血栓弹力图(thrombelastograpthy, TEG)是一种能够全面反映凝血功能的检测诊断方法,可用于协助评估出血和血栓风险,以及监测抗血栓治疗[1-3]。TEG系统各个参数可以揭示凝血系统的全貌,有助了解血栓及出血事件的风险,制定针对性强的干预和治疗方案[4-6]。
现有TEG仪器参数主要针对临床应用进行设计,以TEG®5000型仪器的全血复钙法检测为例,上机前需要将1 mL含3.2%枸橼酸钠抗凝剂(sodium citrate, SC)的血液样本(3.2%SC与全血比为1: 9)加入到含有40 μL的Kaolin激活剂试管中[7-8]。小鼠是科研中最常用的实验动物之一,其总血容量约为其体质量的7%左右,常规实验所用小鼠的体质量约为20~30 g,由于实验设计和技术操作的限制,小鼠的采血量往往很难达到TEG的上机要求[9-10]。而另一方面,小鼠的凝血功能相对于人类而言也存在诸多特性。当前采用小鼠血液样本进行TEG检测仍然存在许多困难和矛盾,一定程度上限制了TEG在小鼠凝血功能研究方面的应用。本研究旨在探索不同比例SC与小鼠全血的血栓弹力图变化,为科研工作提供一定参考和借鉴。
1 材料与方法 1.1 小鼠TEG结果的收集 1.1.1 实验动物8~12周C57BL/6小鼠40只,雄性,体质量23~28 g,购自空军军医大学实验动物中心。常规饲养,自由摄食和饮水,实验当天将小鼠从动物房取出,本实验已由空军军医大学医学伦理委员会审核批准(批准号:20190104)。
1.1.2 实验仪器与试剂TEG®5000型血栓弹力仪,活化凝血检测试剂盒(Kaolin激活剂40 μL),微量移液器(美国血液技术公司),CaCl2试剂(15 mL)(上海宇玫博生物科技有限公司),戊巴比妥钠(25 g)(中国医药上海化学试剂公司),0.9%氯化钠注射液(100 mL)(华仁药业股份有限公司),3.2%SC(3 mL)(山东威高集团医用高分子制品股份有限公司)。
1.1.3 实验分组将40只C57BL/6小鼠分为四组(每组n=10):A组、B组、C组和D组的3.2%SC和小鼠全血的比例分别按照1:9(100 μL:900 μL)、1:3(250 μL:750 μL)、1:1(500 μL:500 μL)和1:3(100 μL:300 μL)的比例配比后准备进行TEG检测。
1.1.4 实验步骤 1.1.4.1 TEG®5000型仪器的准备试剂从4℃冰箱取出复温至少十分钟以上,打开电脑,登录TEG软件,查看TEG仪器水平基线并测试运行质控,安装微量移液器并加入20 ul的CaCl2溶液,在操作界面增加样本信息。
1.1.4.2 心脏取血取1g的戊巴比妥纳粉剂与100 mL 0.9%氯化钠注射液混合,配成1%戊巴比妥纳注射液进行小鼠腹腔注射(50 mg/kg),待小鼠麻醉后将其四肢进行固定。使用1 mL注射器抽取适量3.2%SC,之后将注射器针头紧贴剑突下边缘,针头以30°的角度斜向前略偏右插入心脏,当观察到注射器前段有血液流入时,固定注射器位置,缓慢回抽注射器,吸取适量小鼠血液。
1.1.4.3 血液样本准备A组、B组、C组和D组3.2%SC与小鼠全血配比稀释后,向配比血样中加入相应量的Kaolin激活剂(1 mL:40 μL或400 μL:16 μL)(详见表 1)。取340 μL混合血液加入微量移液器中,在操作界面点击开始,运行TEG软件,直到MA值确定时停止软件运行(MA值无法检测时,以R>20 min作为实验截点)。
| 分组 | 3.2%枸橼酸钠抗凝剂(μL) | 小鼠全血(μL) | Kaolin激活剂(μL) |
| A组(n=10) | 100 | 900 | 40 |
| B组(n=10) | 250 | 750 | 40 |
| C组(n=10) | 500 | 500 | 40 |
| D组(n=10) | 100 | 300 | 16 |
回顾性收集空军军医大学西京医院急诊科2015年10月至2020年1月TEG临床检测各项指标均在正常参考范围内(R时间:5~10 min,K时间:1~3 min,Angle角度:53~72°,MA值:50~70 mm,CI:-3~3)的报告结果94份作为E组,五项指标中任意一项指标超过正常参考范围均排除在外,所有患者对检查方案均知情同意。
1.3 统计学方法计量资料以均数±标准差(Mean±SD)表示,采用Student t检验,以P<0.05为差异具有统计学意义,使用GraphPad 8.0.2软件进行数据分析。
2 结果 2.1 各组TEG检测结果各组TEG检测结果见表 2,当SC与小鼠全血比例为1: 9条件下(A组)进行TEG检测,TEG各指标的均数均超出TEG临床正常参考范围,小鼠TEG检测结果表现为高凝状态;当1: 3条件下(B组和D组),小鼠TEG各检测指标的均数均位于TEG正常检测范围内;当1: 1条件下(C组),小鼠TEG检测结果表现为低凝状态,TEG检测R时间>20 min,未检测出其他指标。E组为临床报告组。图 1~5依次为各组TEG示例图,每组所选示例的TEG图片为CI值最接近该组CI值均数的TEG图片。
| 分组 | R(min) | K(min) | Angle(°) | MA(mm) | CI |
| A组(n=10) | 2.360±0.8540 | 0.8500±0.1581 | 80.69±3.425 | 75.34±4.896 | 5.690±1.172 |
| B组(n=10) | 6.120±2.659 | 1.490±0.5763 | 68.69±7.699 | 68.58±7.569 | 1.290±2.758 |
| C组(n=10) | >20 | ||||
| D组(n=10) | 5.500±1.795 | 1.560±0.5777 | 66.95±8.982 | 68.12±7.451 | 1.470±2.814 |
| E组(n=94) | 7.319±1.275 | 2.137±0.3946 | 60.81±4.263 | 63.29±4.706 | -1.002±1.284 |
| 注:A组、B组、C组和D组的枸橼酸钠抗凝剂与小鼠全血分别为(100 μL:900 μL)、(250 μL:750 μL)、(500 μL:500 μL)和(100 μL:300 μL),E组为临床报告组 | |||||
|
| A组枸橼酸钠抗凝剂与小鼠全血为(100μL:900μL) 图 1 A组示例图 |
|
|
|
| B组枸橼酸钠抗凝剂与小鼠全血为(250μL:750μL) 图 2 B组示例图 |
|
|
|
| C组枸橼酸钠抗凝剂与小鼠全血为(500μL:500μL) 图 3 C组示例图 |
|
|
|
| D组枸橼酸钠抗凝剂与小鼠全血为(100μL:300μL) 图 4 D组示例图 |
|
|
|
| E组为临床报告组 图 5 E组示例图 |
|
|
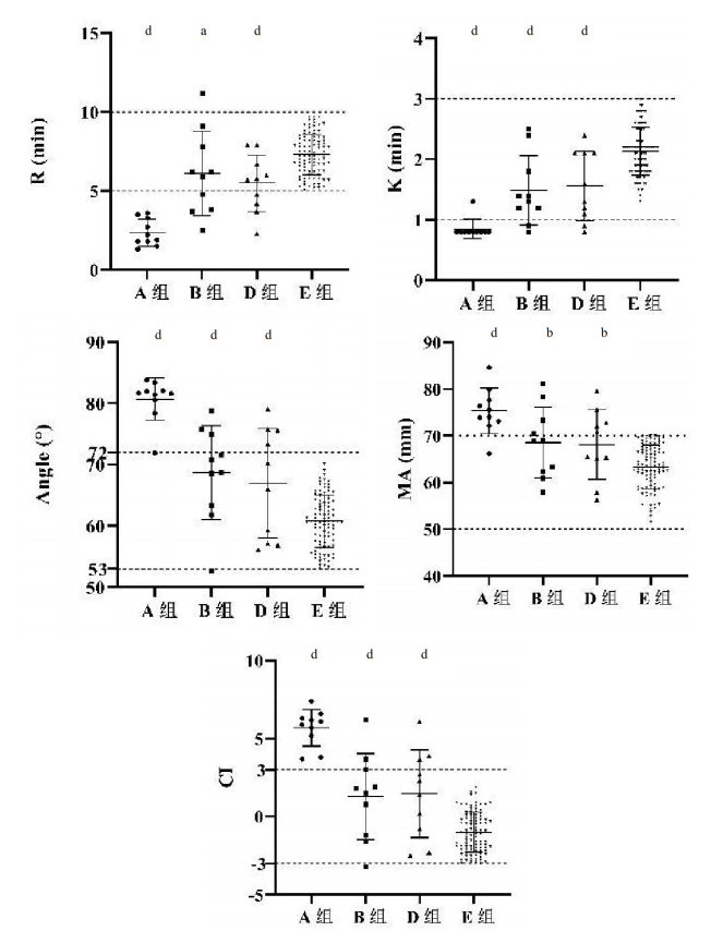
B组(1:3)与A组(1:9)相比,R时间和K时间延长,Angle角度、MA值和CI值减小,各检测指标两两比较差异均有统计学意义(P<0.05)(见图 6)。C组(1:1)R>20 min,未检测出其他指标结果(见图 4)。
|
|
A组、B组和D组的枸橼酸钠抗凝剂与小鼠全血分别为(100 μL:900 μL)、(250 μL:750 μL)和(100 μL:300 μL) 与B组比较,NSP>0.05,aP<0.05,bP<0.01,cP<0.001,dP<0.0001 图 6 各小鼠组TEG检测结果比较 |
|
|
B组(250μL:750μL)与D组(100μL:300μL)的R时间、K时间、Angle角度、MA值和CI值两两相比,差异均无统计学意义(P>0.05)(见图 6)。
2.4 各小鼠组TEG检测结果与临床正常结果的比较A组、B组和D组与E组相比R时间和K时间更短,Angle角度、MA值和CI值更大,各组检测指标与E组指标分别两两比较差异均有统计学意义(P<0.05)(见图 7)。
|
| A组、B组和D组的枸橼酸钠抗凝剂与小鼠全血分别为(100μL:900μL)、(250 μL:750 μL)和(100 μL:300 μL),E组为临床报告组与E组比较,NSP>0.05,aP<0.05,bP<0.01,cP<0.001,dP<0.0001 图 7 各小鼠组TEG检测结果与临床正常结果的比较 |
|
|
本研究显示当3.2%SC与小鼠全血的比为1: 9时,小鼠TEG检测结果表现为高凝状态,K时间数值多集中在最大值0.8 min附近,提示在常规稀释比例下TEG检测结果可能不能很好反映小鼠K时间的个体差异。鉴于TEG®5000型血栓弹力仪上机所需的血液样本为340 μL,实验中需准备的血液样本体积必须大于此数值,本研究将SC的用量与小鼠的采血量由(250 μL:750 μL)缩减至为(100 μL:300 μL),将Kaolin激活剂用量由40 μL调整为16 μL,结果显示等比例减少SC、小鼠全血和Kaolin激活剂的用量,对TEG检测结果无明显影响。
随着SC与小鼠全血比例的升高,小鼠TEG检测结果所显示凝血功能也逐渐降低。选择20 min作为D组观察截止时间的原因为:①TEG正常检测范围为(5~10)min,20 min为正常检测范围上限的2倍;②本研究回顾了空军军医大学西京医院急诊科2015年10月至2020年1月的所有TEG临床报告结果,发现TEG其他指标可检测出时,R值均<20 min。
本研究探索了不同比例SC与小鼠全血的TEG变化,结果显示SC与小鼠全血比例从1:9升高至1:3,采血量从900 μL降低至300 μL仍然可以实现小鼠TEG检测。本研究中改进的小鼠血液样本上机方法从降低小鼠全血比例和降低小鼠全血用量两方面着手,可以显著降低小鼠采血的需求量,从而为开展小鼠TEG检测提供更多的可能性。后续研究可以结合不同实验目的和实验条件,继续优化TEG检测中抗凝剂的比例和用量,而不同实验动物、不同采血方法、不同采血部位以及不同抗凝剂等因素对TEG检测的影响,值得进一步研究和探索。
利益冲突 所有作者均声明不存在利益冲突。
| [1] | Schmidt AE, Israel AK, Refaai MA. The utility of thromboelastography to guide blood product TransfusionAn ACLPS critical review[J]. Am J Clin Pathol, 2019, 152(4): 407-422. DOI:10.1093/ajcp/aqz074 |
| [2] | Walsh M, Moore EE, Moore H, et al. Use of viscoelastography in malignancy-associated coagulopathy and thrombosis: a review[J]. Semin Thromb Hemost, 2019, 45(4): 354-372. DOI:10.1055/s-0039-1688497 |
| [3] | 徐文心, 朱晓光, 李梅芳, 等. 血栓弹力图对创伤性凝血病患者诊断和输血治疗的研究[J]. 中华急诊医学杂志, 2019, 28(4): 504-509. DOI:10.3760/cma.j.issn.1671-0282.2019.04.021 |
| [4] | Blaine KP, Steurer MP. Viscoelastic monitoring to guide the correction of perioperative coagulopathy and massive transfusion in patients with life-threatening hemorrhage[J]. Anesthesiol Clin, 2019, 37(1): 51-66. DOI:10.1016/j.anclin.2018.09.004 |
| [5] | Peng HT, Nascimento B, Beckett A. Thromboelastography and thromboelastometry in assessment of fibrinogen deficiency and prediction for transfusion requirement: a descriptive review[J]. Biomed Res Int, 2018, 2018: 7020539. DOI:10.1155/2018/7020539 |
| [6] | 闫彬, 胡天喜, 李新, 等. 血栓弹力图和传统凝血指标检测在缺血性脑血管病中的相关性研究[J]. 中华急诊医学杂志, 2019, 28(12): 1490-1495. DOI:10.3760/cma.j.issn.1671-0282.2019.12.006 |
| [7] | Moore HB, Moore EE, Neal MD, et al. Fibrinolysis shutdown in trauma: historical review and clinical implications[J]. Anesth Analg, 2019, 129(3): 762-773. DOI:10.1213/ANE.0000000000004234 |
| [8] | Whiting P, Al M, Westwood M, et al. Viscoelastic point-of-care testing to assist with the diagnosis, management and monitoring of haemostasis: a systematic review and cost-effectiveness analysis[J]. Health Technol Assess, 2015, 19(58): 1-228. DOI:10.3310/hta19580 |
| [9] | Kaur H, Fisher K, Othman M. Thromboelastography testing in mice following blood collection from facial vein and cardiac puncture[J]. Blood Coagul Fibrinolysis, 2019, 30(7): 366-369. DOI:10.1097/MBC.0000000000000836 |
| [10] | Kopić A, Benamara K, Schuster M, et al. Coagulation phenotype of wild-type mice on different genetic backgrounds[J]. Lab Anim, 2019, 53(1): 43-52. DOI:10.1177/0023677218811059 |
2021, Vol. 30



