心血管疾病已经成为我国首要的死亡原因,高于肿瘤和其他疾病[1]。流行病学研究表明心血管疾病的预后与性别密切相关。有研究表明相较于男性患者,女性ST段抬高型心肌梗死(ST-segment elevation myocardial infarction,STEMI)合并有多支病变(multivessel disease,MVD)行直接经皮冠状动脉介入术(percutaneous coronary intervention,PCI)的患者病死率和不良事件均较高[2]。影响女性患者预后的因素至今存有争议。因此,本研究回顾性分析了合并MVD的STEMI患者的临床资料以及随访结果,探讨影响女性患者预后的因素。
1 资料与方法 1.1 研究对象回顾性连续收集2005年1月至2015年1月就诊于北京安贞医院诊断为首次发生的STEMI并且在症状发作24 h内成功完成直接PCI的患者1 877例。选取其中存在1支或以上狭窄程度≥ 50% 且管腔直径≥ 2 mm的非梗死相关血管为MVD患者,共1 033例。排除标准:心源性休克、患有恶性肿瘤等竞争性死因患者、妊娠患者、非梗死相关血管为慢性完全闭塞病变(CTO)以及资料不完整患者。最终入选男性患者837例,女性患者196例。
1.2 研究方法收集入选患者心率、血压、冠心病一级亲属家族史、吸烟指数、2型糖尿病史、高血压病史、卒中史以及房颤病史。记录入院后首次及血运重建后心电图及超声心动图。记录院内血清肌钙蛋白I(TnI)、肌酸激酶同工酶(CKMB)、总胆固醇(TG)、低密度脂蛋白胆固醇(LDL-C)、丙氨酸转氨酶(ALT)、脑钠肽(BNP)及血常规等指标,STEMI诊断标准采用2015中国ST段抬高型心肌梗死诊断和治疗指南,既往病史均按照既往患者就医确诊记录及相关指南确定。梗死相关血管根据心电图、超声心动图以及冠状动脉造影结果确定。成功完成梗死相关动脉的直接PCI术定义为术后梗死相关血管残余狭窄 < 20%,TIMI血流分级Ⅲ级。上述诊断均由两名有经验的临床医生独立完成。
冠状动脉造影评估方法:冠状动脉狭窄程度根据美国心脏学会分类标准评价。冠状动脉分段根据美国心脏协会16段分段法。对左冠状动脉的左主干、前降支、回旋支和右冠状动脉等主要的4支动脉进行多体位投照。根据上述标准记录受累冠状动脉分支数量及部位。
于2015年1~3月、2017年7~8月两次进行集中电话和病历随访,首先通过门诊及住院病例随访,若就诊于外院或没有病例随访记录则进行电话随访,出院1年内随访率约91.3%,1年外随访率约为74.4%。主要终点事件定义:主要心血管不良事件(major adverse cardiovascular events, MACE),包括全因死亡、非致命性再次心肌梗死、再次血运重建和缺血性卒中的发生率。
1.3 统计学方法采用SPSS 23.0统计软件分析数据。计量资料正态分布数据采用t检验,以均数±标准差(x±s) 表示;非正态分布资料采用秩和检验,以中位数(四分位数) [M(Q1,Q3)] 表示。计数资料采用χ2检验。MACE生存曲线通过Kaplan-Meier法绘制,并通过log-rank检验其差异显著性。用Cox回归模型筛选不同性别STEMI多支病变患者的危险因素,以P < 0.05为差异有统计学意义。
2 结果 2.1 患者基线资料STEMI多支病变患者中,男性患者发病年龄显著低于女性患者(P < 0.01)。不同性别患者住院期间血压、左室射血分数、心肌损伤标记物、血脂水平、血小板计数等差异无统计学意义(P>0.05)。但血肌酐水平男性高于女性,差异具有统计学意义(P < 0.01)。男性患者中吸烟史、冠心病家族史,支架植入史比例显著高于女性患者(均P < 0.05)。其他心血管疾病史的差异在两性之间并无统计学意义。值得注意的是,女性患者发病到开始PCI术的时间显著长于男性(P < 0.01)。见表 1。
| 指标 | 男性(n=837) | 女性(n=196) | Z/χ2/t值 | P值 |
| 年龄(岁)a | 57.64 (10.4) | 65.69 (8.8) | -11.167 | < 0.001 |
| 吸烟(例, %) | 594 (72.0) | 25 (13.0) | 223.702 | < 0.001 |
| 收缩压(mmHg) a | 123.26 ±21.57 | 126.51 ±20.05 | -1.666 | 0.096 |
| 舒张压(mmHg) a | 76.08 ± 12.84 | 77.61 ± 14.21 | -1.273 | 0.203 |
| Kiiiip心功能分级Ⅱ~Ⅳ级(例, %) | 304 (36.4) | 66 (33.7) | 0.500 | 0.480 |
| 左室射血分数(°%) a | 55.02 ±9.22 | 55.54 ±8.74 | -0.558 | 0.889 |
| 肌钙蛋白I (ng/mL) b | 49.44 (17.54, 94.00) | 44.61 (14.02, 88.00) | -0.482 | 0.620 |
| 肌酸磷酸激酶同工酶(ng/mL) b | 174.00 (69.35, 299.38) | 159.70 (53.00, 85.30) | -1.159 | 0.241 |
| 总胆固醇(mmol/L) a | 4.57 ± 1.1 | 4.76 ± 1.52 | -1.475 | 0.107 |
| 低密度脂蛋白胆固醇(mmol/L) | 2.97 ±0.83 | 3.06 ±0.85 | -1.599 | 0.195 |
| 高密度脂蛋白胆固醇(mmol/L) a | 0.97 ±0.30 | 0.98 ±0.28 | -1.539 | 0.686 |
| 甲状腺球蛋白(mmol/L) b | 1.58 (1.08, 2.24) | 1.59 (1.08, 2.17) | -0.899 | 0.374 |
| 血尿酸(mg/dl) a | 5.61 ± 1.56 | 5.64 ± 1.71 | 0.899 | 0.791 |
| 血肌酐(ng/mL) b | 0.89 (0.78, 1.03) | 0.72 (0.60, 0.84) | -9.140 | < 0.001 |
| 血小板计数(g/L) a | 202.56 ± 59.34 | 195.20 ±3.87 | 1.584 | 0.114 |
| 红细胞比容(%)a | 37.02 ± 13.16 | 34.97 ± 14.16 | 1.845 | 0.066 |
| 冠心病家族史(例, %) | 121 (14.5) | 14(7.1) | 7.512 | 0.024 |
| 高血压病(例, %) | 340 (40.6) | 80 (40.8) | 0.001 | 0.960 |
| 2型糖尿病(例, %) | 206 (24.6) | 44 (22.4) | 0.373 | 0.525 |
| 高脂血症(例, %) | 157(18.8) | 39 (19.9) | 0.129 | 0.714 |
| 陈旧性心肌梗死(例, %) | 47 (5.6) | 9 (4.6) | 0.328 | 0.569 |
| 支架植人史(例, %) | 67 (8.0) | 6(3.1) | 5.926 | 0.015 |
| 脑血管病史(例, %) | 38 (4.5) | 14(7.1) | 2.239 | 0.134 |
| 发病至开始PCI术的时间(h) b | 7.64 (3, 8) | 9.19(4, 10) | -3.768 | < 0.001 |
| 注:a为x±s,b为M(Q1,Q3);1 mmHg=0.133 kPa | ||||
表 2显示了不同性别患者直接PCI术中造影结果及术中情况的比较。造影结果显示,男女之间在梗死相关动脉位置、心肌梗死部位、病变血管数目等指标之间差异无统计学意义(均P>0.05)。直接PCI术中,男性患者平均支架直径显著大于女性患者(P < 0.01)。而女性患者发生术后慢血流/ 无复流的比例显著高于男性(P < 0.05)。
| 项目 | 男性(n=807) | 女性(n=196) | Z/χ2值 | P值 |
| 梗死相关动脉 | 0.783 | 0.856 | ||
| 右冠状动脉 | 400 (47.8) | 96 (49.0) | ||
| 左主干 | 6 (0.7) | 1 (0.5) | ||
| 左前降支 | 319(38.1) | 77 (39.3) | ||
| 回旋支 | 112 (13.4) | 22 (11.2) | ||
| 梗死部位 | 1.024 | 0.801 | ||
| 前壁梗死 | 362 (43.4) | 82 (42.1) | ||
| 下壁梗死 | 411 (49.3) | 102(52.3) | ||
| 侧壁梗死 | 12 (1.4) | 2 (1.0) | ||
| 多部位梗死 | 49 (5.9) | 9 (4.6) | ||
| 病变血管支数目 | 0.131 | 0.931 | ||
| 双支病变 | 453 (54.1) | 109 (55.6) | ||
| 三支病变 | 375 (44.8) | 85 (43.4) | ||
| 四支病变 | 9 (1.1) | 2(1.0) | ||
| 桡动脉入路 | 576 (68.8) | 140(71.8) | 0.625 | 0.417 |
| 支架数目a | 1 (1,2) | 1(1, 2) | -0.716 | 0.485 |
| 支架总长度a | 30 (23, 42) | 29 (23, 46) | -0.487 | 0.637 |
| 平均支架直径a | 3.00 (2.75, 3.50) | 2.75 (2.50, 3.00) | -5.733 | < 0.001 |
| 血栓抽吸 | 502 (60.0) | 108 (55.1) | 1.575 | 0.205 |
| IABP | 129 (15.4) | 29(14.8) | 0.049 | 0.829 |
| 临时起搏 | 34(4.1) | 10 (5.1) | 0.417 | 0.516 |
| 慢血流/无复流 | 42 (5.0) | 17 (8.7) | 4.253 | 0.047 |
| 注:IABP为主动脉内球囊反搏;a为M(Q1,Q3) | ||||
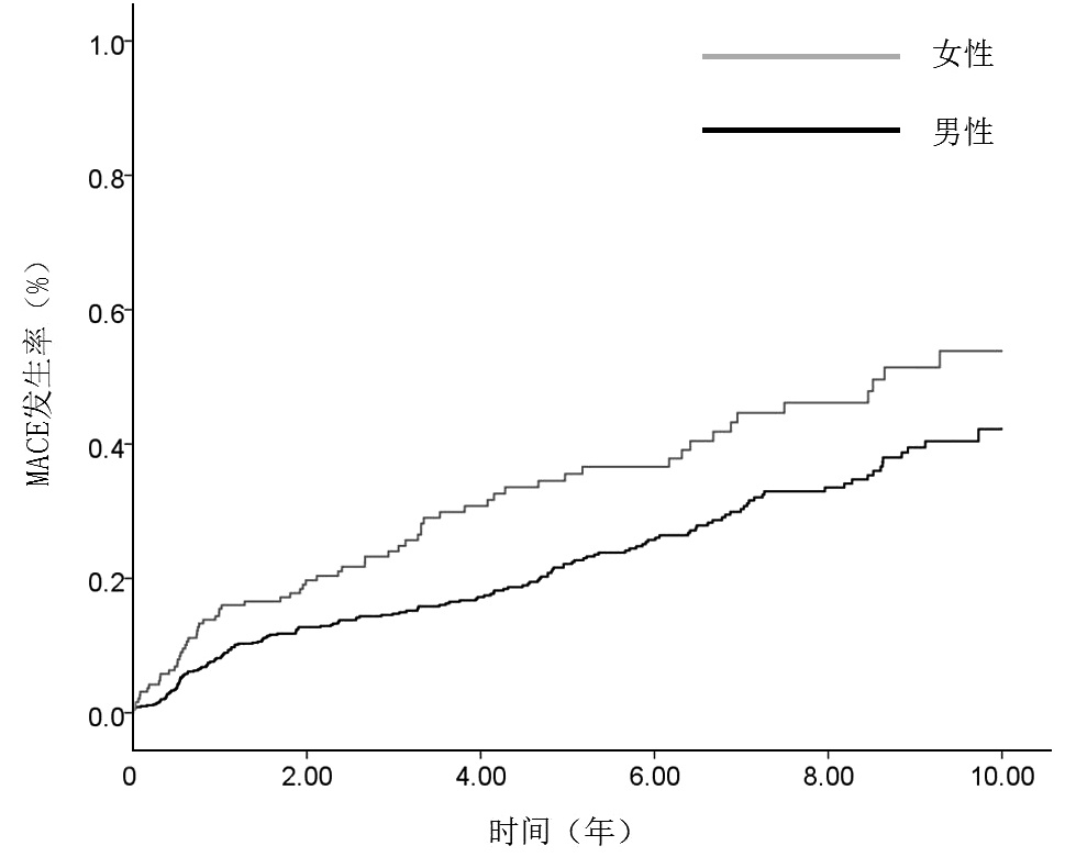
根据随访记录的不同性别患者发生MACE的情况绘制的Kaplan-Meier生存曲线如图 1。从图中可以看出,从第1年到第10年间,女性的MACE发生率始终高于男性。
|
| 图 1 不同性别患者随访期间发生MACE的Kaplan-Meier曲线 Fig 1 Kaplan-Meier curve of MACE in male and female patients during follow-up |
|
|
通过对所有患者进行Cox回归分析,在校正多个可能对患者预后产生影响的因素后发现,不同性别之间MACE发生率差异有统计学意义,女性的MACE发生率高于男性(HR=1.854, 95%CI: 1.364~2.520, P < 0.001)。狭窄程度超过50% 的病变数较多也是MACE发生率升高的主要因素之一(HR=1.400, 95%CI: 1.108~1.769, P=0.005)。见表 3。
| 因素 | B值 | 标准误差 | Wald值 | HR值 | 95%CI | P值 |
| 女性 | 0.617 | 0.157 | 15.542 | 1.854 | 1.364~2.520 | < 0.001 |
| 年龄增加 | -0.015 | 0.007 | 5.146 | 0.985 | 0.973~0.998 | 0.023 |
| Kiliip心功能分级n~汉级 | 0.164 | 0.133 | 1.510 | 1.178 | 0.907~1.530 | 0.219 |
| 狭窄程度超过50%的病变数 | 0.337 | 0.119 | 7.948 | 1.400 | 1.108~1.769 | 0.005 |
| 陈旧心肌梗死 | 0.092 | 0.249 | 0.136 | 1.096 | 0.672~1.788 | 0.712 |
| 高血压病 | 0.001 | 0.132 | < 0.001 | 1.001 | 0.773~1.297 | 0.994 |
| 糖尿病 | 0.065 | 0.150 | 0.189 | 1.067 | 0.796~1.432 | 0.664 |
| 起病至PCI的时间 | 0.136 | 0.164 | 0.688 | 1.146 | 0.830~1.582 | 0.407 |
| 处理非罪犯血管 | -0.171 | 0.130 | 1.722 | 0.843 | 0.653~1.088 | 0.189 |
| 血栓抽吸 | 0.063 | 0.132 | 0.230 | 1.065 | 0.822~1.380 | 0.632 |
| IABP | 0.158 | 0.167 | 0.889 | 1.171 | 0.844~1.625 | 0.346 |
| 注:IABP为主动脉内球囊反搏 | ||||||
分别对男性及女性的预后进行多因素分析发现,男性患者发生MACE的主要危险因素为狭窄程度超过50% 的病变支数、陈旧心肌梗死病史以及术中是否使用IABP(HR=1.305, 95%CI: 0.995~1.712, P < 0.001),但上述3个影响因素在不同性别之间差异无统计学意义(P>0.05)。而女性患者的主要危险因素为心功能Ⅱ ~ Ⅳ级(HR=1.804, 95%CI: 1.060~3.071, P=0.030) 及狭窄程度超过50% 的病变数(HR=1.808, 95%CI: 1.123~2.912, P=0.015),后者为男女共同的预后影响因素。见表 4、表 5。
| 因素 | B值 | 标准误差 | Wald值 | HR值 | 95%CI | P值 |
| 年龄 | -0.014 | 0.007 | 3.810 | 0.986 | 0.972~1.000 | 0.051 |
| Kiliip心功能分级n~汉级 | 0.037 | 0.156 | 0.057 | 1.038 | 0.764~1.410 | 0.811 |
| 狭窄程度超过50%的病变数 | 0.266 | 0.139 | 3.690 | 1.305 | 0.995~1.712 | 0.055 |
| 陈旧心肌梗死 | 0.355 | 0.266 | 1.774 | 1.426 | 0.846~2.403 | 0.183 |
| 高血压病 | -0.022 | 0.156 | 0.019 | 0.978 | 0.720~1.329 | 0.889 |
| 糖尿病 | 0.000 | 0.173 | 0.000 | 1.000 | 0.712~1.403 | 0.999 |
| 起病至PCI的时间 | 0.054 | 0.186 | 0.084 | 1.056 | 0.733~1.521 | 0.772 |
| 处理非罪犯血管 | -0.217 | 0.154 | 1.988 | 0.805 | 0.596~1.088 | 0.159 |
| 血栓抽吸 | 0.021 | 0.158 | 0.017 | 1.021 | 0.749~1.391 | 0.895 |
| IABP | 0.229 | 0.196 | 1.367 | 1.257 | 0.856~1.846 | 0.242 |
| 注:IABP为主动脉内球囊反搏 | ||||||
| 因素 | B值 | 标准误差 | Wald值 | HR值 | 95%CI | P值 |
| 年龄 | -0.017 | 0.015 | 1.344 | 0.983 | 0.955~1.012 | 0.246 |
| Kiliip心功能分级n~汉级 | 0.590 | 0.271 | 4.723 | 1.804 | 1.060~3.071 | 0.030 |
| 狭窄程度超过50%的病变数 | 0.592 | 0.243 | 5.939 | 1.808 | 1.123~2.912 | 0.015 |
| 陈旧心肌梗死 | -1.192 | 0.736 | 2.628 | 0.303 | 0.072~1.283 | 0.105 |
| 高血压病 | 0.090 | 0.273 | 0.109 | 1.095 | 0.641~1.871 | 0.741 |
| 糖尿病 | 0.282 | 0.302 | 0.873 | 1.326 | 0.733~2.398 | 0.350 |
| 起病至PCI的时间 | 0.381 | 0.364 | 1.093 | 1.463 | 0.717~2.989 | 0.296 |
| 处理非罪犯血管 | -0.024 | 0.254 | 0.009 | 0.977 | 0.594~1.606 | 0.926 |
| 血栓抽吸 | 0.075 | 0.250 | 0.091 | 1.078 | 0.660~1.761 | 0.763 |
| IABP | -0.187 | 0.344 | 0.296 | 0.829 | 0.422~1.628 | 0.586 |
| 注:IABP为主动脉内球囊反搏 | ||||||
本研究回顾性连续收集10年间就诊于北京安贞医院明确诊断为STEMI合并MVD并完成直接PCI的患者。基线资料显示,女性患者的患病人数、吸烟史、冠心病家族史,支架植入史、血肌酐水平均显著低于男性,而发病年龄显著高于男性。值得关注的是,女性患者发病到开始PCI术的时间较男性明显延迟。Goldberg等[3]从全球14个国家入选了3 693例STEMI患者,发现女性患者具有更长的手术延迟。其他很多研究[4-7]均发现类似的现象,分析原因,可能由于女性发病后症状不典型引起患者就医延误。伏蕊等[8]发现,女性患者首发症状为胸痛的比例低于男性,而以恶心呕吐、胸闷及牙痛等不典型症状更常见。另外,女性患者中普遍存在由心理因素及精神压力等产生的一些不典型症状,因此,即使患者出现心肌梗死症状也容易被患者忽视而延误救治。
本研究结果表明,随访中女性的MACE发生率始终高于男性。Kosmidou等[9]纳入10个机对照试验的Meta分析发现,女性STEMI患者行直接PCI术后具有比男性更高的病死率。黄静涵等[10]发现,STEMI行直接PCI的女性患者,1年的MACE发生率显著高于男性。进一步通过多因素分析寻找影响预后的主要因素,结果显示女性是影响STEMI合并多支病变患者预后的显著危险因素。这可能与女性独特的冠脉解剖和病理生理特点有关,本研究发现女性平均支架直径较小,术后慢血流/ 无复流发生率较高,加之合并了多支血管病变,会加重心肌缺血导致预后不良。2016年AHA关于女性急性心肌梗死的科学公报指出,与男性相比,女性的冠状动脉较细,更容易出现痉挛,斑块易出现糜烂,继而导致血栓,致使术中更容易出现慢血流/ 无复流。印平等[11]研究显示,术中植入支架直径越小,越容易出现再狭窄及支架内血栓。而直接PCI术中出现慢血流/ 无复流,可使院内及院外不良事件显著增加[12]。
心功能不全在STEMI患者中发生率很高[13],是院内及院外病死率的独立预测因子。本研究发现,在STEMI合并MVD人群中,心功能不全是女性患者不良预后的重要因素。Mozaffarian等[14]研究发现,女性STEMI患者更容易发生心功能不全以及心源性休克。可能与女性更容易出现应激反应有关,应激可以导致儿茶酚胺释放增加[15],心肌耗氧量增加,出现应激性高血糖,影响心肌代谢,从而容易出现心功能受损[16-17],使心血管不良事件显著增加[18]。
综上所述,与男性相比,STEMI合并MVD行直接PCI的女性患者,救治延迟显著,MACE发生率较高,心功能不全是影响女性患者不良预后的主要因素。因此,对于女性应增加健康教育,提高对缺血性胸痛的认识,尤其是对不典型胸痛的鉴别,尽可能减少就诊延误;在女性患者行直接PCI时要注重慢血流/ 无复流的预防;对于合并心功能不全的女性患者应高度重视,尽早使用β受体阻滞剂及ACEI/ARB类药物,早期抑制交感神经及RAAS系统,抑制左室重构,改善心功能。
本研究的局限性主要在于,研究为单中心回顾性队列研究,可能存在选择偏倚。另外,在对比男女两组时,两组患者数相差悬殊、基线资料无法完全匹配,可能对结果造成影响,可进一步设计随机对照试验研究证实。
利益冲突 所有作者声明无利益冲突
作者贡献声明 赵雪东、赵冠棋、聂绍平:研究设计;赵雪东、赵冠棋:确定纳入排除标准及核实病例;赵雪东:收集实验室检验数据;王晓、郑文:数据统计分析和论文撰写修改;聂绍平:论文指导与修改
| [1] | 胡盛寿, 高润霖, 刘力生, 等. 《中国心血管病报告2018》概要[J]. 中国循环杂志, 2019, 34(3): 209-220. DOI:10.3969/j.issn.1000-3614.2019.03.001 |
| [2] | Mehta LS, Beckie TM, Devon HA, et al. Acute myocardial infarction in women: a scientific statement from the American heart association[J]. Circulation, 2016, 133(9): 916-947. DOI:10.1161/CIR.0000000000000351 |
| [3] | Goldberg RJ, Steg PG, Sadiq I, et al. Extent of, and factors associated with, delay to hospital presentation in patients with acute coronary disease (the GRACE registry)[J]. Am J Cardiol, 2002, 89(7): 791-796. DOI:10.1016/s0002-9149(02)02186-0 |
| [4] | Goff DC Jr, Feldman HA, McGovern PG, et al. Prehospital delay in patients hospitalized with heart attack symptoms in the United States: the REACT trial[J]. Am Heart J, 1999, 138(6): 1046-1057. DOI:10.1016/S0002-8703(99)70069-4 |
| [5] | Moser DK, Kimble LP, Alberts MJ, et al. Reducing delay in seeking treatment by patients with acute coronary syndrome and stroke: a scientifi c statement from the American Heart Association Council on Cardiovascular Nursing and Stroke Council[J]. J Cardiovasc Nurs, 2007, 22(4): 326-343. DOI:10.1097/01.JCN.0000278963.28619.4a |
| [6] | Nguyen HL, Gore JM, Saczynski JS, et al. Age and sex differences and 20-year trends (1986 to 2005) in prehospital delay in patients hospitalized with acute myocardial infarction[J]. Circ Cardiovasc Qual Outcomes, 2010, 3(6): 590-598. DOI:10.1161/CIRCOUTCOMES.110.957878 |
| [7] | Nguyen HL, Saczynski JS, Gore JM, et al. Age and sex differences in duration of prehospital delay in patients with acute myocardial infarction: a systematic review[J]. Circ Cardiovasc Qual Outcomes, 2010, 3(1): 82-92. DOI:10.1161/CIRCOUTCOMES.109.884361 |
| [8] | 伏蕊, 杨跃进, 许海燕, 等. 中国不同性别急性心肌梗死患者临床症状及诱发因素的差异分析[J]. 中国循环杂志, 2014, 29(12): 964-967. DOI:10.3969/j.issn.1000-3614.2014.12.03 |
| [9] | Kosmidou I, Redfors B, Selker HP, et al. Infarct size, left ventricular function, and prognosis in women compared to men after primary percutaneous coronary intervention in ST-segment elevation myocardial infarction: results from an individual patient-level pooled analysis of 10 randomized trials[J]. Eur Heart J, 2017, 38(21): 1656-1663. DOI:10.1093/eurheartj/ehx159 |
| [10] | 黄静涵, 乔树宾, 吴永健, 等. 女性急性ST段抬高型心肌梗死行经皮冠状动脉介入治疗患者的临床特点及近远期疗效分析[J]. 中国循环杂志, 2010, 25(5): 340-343. DOI:10.3969/j.issn.1000-3614.2010.05.007 |
| [11] | 印平, 盖鲁粤, 杜洛山. 冠状动脉支架术后病人发生再狭窄的危险因素分析[J]. 中华老年心脑血管病杂志, 2002, 4(1): 15-17. DOI:10.3969/j.issn.1009-0126.2002.01.005 |
| [12] | 丛洪良, 张梅, 王伟, 等. 急性冠状动脉综合征患者经皮冠状动脉介入术后无复流现象的危险因素及预后[J]. 中国介入心脏病学杂志, 2006, 14(1): 34-36. DOI:10.3969/j.issn.1004-8812.2006.01.010 |
| [13] | 王高明. 急性ST段抬高心肌梗死患者合并心力衰竭的危险因素分析[J]. 当代医学, 2017, 23(29): 86-88. DOI:10.3969/j.issn.1009-4393.2017.29.040 |
| [14] | Mozaffarian D, Benjamin EJ, Go AS, et al. Heart disease and stroke statistics: 2015 update: a report from the American Heart Association[J]. Circulation, 2015, 131(4): e29-e322. DOI:10.1161/CIR.0000000000000152 |
| [15] | 冀磊, 裴志强, 马登峰, 等. 儿茶酚抑素对ST段抬高型心肌梗死患者住院期间发生心力衰竭的预测价值[J]. 中华心血管病杂志, 2012, 40(11): 914-919. DOI:10.3760/cma.j.issn.0253-3758.2012.11.004 |
| [16] | Savic L, Mrdovic I, Perunicic J, et al. Prognostic significance of the occurrence of acute heart failure after successful primary percutaneous coronary intervention[J]. J Invasive Cardiol, 2010, 22(7): 307-311. |
| [17] | Santoro GM, Carrabba N, Migliorini A, et al. Acute heart failure in patients with acute myocardial infarction treated with primary percutaneous coronary intervention[J]. Eur J Heart Fail, 2008, 10(8): 780-785. DOI:10.1016/j.ejheart.2008.06.004 |
| [18] | 王建锋. 应激性高血糖对ST段抬高女性急性心肌梗死患者预后及心功能的影响[J]. 河北医药, 2013, 35(1): 71-72. DOI:10.3969/j.issn.1002-7386.2013.01.035 |
2022, Vol. 31



