2. 加拿大英属哥伦比亚大学理学院
2. Faculty of Science, University of British Columbia, Canada
急性冠脉综合征(acute coronary syndrome, ACS)包括不稳定型心绞痛(unstable angina, UA)、急性非ST段抬高型心肌梗死(non ST segment elevation myocardial infarction, NSTEMI)和急性ST段抬高型心肌梗死(ST segment elevation myocardial infarction, STEMI),是冠状动脉粥样硬化性心脏病(coronary heart disease, CHD)中最为危重的症候群[1-2]。根据《2019中国心血管健康与疾病报告》的数据,2002-2017年ACS病死率总体呈上升态势,给社会经济带来了沉重的负担。血运重建是改善ACS患者症状和病死率的重要性手段[3-4],目前主要包括溶栓治疗、经皮冠状动脉介入治疗(percutaneous coronary intervention, PCI)和冠脉旁路移植术(coronary artery bypass grafting, CABG)。以STEMI为例,急诊PCI是最常见也是最为有效的血运重建手段[5-7],根据患者冠状动脉病变的程度,术者可以选择完全性血运重建或者针对心肌梗死相关血管的血运重建,目前认为完全性血运重建可以明显改善STEMI患者的预后,尽管非梗死相关血管的处理时机仍有争议[8-11]。因此,判断冠状动脉病变的程度对于制订血运重建策略至关重要。中国农村ACS患者因医疗条件所限往往不能及时接受冠状动脉造影,STEMI患者的血运重建以溶栓治疗最为常见,错过了血运重建的最佳时机,导致临床预后很差[5]。目前急需临床研究探寻影响ACS患者冠状动脉病变的程度的因素,有助于及时制订血运重建策略、改善临床预后。
沉默调节蛋白1(sirtuin 1,SIRT1)是Sirtuin家族的7个成员之一,是哺乳动物Sirtuin家族中被研究最为深入的分子[12]。SIRT1主要位于细胞核内,少部分位于细胞浆,主要的生物学功能是去乙酰化酶,底物包括组蛋白和多种转录因子,广泛参与到衰老、代谢、自噬、凋亡等生物学过程[12-15]。近些年来,SIRT1预防心血管疾病的作用逐渐得到证实,通过其在血管内皮和平滑肌细胞中的生物学作用,SIRT1可以有效地延缓实验动物动脉粥样硬化[16-17]、腹主动脉瘤[18-19]、主动脉夹层[20-21]等危重血管疾病的进展。然而,SIRT1尤其是血清SIRT1在心血管疾患者群中的意义目前研究较少。Mariani等[22]研究证实,血清SIRT1与肥胖患者的心外膜脂肪含量成反比,从而可以预测心血管疾病风险。我国的两项研究证实,血清SIRT1与慢性心力衰竭的严重程度和不良预后相关,可以作为判断病情和临床预后的参考依据[23-24]。而血清SIRT1在ACS患者中的临床意义目前尚无文献报道。本研究检测ACS患者的血清SIRT1水平,以SYNTAX评分定量评估冠状动脉病变程度,探寻血清SIRT1和ACS患者冠状动脉病变程度的相关性以及影响冠状动脉病变程度的因素,目的是为临床上评估ACS患者的冠状动脉病变程度、制订血运重建策略提供参考依据从而改善临床预后。
1 资料与方法 1.1 一般资料纳入2019年10月至2020年9月在中日友好医院心脏科住院并接受冠状动脉造影检查的81例ACS患者,采集入院时的一般资料、症状和各临床参数指标。按照2020、2017欧洲心脏病学会指南诊断STEMI和NSTE-ACS[4, 25],所有患者均接受阿司匹林+一种P2Y12受体抑制剂的双联抗血小板治疗、低分子肝素抗凝治疗以及他汀调脂治疗。
本研究经中日友好医院医学伦理委员会批准(审批文号:20186-K02),并获得受试者签署的知情同意书,符合国家卫健委规定及《赫尔辛基宣言》。
1.2 方法 1.2.1 血清SIRT1检测入院24 h内,留取ACS患者外周静脉血,4℃ 2 000 r/min离心10 min,吸取上清,随后4℃ 12 000 rpm离心10 min,吸取上清备用。酶联免疫吸附测定(enzyme linked immunosorbent assay,ELISA)法测定血清SIRT1浓度,具体操作步骤按照试剂盒说明书(人沉默调节蛋白1(SIRT1)酶联免疫分析试剂盒,南京森贝伽生物科技有限公司)进行,每个标本安排3个复孔,取平均值为最终结果。
1.2.2 SYNTAX评分本研究使用SYNTAX评分(http://www.syntaxscore.com)定量评估ACS患者血运重建前冠脉病变的程度,由两名心脏科医生进行单盲评分2次,取平均值为最终结果。本研究使用SYNTAX评分中位数将患者分为高SYNTAX评分(冠脉病变重度)和低SYNTAX评分(冠脉病变轻度)两类。
1.2.3 其他临床参数测定临床数据通过病历系统获得。主要观察指标如下:年龄、性别、体质量指数(body mass index, BMI)、高血压病史、糖尿病病史、吸烟史、冠心病家族史、血肌钙蛋白T(cardiac troponin T, cTNT)、血氨基末端脑钠肽前体(N terminal pro B type natriuretic peptide, NT-proBNP)水平、左心室射血分数(left ventricle ejection fraction, LVEF)、Killip分级、血低密度脂蛋白胆固醇(low density lipoprotein cholesterol, LDL-C)水平、血甘油三脂(triglycerides)水平、糖化血红蛋白(HbA1c)、估计肾小球滤过率(estimated glomerular filtration rate, eGFR)。其中,cTNT、NT-proBNP水平、LVEF、Killip分级于患者采集外周静脉血(用于测定血清SIRT1)当日测定。Killip分级按照2016欧洲心脏病学会心力衰竭指南进行[26]。
1.3 统计学方法使用SPSS 26.0软件进行统计学分析。连续变量使用Shapiro-Wilk检测判断正态性分布。符合正态分布的连续变量以均数±标准差(Mean±SD)表示,不符合正态分布的连续变量采用中位数(四分位数间距)即M(IQR)表示,发生率用百分率(%)表示。连续变量间的关系通过成组t检验和Mann-Whitney U检验分析。分类变量间的关系通过χ2检验。使用Pearson’s相关检验分析血清SIRT1与影响因素是否线性相关,若连续变量不符合正态分布,则使用Spearman相关检验。使用单因素和多因素线性回归分析检测影响SYNTAX评分的因素,输入法筛选变量。建立多因素线性回归模型时,检测是否满足LINE四大前提,即线性(Linear)、正态性(Normal)、独立性(Independence)、方差齐性(Equal Variance),采用Box-Cox变换、Box-Tidwell变换处理非正态、非线性变量。
2 结果 2.1 基本情况入选的81例ACS患者,年龄(62.32±12.35)岁,男性65例,其中STEMI患者67例、NSTEMI患者13例、UA患者1例。SYNTAX评分中位数为19。与低SYNTAX评分(≤19,冠脉病变轻度)组相比,高SYNTAX评分(>19,冠脉病变重度)组患者血清SIRT1水平明显升高,而且冠心病家族史阳性率显著升高(表 1)。其余临床参数,年龄、性别、BMI、高血压病史、糖尿病病史、吸烟史、cTNT、NT-proBNP、LVEF、Killip分级、LDL-C、甘油三脂水平、HbA1c、eGFR等在两组间差异无统计学意义(表 1)。
| 指标a | SYNTAX score | P值 | |
| Low (≤19, n=43) | High (>19, n=38) | ||
| SYNTAX score | 13.00 (9.00, 16.00) | 32.00 (25.00, 39.00) | <0.001 |
| Serum SIRT1 (ng/L) | 242.95 (179.20, 339.30) | 379.38 (252.30, 710.40) | <0.001 |
| Male (n, %) | 34 (79.07) | 31 (81.58) | 0.777 |
| Age/year | 63.65±12.59 | 60.82±12.06 | 0.305 |
| BMI (kg/m2) | 25.89±3.98 | 24.61±4.11 | 0.162 |
| Hypertension (n, %) | 31 (72.09) | 23 (60.53) | 0.270 |
| Diabetes (n, %) | 15 (34.88) | 16 (42.11) | 0.505 |
| Smoking (n, %) | 27 (62.79) | 23(60.53) | 0.834 |
| CAD family history (n, %) | 9 (20.93) | 16 (42.11) | 0.039 |
| cTNT (ng/mL) | 2.18 (0.66, 3.37) | 1.74 (0.78, 4.32) | 0.620 |
| Killip (Ⅱ-Ⅳ) (n, %) | 20 (46.51) | 22 (57.89) | 0.306 |
| NT-proBNP (pg/mL) | 746.00 (557.00, 3051.00) | 1405.50 (348.50, 3132.00) | 0.690 |
| LVEF (%) | 55.60±10.91 | 54.97±8.35 | 0.780 |
| LDL-C (mmol/L) | 2.74±0.83 | 3.10±0.92 | 0.067 |
| Triglycerides (mmol/L) | 1.41 (1.06, 2.42) | 1.81 (1.07, 2.57) | 0.617 |
| HbA1c (%) | 6.40±1.34 | 6.82±1.98 | 0.335 |
| eGFR [ml/(min·1.73 m2)] | 83.94±26.80 | 78.24±33.04 | 0.395 |
| 注:Continuous variables were shown as mean±standard deviation or median (InterQuartile Range, IQR); Categorical variables were shown as n (%). ACS, acute coronary syndrome; BMI, body mass index; CAD, coronary artery disease; cTNT, cardiac troponin T; NT-proBNP, N terminal pro B type natriuretic peptide; LVEF, left ventricle ejection fraction; LDL-C, low density lipoprotein cholesterol; eGFR, estimated glomerular filtration rate. | |||
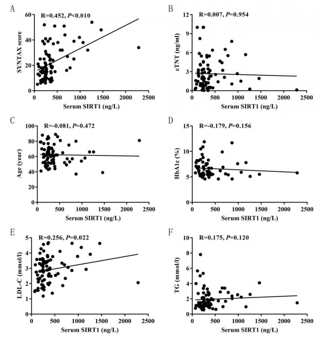
本研究结果显示,血清SIRT1与ACS患者的SYNTAX评分呈线性正相关(图 1A)。由于入选的病例多为急性心肌梗死患者,血清SIRT1可能来源于坏死的心肌细胞,因此本研究将抽血检测血清SIRT1同日的血cTNT结果做了相关分析,结果提示血清SIRT1与血cTNT水平无显著性线性相关(图 1B)。之前基础研究报道,SIRT1是衰老和机体代谢的重要调节因子[12-13, 27],本研究数据提示血清SIRT1与血LDL-C水平呈线性正相关(图 1E),而与年龄、血糖化血红蛋白、血甘油三脂水平均无显著性线性相关(图 1C, D, F)。
|
| cTNT, cardiac troponin T; LDL-C, low density lipoprotein cholesterol; TG, triglycerides 图 1 血清SIRT1和SYNTAX评分、cTNT及糖脂代谢指标相关性分析 Fig 1 Correlation of serum SIRT1 with SYNTAX score (a), cTNT (b), Age (c), HbA1c (d), LDL-C (e) and TG (f). |
|
|
本研究选取血清SIRT1、年龄、性别、BMI、高血压病史、糖尿病病史、吸烟史、冠心病家族史、LVEF、血LDL-C水平、血甘油三脂水平、eGFR作为自变量纳入因变量为SYNTAX评分的单因素和多因素线性回归模型,由于血清SIRT1和SYNTAX评分值均不符合正态分布,因此将二者进行ln对数处理后,模型符合LINE前提。多因素线性回归分析结果提示,血清SIRT1(ln处理后)、年龄和eGFR是ACS患者SYNTAX评分(ln处理后)的独立影响因素(Adjusted R2=0.330, P<0.001)见表 2。
| 指标 | Univariate linear regression | Multivariate linear regression | |||
| β | P值 | β | P value | ||
| Serum SIRT1 (ln) | 0.502 | <0.001 | 0.377 | 0.001 | |
| Gender | 0.126 | 0.264 | 0.143 | 0.235 | |
| Age | -0.233 | 0.036 | -0.339 | 0.010 | |
| BMI | -0.093 | 0.413 | -0.119 | 0.287 | |
| Hypertension | -0.160 | 0.153 | -0.033 | 0.769 | |
| Diabetes | 0.006 | 0.959 | 0.064 | 0.539 | |
| Smoking | 0.056 | 0.622 | -0.032 | 0.797 | |
| CAD family history | 0.193 | 0.085 | 0.155 | 0.148 | |
| LVEF | -0.028 | 0.810 | -0.016 | 0.876 | |
| LDL-C | 0.240 | 0.032 | 0.224 | 0.069 | |
| TG | 0.027 | 0.812 | -0.065 | 0.551 | |
| eGFR | -0.093 | 0.408 | -0.390 | 0.002 | |
| Adjusted R2 | 0.330 | <0.001 | |||
| 注:BMI: body mass index; CAD: coronary artery disease; LVEF: left ventricle ejection fraction; TG: triglycerides; LDL-C: low density lipoprotein cholesterol; eGFR:estimated glomerular filtration rate; β: standardized linear regression coefficient | |||||
本研究首次探讨了血清SIRT1水平与ACS患者冠脉病变程度的关系,结果证实血清SIRT1升高、年龄和eGFR降低是ACS患者冠脉病变程度的独立影响因素。
SIRT1的本质是Ⅲ类组蛋白去乙酰化酶,主要定位于细胞核,研究证实其底物除了组蛋白外还包括多种转录因子,广泛参与到衰老、代谢、炎症、凋亡等生命过程[27-29]。作为一个衰老和长寿相关因子,SIRT1在心血管疾病尤其是危重血管性疾病中的保护作用逐渐受到重视。SIRT1可以通过上调动脉内皮细胞中内皮型一氧化氮合成酶(endothelial nitric oxide synthase, eNOS)的表达来改善血管功能、抑制动脉粥样硬化斑块形成[17]。而SIRT1抑制动脉粥样硬化斑块形成的机制还包括抑制血管中膜平滑肌细胞的衰老和DNA损伤[16]。此外,SIRT1对于危重主动脉疾病例如腹主动脉瘤和胸主动脉瘤/夹层的抑制作用主要是通过影响平滑肌细胞实现的。SIRT1主要通过抑制血管中膜平滑肌细胞的衰老和炎症因子表达从而延缓腹主动脉瘤的进展[19],而SIRT1抑制胸主动脉瘤/夹层的机制主要是通过影响组蛋白H3的乙酰化从而下调基质金属蛋白酶2的表达实现的[21]。在上述疾病中,虽然SIRT1均是发挥保护作用,但是在实验动物疾病模型中,SIRT1的表达是上调的。例如,在小鼠腹主动脉瘤模型中,血管紧张素Ⅱ(angiotensinⅡ, AngⅡ)刺激后,血管内SIRT1表达显著升高[19],可以解释为是机体对外界刺激因素的应激反应。本研究入选的均为ACS患者,而结果提示血清SIRT1水平和患者冠脉病变程度呈正相关,结果趋势与基础研究相符。目前关于血清SIRT1的功能研究很少,实际上血液循环中SIRT1的来源并不明确,本研究结果提示血清SIRT1水平与cTNT水平并不平行,提示血清中SIRT1不完全来源于坏死心肌组织。作为影响衰老的代谢的重要因子,本研究并未发现血清SIRT1和年龄、糖化血红蛋白、甘油三脂有明确的线性相关,只是与LDL-C呈线性正相关。目前推测,血清SIRT1可能来源于血液系统、代谢系统和心血管系统,后续的研究需要证实血清SIRT1的确切来源和功能,进一步明确血清SIRT1水平的临床意义。
本研究通过多因素线性回归模型发现,另外两个独立影响ACS患者冠脉病变程度的因素是年龄和eGFR。多因素线性回归模型中,年龄的β值是负值,表面理解为随着年龄的降低ACS患者冠脉病变程度呈升高趋势。本研究入选的81例ACS患者,年龄为(62.32±12.35)岁,多集中于50~75岁年龄段,80岁以上仅有7个病例且仅有一个病例SYNTAX评分超过19。这可能部分原因在于抽样误差,但是本研究的结果与国内国际报道的ACS患者逐渐年轻化是相符的[3-5, 25]。而在本中心的临床实践中,冠脉复杂病变例如左主干病变、多支病变、慢性闭塞性病变也最常见于50~75岁人群。多因素线性回归模型中,eGFR的β值也是负值,eGFR下降多见于慢性肾脏疾病(chronic kidney disease, CKD)患者,CKD患者的冠脉病变特点是钙化病变、多支病变,体现为SYNTAX评分升高、血运重建策略制订困难、患者临床预后差[3-4, 25]。值得注意的是,动脉血管钙化的动物模型就是通过慢性肾衰实现的,而上调SIRT1的表达可以明显抑制血管和平滑肌细胞钙化的进展[30-31]。因此,本研究中血清SIRT1水平的升高可以理解为机体对于冠脉复杂病变的反应。
本研究的意义是在冠脉造影前或者无条件行冠脉造影时,为评估ACS患者的冠脉病变程度提供参考依据。同时探讨SIRT1在临床中的应用价值,促进研究者设计更大规模的临床试验来印证SIRT1的转化医学意义。针对ACS冠脉病变程度高危的患者,临床医生应实施更为积极的治疗措施,尽早制订血运重建和药物治疗策略,旨在改善ACS患者的临床预后。本研究的局限性在于入选患者相对较少,本中心以后将开展更大规模的研究,继续深入探寻影响ACS患者预后的因素和血清SIRT1的临床应用价值。
利益冲突 所有作者均声明不存在利益冲突。
| [1] | 江蓉, 刘建华, 熊丹, 等. 影响急性冠脉综合征患者应用院前急救医疗系统的因素[J]. 中华急诊医学杂志, 2019, 28(6): 763-766. DOI:10.3760/cma.j.issn.1671-0282.2019.06.020 |
| [2] | 中国医师协会急诊医师分会, 中华医学会心血管病学分会, 中华医学会检验医学分会. 急性冠脉综合征急诊快速诊疗指南[J]. 中华急诊医学杂志, 2016, 25(4): 397-404. DOI:10.3760/cma.j.issn.1671-0282.2016.04.002 |
| [3] | Neumann FJ, Sousa-Uva M, Ahlsson A, et al. 2018 ESC/EACTS Guidelines on myocardial revascularization[J]. Kardiol Pol, 2018, 76(12): 1585-1664. DOI:10.5603/KP.2018.0228 |
| [4] | Collet JP, Thiele H, Barbato E, et al. 2020 ESC Guidelines for the management of acute coronary syndromes in patients presenting without persistent ST-segment elevation[J]. Eur Heart J, 2020: ehaa575. DOI:10.1093/eurheartj/ehaa575 |
| [5] | 中华医学会心血管病学分会, 中华心血管病杂志编辑委员会. 急性ST段抬高型心肌梗死诊断和治疗指南(2019)[J]. 中华心血管病杂志, 2019, 47(10): 766-783. DOI:10.3760/cma.j.issn.0253?3758.2019.10.003 |
| [6] | Chen GX, Wang HN, Zou JL, et al. Effects of intracoronary injection of nicorandil and tirofiban on myocardial perfusion and short-term prognosis in elderly patients with acute ST-segment elevation myocardial infarction after emergency PCI[J]. World J Emerg Med, 2020, 11(3): 157-163. DOI:10.5847/wjem.j.1920-8642.2020.03.005 |
| [7] | Jiang J, Tian NL, Cui HB, et al. Post-dilatation improves stent apposition in patients with ST-segment elevation myocardial infarction receiving primary percutaneous intervention: a multicenter, randomized controlled trial using optical coherence tomography[J]. World J Emerg Med, 2020, 11(2): 87-92. DOI:10.5847/wjem.j.1920-8642.2020.02.004 |
| [8] | Wood DA, Cairns JA, Wang J, et al. Timing of staged nonculprit artery revascularization in patients with ST-segment elevation myocardial infarction: COMPLETE trial[J]. J Am Coll Cardiol, 2019, 74(22): 2713-2723. DOI:10.1016/j.jacc.2019.09.051 |
| [9] | Thiele H, Akin I, Sandri M, et al. One-year outcomes after PCI strategies in cardiogenic shock[J]. N Engl J Med, 2018, 379(18): 1699-1710. DOI:10.1056/nejmoa1808788 |
| [10] | Mehta SR, Wood DA, Storey RF, et al. Complete revascularization with multivessel PCI for myocardial infarction[J]. N Engl J Med, 2019, 381(15): 1411-1421. DOI:10.1056/NEJMoa1907775 |
| [11] | Gershlick AH, Banning AS, Parker E, et al. Long-term follow-up of complete versus lesion-only revascularization in STEMI and multivessel disease: the CvLPRIT trial[J]. J Am Coll Cardiol, 2019, 74(25): 3083-3094. DOI:10.1016/j.jacc.2019.10.033 |
| [12] | Guarente L, Picard F. Calorie restriction—the SIR2 connection[J]. Cell, 2005, 120(4): 473-482. DOI:10.1016/j.cell.2005.01.029 |
| [13] | Michan S, Sinclair D. Sirtuins in mammals: insights into their biological function[J]. Biochem J, 2007, 404(1): 1-13. DOI:10.1042/BJ20070140 |
| [14] | Chen D, Steele AD, Lindquist S, et al. Increase in activity during calorie restriction requires Sirt1[J]. Science, 2005, 310(5754): 1641. DOI:10.1126/science.1118357 |
| [15] | Bordone L, Guarente L. Calorie restriction, SIRT1 and metabolism: understanding longevity[J]. Nat Rev Mol Cell Biol, 2005, 6(4): 298-305. DOI:10.1038/nrm1616 |
| [16] | Gorenne I, Kumar S, Gray K, et al. Vascular smooth muscle cell sirtuin 1 protects against DNA damage and inhibits atherosclerosis[J]. Circulation, 2013, 127(3): 386-396. DOI:10.1161/CIRCULATIONAHA.112.124404 |
| [17] | Zhang QJ, Wang Z, Chen HZ, et al. Endothelium-specific overexpression of class Ⅲ deacetylase SIRT1 decreases atherosclerosis in apolipoprotein E-deficient mice[J]. Cardiovasc Res, 2008, 80(2): 191-199. DOI:10.1093/cvr/cvn224 |
| [18] | Liu Y, Wang TT, Zhang R, et al. Calorie restriction protects against experimental abdominal aortic aneurysms in mice[J]. J Exp Med, 2016, 213(11): 2473-2488. DOI:10.1084/jem.20151794 |
| [19] | Chen HZ, Wang F, Gao P, et al. Age-associated sirtuin 1 reduction in vascular smooth muscle links vascular senescence and inflammation to abdominal aortic aneurysm[J]. Circ Res, 2016, 119(10): 1076-1088. DOI:10.1161/CIRCRESAHA.116.308895 |
| [20] | Fry JL, Shiraishi Y, Turcotte R, et al. Vascular smooth muscle sirtuin-1 protects against aortic dissection during angiotensin Ⅱ-induced hypertension[J]. J Am Heart Assoc, 2015, 4(9): e002384. DOI:10.1161/JAHA.115.002384 |
| [21] | Wang F, Tu YM, Gao YX, et al. Smooth muscle sirtuin 1 blocks thoracic aortic aneurysm/dissection development in mice[J]. Cardiovasc Drugs Ther, 2020, 34(5): 641-650. DOI:10.1007/s10557-020-07005-w |
| [22] | Mariani S, Costantini D, Lubrano C, et al. Circulating SIRT1 inversely correlates with epicardial fat thickness in patients with obesity[J]. Nutr Metab Cardiovasc Dis, 2016, 26(11): 1033-1038. DOI:10.1016/j.numecd.2016.06.001 |
| [23] | 徐娟娟, 沈正军, 倪斌, 等. 慢性心力衰竭患者血清血管形成抑制素-2及沉默信息调节因子1检测的临床意义[J]. 国际检验医学杂志, 2020, 41(16): 1939-1943. DOI:10.3969/j.issn.1673-4130.2020.16.005 |
| [24] | 王宇栋, 罗卓卡, 蒋煜, 等. 血清SIRT1水平对慢性心力衰竭患者预后的预测价值分析[J]. 中国循证心血管医学杂志, 2019, 11(9): 1073-1076. DOI:10.3969/j.issn.1674-4055.2019.09.11 |
| [25] | Ibánez B, James S, Agewall S, et al. 2017 ESC Guidelines for the management of acute myocardial infarction in patients presenting with ST-segment elevation[J]. Rev Esp Cardiol (Engl Ed), 2017, 70(12): 1082. DOI:10.1016/j.rec.2017.11.010 |
| [26] | Ponikowski P, Voors AA, Anker SD, et al. 2016 ESC Guidelines for the diagnosis and treatment of acute and chronic heart failure: The Task Force for the diagnosis and treatment of acute and chronic heart failure of the European Society of Cardiology (ESC)Developed with the special contribution of the Heart Failure Association (HFA) of the ESC[J]. Eur Heart J, 2016, 37(27): 2129-2200. DOI:10.1093/eurheartj/ehw128 |
| [27] | Yamamoto H, Schoonjans K, Auwerx J. Sirtuin functions in health and disease[J]. Mol Endocrinol, 2007, 21(8): 1745-1755. DOI:10.1210/me.2007-0079 |
| [28] | Kida Y, Goligorsky MS. Sirtuins, cell senescence, and vascular aging[J]. Can J Cardiol, 2016, 32(5): 634-641. DOI:10.1016/j.cjca.2015.11.022 |
| [29] | Lavu S, Boss O, Elliott PJ, et al. Sirtuins: novel therapeutic targets to treat age-associated diseases[J]. Nat Rev Drug Discov, 2008, 7(10): 841-853. DOI:10.1038/nrd2665 |
| [30] | Badi I, Mancinelli L, Polizzotto A, et al. miR-34a promotes vascular smooth muscle cell calcification by downregulating SIRT1 (sirtuin 1) and axl (AXL receptor tyrosine kinase)[J]. Arterioscler Thromb Vasc Biol, 2018, 38(9): 2079-2090. DOI:10.1161/ATVBAHA.118.311298 |
| [31] | Takemura A, Iijima K, Ota H, et al. Sirtuin 1 retards hyperphosphatemia-induced calcification of vascular smooth muscle cells[J]. Arterioscler Thromb Vasc Biol, 2011, 31(9): 2054-2062. DOI:10.1161/ATVBAHA.110.216739 |
2021, Vol. 30



