a prospective cohort study[J]. Medicine (Baltimore), 2018, 97(50): e13615. DOI:10.1097/MD.0000000000013615
[19] Gu L, Xu F, Yuan J. Comparison of AIMS65, Glasgow-Blatchford and Rockall scoring approaches in predicting the risk of in-hospital death among emergency hospitalized patients with upper gastrointestinal bleeding: a retrospective observational study in Nanjing, China[J]. BMC Gastroenterol, 2018, 18(1): 98. DOI:10.1186/s12876-018-0828-5
[20] Lee MW, Katz PO. Nonsteroidal antiinflammatory drugs, anticoagulation, and upper gastrointestinal bleeding[J]. Clin Geriatr Med, 2021, 37(1): 31-42. DOI:10.1016/j.cger.2020.08.004
[21] Chi TY, Zhu HM, Zhang M. Risk factors associated with nonsteroidal anti-inflammatory drugs (NSAIDs)-induced gastrointestinal bleeding resulting on people over 60 years old in Beijing[J]. Medicine, 2018, 97(18): e0665. DOI:10.1097/MD.0000000000010665
[22] 涂家红, 张明清, 赵斌. 危险性急性上消化道出血141例临床诊治分析[J]. 中华急诊医学杂志, 2018, 27(5): 518-523. DOI:10.3760/cma.j.issn.1671-0282.2018.05.012
[23] 李心群, 陈心怡, 王欣璐, 等. 危险性上消化道出血患者病情严重程度危险因素分析及预警评估模型构建[J]. 中华急诊医学杂志, 2022, 31(4): 539-543. DOI:10.3760/cma.j.issn.1671-0282.2022.04.020
[24] Bae SJ, Kim K, Yun SJ, et al. Predictive performance of blood urea nitrogen to serum albumin ratio in elderly patients with gastrointestinal bleeding[J]. Am J Emerg Med, 2021, 41: 152-157. DOI:10.1016/j.ajem.2020.12.022