2. 湖州市创伤救治临床 研究中心,湖州 313000
2. Huzhou Trauma Treatment Clinical Research Center, Huzhou 313000, China
心脏骤停(cardiac arrest, CA)是威胁人类生命健康的全球问题之一,具有极高的病死率, 心肺复苏(cardiopulmonary resuscitation, CPR)是救治CA最核心的手段,高质量的CPR能改善CA患者的结局。随着机械按压装置的逐步出现,机械按压因按压深度与频率均较为稳定而受到临床关注,然而CPR人工- 机械转换过程中往往会发生暂时性的按压中断。因此,2021年欧洲复苏委员会(European Resuscitation Council, ERC)心肺复苏指南建议,高质量的人工胸外按压无法完成或影响医护人员安全的情况下,才考虑机械胸外按压[1]。2018年中国《成人院内心肺复苏质量控制临床实践专家共识》同样强调,应该减少仪器安装流程对胸外按压比例(chest compression fraction, CCF)的影响[2]。笔者对于心肺复苏人工- 机械转换过程中所出现的按压中断进行文献检索发现对于该问题的研究并不多见,2017年杨冬梅等[3]针对该问题实施了持续质量改进并制定标准化操作流程取得较为积极的效果。
对此,本研究利用急诊室内视频监控结合急诊室电子病历记录对2019—2020年所收治的院外心脏骤停(out-of-hospital cardiac arrest, OHCA)接受机械按压装置按压患者进行观察性回顾,对相关影响因素进行分析。
1 资料与方法 1.1 纳入及排除标准本研究为回顾性研究,纳入标准:(1) 于2019年1月至2020年12月湖州市第一人民医院急诊室所收治的院外心脏骤停患者;(2) 符合2015年美国心脏协会(American Heart Association, AHA)心肺复苏及心血管急救指南[4]所推荐的机械CPR救治标准;(3) 患者家属愿意接受机械按压装置(多功能心肺复苏机,型号MSCPR-1A,迈松医用设备制造有限公司,中国河南)提供的机械CPR,并签署知情同意书;(4) 患者家属愿意参加本研究。
排除标准:(1) 患者年幼尚不具备第二性征,救治流程不符合成人CPR救治推荐标准;(2) 转运过程中启动机械按压而干扰正常设备安装流程;(3) 严重创伤/ 多发伤导致的心脏骤停患者;(4) 相关病历资料不全的患者。
1.2 资料收集湖州市第一人民医院在研究期间(2019年— 2020年)共收治院外心脏骤停患者145例(数据来源:浙江省急诊医学质控中心数据库)。
本研究经湖州市第一人民医院医学伦理委员会审议同意进行临床研究[伦理审批号:伦审(科)第2018082号],项目实施过程中严格遵守伦理委员会相关规定,并且由患者家属代为签署知情同意书。
1.2.1 患者资料录入与数据观察方法同时由2位项目组成员进行相关病例资料的回顾性追溯并进行患者基本资料及相关救治资料录入。
1.2.2 指标评价方法确定患者纳入后由已获得高级心血管生命支持(advanced cardiovascuar life support, ACLS)实施人员资质的高级职称医务人员至医院监控室调取急诊室内不同角度视频监控录像回放资料并对相关救治资料进行追溯评价。
1.3 研究方法 1.3.1 患者基本资料主要采集纳入本研究患者年龄、性别、家属口述患者实际体重、患者身高(计算体重指数)、既往病史、是否接受旁观者复苏、首份心电图获得心律等信息。同时由获得ACLS资质的急诊医学正高级职称医务人员2名独立对患者病历资料进行分析推测导致患者发生OHCA事件病因。
1.3.2 救治相关资料主要涉及首次医疗接触耗时(time of first medical contac, FMC耗时)、患者就诊时间段(08:00-17:00为白天,17:00-24:00为上半夜,00:00-08:00为下半夜)、患者救治时期内同期急诊室患者数、当班医生及护士年资、当班护士身高、当班护士心肺复苏救治相关资质取得情况[特指由AHA培训并通过考核获得的基础生命支持(basic life support, BLS)与ACLS资质]。
1.3.3 人工- 机械按压转换数据资料主要涉及相关患者人工- 机械按压转换过程中的按压暂停时长(以下简称按压暂停时长)、CCF、启动机械按压装置时间点。启动机械按压装置时间点的计时起点为患者到达急诊室时间,计时终点为完成机械按压装置安装并启动机械按压时间;按压暂停时长为急诊复苏单元视频监控下显示由于机械按压装置安装导致的按压暂停时长;CCF指胸外按压耗时在总抢救时长的占比,CCF=胸部按压时间/ 心肺复苏时间× 100%[2]。
1.4 统计学方法数据库建立采用EXCEL 2010,数据分析使用R版本3.5.3进行。符合正态分布的计量资料以均值±标准差(x±s)表示,不符合正态分布计量资料以中位数(四分位数)[M(Q1,Q3)] 表示。符合正态分布及方差齐性的数据比较采用单因素方差分析(ANOVA),组间比较采取SNK法,不符合正态分布或方差齐性的数据比较采用KruskalWallis检验(K-W检验)。符合正态分布数据采取Pearson线性相关分析救治相关资料与机械按压的相关性按压暂停时长及CCF之间的线性相关性;不符合正态分布数据采用秩相关检验。对于纳入的参数实施残差分析确定数据符合线性回归模型后,进一步采用多重逐步回归分析因素对按压暂停时长的影响。以P < 0.05为差异有统计学意义。
2 结果 2.1 纳入本研究患者的基线资料本研究共纳入符合纳排标准的OHCA患者32例,其中男性20例,女性12例,其基线资料见表 1。
| 项目 | 变量值 |
| 例数 | 32 |
| 年龄(岁,x±s) | 62±15 |
| 性别(例,%) | |
| 男 | 20(62.5) |
| 女 | 12(37.5) |
| 推测导致OHCA的原因(例,%) | |
| 急性心肌梗死 | 22(68.8) |
| 其他心源性疾病 | 3(9.4) |
| 误吸/窒息 | 4(12.5) |
| 肺栓塞 | 2(6.2) |
| 其他非心源性疾病 | 1(3.1) |
| 患者既往病史(例,%) | |
| 高血压病 | 27(84.4) |
| 糖尿病 | 18(56.3) |
| 冠状动脉性心脏病 | 17(53.1) |
| 脑血管病(含出血性脑卒中与缺血性脑卒中) | 8(25.0) |
| 恶性肿瘤 | 4(12.5) |
| 肾功能不全 | 2(6.3) |
| 有无目击者(例,%) | |
| 有 | 26(81.2) |
| 无 | 6(18.8) |
| 是否接受旁观者复苏(例,%) | |
| 是 | 1(3.1) |
| 否 | 31(96.9) |
| 首次心电图获得的心律(例,%) | |
| 心室颤动/无脉性室性心动过速 | 2(6.2) |
| 心脏停博 | 26(81.3) |
| 无脉性电活动 | 3(9.4) |
| 逸搏心律 | 1(3.1) |
对于入选相关影响指标进行单因素线性相关分析显示,患者身高、实际体重、体重指数与按压暂停时长呈线性正相关(P < 0.01),见表 2、图 1。
| 自变量 | 变量值 | 相关系数r | P值 |
| 身高(m)a | 1.68±0.13 | 0.608 | < 0.001 |
| 患者实际体重(kg)a | 74.09±11.67 | 0.924 | < 0.001 |
| 体重指数(kg/m2)a | 26.05±3.13 | 0.489 | 0.004 |
| FMC耗时(min)b | 20(19,23) | -0.081 | 0.649 |
| 启动机械按压时间点(min)b | 40.0(35.0,45.3) | 0.039 | 0.829 |
| 患者就诊时间点c | |||
| 08:00-17:00 | 17(53.1) | -0.082 | 0.654 |
| 17:00-24:00 | 8(25.0) | ||
| 00:00-08:00 | 7(21.9) | ||
| 同期急诊室患者人次b | 2.5(1,4) | 0.142 | 0.439 |
| 当班护士年资(年)b | 12(8,13) | -0.040 | 0.828 |
| 当班护士身高(m)b | 1.57(1.55,1.62) | -0.188 | 0.302 |
| 当班医生年资(年)b | 8(6,10) | 0.124 | 0.501 |
| 注:FMC为首次医疗接触;a为x±s,b为M(Q1,Q3),c为(例,%) | |||
|
| 图 1 患者按压暂停时长散点图 Fig 1 Scattered chart of the patient's compression pause time |
|
|
对于纳入的参数实施残差分析确定数据符合线性回归模型后,进一步评价按压暂停时长逐步回归分析发现,所建逐步回归模型R2为0.854,调整后的R2为0.849,残差平方和670.525,F值为175.579,P=0.002,精度符合模型要求。患者实际体重是患者按压暂停时长过长的独立危险因素(决定系数R2=0.849,P < 0.01,回归方程:Y= -24.65+0.949X1),见表 3。
| 进入变量 | 移除变量 | 偏回归系数 | 标准化偏回归系数 | P值 |
| 方程截距 | -24.650 | 0.002 | ||
| 患者实际体重 | 0.949 | 0.924 | 0.004 | |
| 身高 | -0.206 | -0.354 | 0.051 | |
| 体重指数 | 0.137 | 0.328 | 0.072 | |
| FMC耗时 | -0.056 | -0.145 | 0.435 | |
| 启动机械按压时间点 | -0.053 | -0.140 | 0.454 | |
| 患者就诊时间 | 0.068 | 0.176 | 0.344 | |
| 同期急诊室患者人次 | 0.097 | 0.253 | 0.169 | |
| 当班护士年资 | 0.048 | 0.126 | 0.500 | |
| 当班护士身高 | 0.036 | 0.092 | 0.624 | |
| 当班医生年资 | 0.008 | 0.020 | 0.917 | |
| 注:FMC为首次医疗接触 | ||||
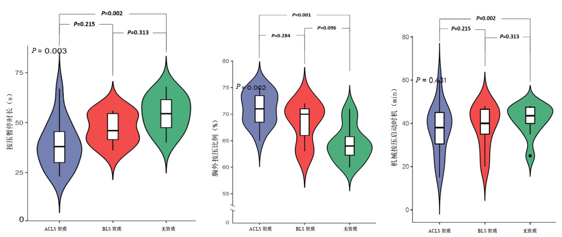
对当班护士心肺复苏的不同资质培训分组分析发现,ACLS培训与BLS培训对CA患者按压暂停时长、CCF影响较大,通过组间比较发现,获得ACLS资质组患者按压暂停时长明显短于无资质组患者(F=7.01,P=0.002),ACLS资质组患者CCF明显高于无资质组患者(χ2=0.002,P < 0.001),见表 4、图 2。
| 组别 | 例数 | 按压暂停时长(s) | CCF(%) | 机械按压启动时机(min) |
| ACLS资质 | 15 | 39.00±11.93 | 71.0(68.5,73.5) | 38.0(30.5,45.0) |
| BLS资质 | 7 | 47.14±7.97 | 70.0(66.0,71.0) | 40.0(35.0,46.5) |
| 无资质 | 10 | 54.70±8.97 | 64.0(62.3,65.8) | 43.5(40.0,47.5) |
| F/χ2值 | 7.01 | 12.20 | 1.69 | |
| P值 | 0.003 | 0.002 | 0.431 | |
| 注:CCF为胸外按压比例,ACLS为高级心血管生命支持,BLS为基础生命支持 | ||||
|
| 图 2 当班护士心肺复苏资质获取对按压暂停时长、CCF和机械按压启动时机的影响组间比较 Fig 2 Comparison of the effect of on-duty nurses CPR qualification acquisition on the duration of chest compression pause time, chest compression fraction, the timing of mechanical compressions between groups |
|
|
随着医学科技的不断发展,机械胸外按压复苏装置被研发,并广泛用于临床。目前市面上主流的机械按压装置有Carsio-Pump(非自动)、LUCAS及Auto Pulse[5]。自机械按压装置面市以来,其高质量长时间持续胸外按压的特性以及患者转运过程中不间断胸外按压特性受到了CPR领域研究者的关注。然而,相关研究及指南却并不支持在OHCA患者中常规使用机械胸外按压装置[1, 6]。纳入4 470例OHCA患者的PARAMEDIC研究发现,LUCAS机械按压组患者30 d生存率并不优于手动按压(调整后OR=0.86,95%CI: 0.64~1.15)[7]。此外该研究还对患者出院后成本效益与生活质量数据进行了跟踪收集,LUCAS机械按压组患者在3个月和12个月的生存、神经功能结局和生活质量等方面并未显示出更低的成本效益。对此,笔者进行文献检索后发现,少数支持机械按压装置应用的研究也仅见于小样本量特定对象人群(肥胖CA患者、OHCA患者院前复苏过程、长时间转运过程)研究[8-11]。目前在抢救人力资源充足的情况下,院内环境中常规使用机械按压装置并未给OHCA患者带来更好的临床预后。
此外CA救治过程中的机械按压所带来的伦理问题也一直为临床医生所担忧,人工CPR依旧是各基层医疗机构急诊室内CPR抢救的首选。基于CPR指南[1, 4],建议在患者转运、接受特殊治疗以及高质量CPR无法得到保证时启动机械CPR。然而人工- 机械按压转换过程中的按压延迟问题一直存在,对此杨冬梅等[3]对按压暂停时长进行研究并提出了机械按压装置安装流程,发现改进后按压暂停时长明显缩短(22.3 s vs. 9.4 s,P < 0.01)。
本研究基于急诊复苏单元内的视频监控,对湖州市第一人民医院OHCA患者人工- 机械按压转换过程中的按压暂停时长进行回顾性研究,发现患者身高、实际体重、体重指数与按压暂停时长呈线性正相关;而患者实测体重是患者按压暂停时长过长的独立危险因素。此外,本研究还发现当班护士有心肺复苏救治资质对人工- 机械按压转换过程中的按压质量具有积极的影响。
本研究尚存在一些局限性。首先,本研究针对接受机械胸外按压的院外心脏骤停患者,样本量较小可能使研究结论存在一定偏倚,有待于大样本研究进一步的证实;其次,本研究所纳入患者启动机械按压装置时机均较迟,虽对启动按压时间点进行了评价,但是心肺复苏过程中复苏效果不佳可能会影响救治团队的救治信心,这一点并未在本研究中得到体现,值得进一步研究。
综上所述,心脏骤停患者实际体重是心肺复苏救治过程中的重要影响因素,可以考虑纳入院前- 院内信息传递内容,此外急救护理团队的心肺复苏资质培训对人工机械按压过程中的按压质量具有积极影响,值得临床推广。
利益冲突 所有作者声明无利益冲突
作者贡献声明 潘慧斌、包芸:实验操作、论文撰写;戴竹泉、李莘:数据收集及整理、统计学分析;温晓红、嵇朝晖:研究设计、论文修改
| [1] | Soar J, Böttiger BW, Carli P, et al. European Resuscitation Council Guidelines 2021: Adult advanced life support[J]. Resuscitation, 2021, 161: 115-151. DOI:10.1016/j.resuscitation.2021.02.010 |
| [2] | 成人院内心肺复苏质量控制临床实践专家组. 成人院内心肺复苏质量控制临床实践专家共识[J]. 中华急诊医学杂志, 2018, 27(8): 850-853. DOI:10.3760/cma.j.issn.1671-0282.2018.08.006 |
| [3] | 杨冬梅, 陈子红, 徐小琴, 等. 心肺复苏人工- 机械转换过程中缩短按压暂停时间的研究[J]. 中国急救复苏与灾害医学杂志, 2017, 12(6): 511-513. DOI:10.3969/j.issn.1673-6966.2017.06.004 |
| [4] | Brooks SC, Anderson ML, Bruder E, et al. Part 6: Alternative techniques and ancillary devices for cardiopulmonary resuscitation: 2015 American Heart Association guidelines update for cardiopulmonary resuscitation and emergency cardiovascular care[J]. Circulation, 2015, 132(18 Suppl 2): S436-S443. DOI:10.1161/CIR.0000000000000260 |
| [5] | Riess ML, Balzer C. Mechanical adjuncts for cardiocerebral resuscitation[J]. Expert Rev Med Devices, 2019, 16(9): 771-776. DOI:10.1080/17434440.2019.1649135 |
| [6] | 金魁, 付阳阳, 尹路, 等. 机械按压与人工按压对心搏骤停患者自主循环恢复和预后影响的因素分析[J]. 中华危重病急救医学, 2019, 31(3): 303-308. DOI:10.3760/cma.j.issn.2095-4352.2019.03.009 |
| [7] | Marti J, Hulme C, Ferreira Z, et al. The cost-effectiveness of a mechanical compression device in out-of-hospital cardiac arrest[J]. Resuscitation, 2017, 117: 1-7. DOI:10.1016/j.resuscitation.2017.04.036 |
| [8] | 刘丽丽, 黄坚强, 陈晓蕾, 等. 萨勃心肺复苏器在心搏骤停肥胖患者中的应用[J]. 中华危重病急救医学, 2016, 28(7): 659-660. DOI:10.3760/cma.j.issn.2095-4352.2016.07.021 |
| [9] | 金魁, 付阳阳, 尹路, 等. 机械按压与人工按压对心搏骤停患者自主循环恢复和预后影响的因素分析[J]. 中华危重病急救医学, 2019(3): 303-308. DOI:10.3760/cma.j.issn.2095-4352.2019.03.009 |
| [10] | 许俊, 索源, 柏晓奇, 等. 手动胸外按压复苏仪在院前心肺复苏中的应用价值[J]. 中华急诊医学杂志, 2021, 30(1): 49-52. DOI:10.3760/cma.j.issn.1671-0282.2021.01.011 |
| [11] | 褚永华, 王以文, 须欣. 自动心肺复苏机在院外心搏骤停抢救中的应用[J]. 中华急诊医学杂志, 2020, 29(1): 54-57. DOI:10.3760/cma.j.issn.1671-0282.2020.01.008 |
2022, Vol. 31



