中华急诊医学杂志  2020, Vol. 29 Issue (6): 876-879   DOI: 10.3760/cma.j.issn.1671-0282.2020.06.029
超声稀释法和其他方法测量再循环的理论和实践
姚慧 , 金魁 , 徐军     
北京协和医院急诊科, 100730
1 再循环的定义和病理生理

随着体外膜氧合在急诊重症方面应用的越来越广泛[1-2],再循环的概念也越来越引起人们的重视,再循环(re-circulation)是指静脉-静脉体外膜氧合(veno-venous extracorporeal membrane oxygenation, VV-ECMO)中由回输管回输的已经氧合器充分氧合的血液被引流管重新吸入ECMO管路和膜肺中,导致对体循环的氧输送减少、引流管内的不饱和血比例下降的现象[3]。再循环率(re-circulation fraction, R)是指被引流管引出的充分氧合的血流量占ECMO流量的百分比。如被引流管引出的充分氧合的血流量为b L/min,ECMO流量为Q L/min,则再循环率R=b/ Q×100%[4](见图-1)。再循环使得一部分回输管回输的氧饱和血没有通过三尖瓣继而进入体循环向全身供氧。理论上,假设ECMO流量为4 L/min,当再循环率为20%时,则ECMO每分钟向体循环提供3.2 L的氧合血,当再循环率为30%时,ECMO每分钟向体循环提供2.8 L的氧合血,再循环的发生将降低ECMO的治疗效率,导致氧输送下降,过高的再循环率可能导致患者氧供需失衡造成患者氧供和氧消耗失衡影响患者预后。临床判断再循环率并且减少再循环率对于维持患者氧供需平衡、延长膜肺使用寿命并减少ECMO支持需要时间有重要的意义。

图 1 再循环率的定义
2 几种测量再循环的方法 2.1 判断有无临床显著意义的再循环(方法1)

有研究者认为如果没有定量再循环的条件,可以通过测定回输管和引流管中氧分压来判断有无临床显著意义的再循环[5],如果引流管中的氧分压小于回输管中氧分压的10%,则可以认为不存在临床显著意义的再循环。

2.2 超声微泡造影半定量法(方法2)

超声心动图下微泡造影可以用于半定量再循环率,通过向回输管路中注入微泡造影剂并使用超声观察微泡在右心房中的流向和流速,微泡流向下腔静脉的数量越多、流速越快能够间接反映再循环率越大[6-7]

2.3 中心静脉血氧饱和度法(方法3)

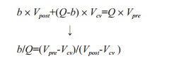
使用中心静脉血氧饱和度来测定再循环率,需要中心静脉置管,并从中心静脉导管中抽取血样,将此血样视为混合静脉回流血样,其氧饱和度代表上腔静脉、下腔静脉、冠状窦回流血混合后的血氧饱和度。再分别测定回输管和引流管中的血氧饱和度。再循环率等于引流管血氧饱和度和回输管血氧饱和度分别减去混合静脉回流血血氧饱和度之后的比值。具体的推导过程如下[8]

引流管引流的血液来自于上、下腔静脉回流至右心房的混合静脉血和再循环的氧合血,所以引流管中的氧含量(Q×Vpre)等于再循环血液中的氧含量(b×Vpost)+混合静脉回流血中的氧含量[(Q-bVcv]。可以推导出:

因为氧饱和度=氧含量/氧容量,所以氧含量=氧饱和度×氧容量。而氧容量等于血红蛋白可结合氧量+溶解氧量。对于患者而言,血红蛋白量是固定的,血红蛋白可结合氧量也是固定的,溶解氧量通常很少可忽略不计,所以氧含量=氧饱和度×常数。可以推导出:

图 2 中心静脉饱和度法测定再循环率示意图
2.4 超声稀释法(方法4)

超声的应用范围越来越广泛[9-10],目前也已经用于测定再循环率,超声稀释技术最初用于测定透析患者的动静脉瘘的再循环量[11]。经过一段时间的发展,被应用于测定VV-ECMO中的再循环率。具体实施需要使用特定的超声探头和相应软件,计算原理和推导过程如下[12]

通过注射点快速注入一定量指示剂(指示剂通常为10 mL生理盐水, 注射时间小于3 s),指示剂会使血液稀释,超声探头1探测到流经回输管中的红细胞密度降低,呈现出一个下凹的曲线,那么,指示剂的浓度则是一个上凸的曲线,曲线下面积AUC1为指示剂的浓度时间积分。可以梯形法得到近似的曲线下面积,单位为mmol×min/L。如果不存在再循环,则没有指示剂被引流入引流管,超声探头2将检测不到红细胞的变化。如果存在再循环,引流管引出的指示剂经过超声探头2和配套软件的处理,可以用同样方法测出这部分被引流出的指示剂的曲线下面积AUC2

因为

所以

所以

2.5 不同测定方法的比较

当外周动脉血氧饱和度<88%,逐步排查VV-ECMO效率降低的原因时[8],可以使用方法1来初步判断是否存在临床显著意义的再循环。方法1非常简便,仅需要测量回输管和引流管中血液的氧分压即可,但它提供的信息也很少,不能够精确定量再循环率。方法2也存在同样的问题,微泡造影剂可以通过混合空气和盐水获得,使用简便但仅仅是一种半定量方法。方法3和方法4则可以精确定量再循环率。

方法3需要血气分析和中心静脉置管,方法4需要管路配套的超声探头和相应的分析软件。血气分析和中心静脉置管是重症监护病房的常用操作,而超声稀释方法测量再循环目前主要用于动物实验和小样本临床研究,暂时还没有成为普遍的临床监测手段。

方法3以往被称为定量再循环的金标准,但实际上应用VV-ECMO患者的右心房血液为静脉回流血和回输管氧合血这两类血流的混合血,从中心静脉导管抽出的血样并不能够真正代表上腔静脉、下腔静脉和冠状窦的混合静脉回流血,即ScvO2较真实值高[13]。为排除回输管氧合血的影响,将ECMO的膜肺的供氧中断以获得真实的ScvO2,但某些病情较重、对ECMO依赖的患者无法耐受停止膜肺的供氧。还有研究者使用下腔静脉血氧饱和度来代替ScvO2,但一般来说下腔静脉血氧饱和度与真实ScvO2存在差异[14]

方法4是从测量透析患者动静脉瘘再循环率中衍生的,它的准确性已经在透析患者中经过了充分验证[15-18]。而且方法4非常快速简便,仅需向注射点中快速注射10 mL盐水,即可迅速检测到通过重新定位套管或改变心排血量引起的再循环率变化[19]表 1是不同测量方法在准确性、适用人群和使用简便程度等方便的比较。

表 1 不同方法测定再循环的比较
方法 适用人群 所需要的设备和条件 具体程序 准确性和误差来源
超声微泡造影法 总体人群 床旁超声机、生理盐水 找到下腔静脉和右心房的矢状切面,稳定超声探头,将盐水和空气混匀并快速注射入ECMO回输管,观察微泡在右心房和下腔静脉中的流向和流速 半定量方法
不中断膜肺供氧并从颈内静脉导管中抽血 对ECMO依赖性较强,无法耐受中断膜肺供氧的人群 颈内静脉置管、血气分析 抽取颈内静脉导管血、回输管血、引流管血并分别测定血氧饱和度,将颈内静脉导管血氧饱和度作为ScvO2带入公式计算再循环率 ScvO2较真实值存在误差
中心静脉血氧饱和度法 中断膜肺供氧并从颈内静脉导管中抽血 能够耐受中断膜肺供氧的人群 颈内静脉置管、血气分析 中断膜肺供氧,稍后抽取颈内静脉导管血、回输管血、引流管血并分别测定血氧饱和度,将颈内静脉导管血氧饱和度作为ScvO2带入公式计算再循环率 准确
不中断膜肺供氧并从股静脉导管中抽血 对ECMO依赖性较强,无法耐受中断膜肺供氧的人群 股静脉置管、血气分析 抽取股静脉导管血、回输管血、引流管血并分别测定血氧饱和度,将股静脉导管血氧饱和度作为ScvO2带入公式计算再循环率 ScvO2较真实值存在误差
超声稀释法 总体人群 与ECMO管道相匹配的超声探头及相应分析软件、生理盐水 从注射点向ECMO管路中注射10 mL生理盐水,在分析软件上读出再循环率 准确
3 测定再循环以指导管路调整

影响再循环的因素包括置管位置、患者心输出量、ECMO泵流量、引流孔的位置、胸腹腔内压等[19],以下主要讨论置管模式[4]、导管末端的位置[21]和管路本身[22]对再循环产生影响,可以通过选择置管模式、调整导管末端的位置和选择适当的管路降低再循环率[23]

3.1 不同的导管

常用的引流管和回输管均为直线管路,有研究者将回输管末端改成弯曲朝向三尖瓣的构型,发现这种形状的导管可以使被充分氧合的血液优先通过三尖瓣,从而大大减少了再循环,改善了患者的氧合作用[22]

3.2 不同的插管模式和导管位置

图-5展示了3种常见的VV-ECMO的插管模式和再循环的示意图[24]。模式A中的引流管由股静脉入路,引流管末端约在肝静脉水平稍下方,顶端引流孔和侧孔可以引流下腔静脉的回流血液和右心房的血液。回输管由颈静脉入路,回输管末端约在上腔静脉和右心房交界处稍上方,输送已经氧合的回输血液通过三尖瓣进入右室。模式B中的引流管从股静脉入路,回输管从另一侧股静脉入路。模式C中的管路为双腔管,引流腔的末端在上腔静脉内引流上腔静脉中的静脉血,引流腔的侧孔在下腔静脉中引流下腔静脉中的静脉血,放置时,需将引流腔末端放置在上腔静脉中、回输腔的开口正对三尖瓣环。在动物研究中,模式C可将再循环降低至2.1%[25],但目前没有确切的临床证据证实哪一种模式的再循环率是最低的。

图 3 超声稀释法测定再循环率示意图

图 4 超声测定指示剂的浓度时间积分

图 5 VV-ECMO置管模式图

在模式A中,回输管末端和引流管末端的距离应大于10 cm[4],当存在临床显著的再循环时,需要使用超声心动图确定两条管路末端的距离,进行调整之后重新测定再循环率[26]。在模式C中的双腔管,虽然有只需一根深静脉置管并且有效减少了再循环率的优点,但其需要在上腔静脉、右心房和下腔静脉中分别精确放置3个导管端口,研究表明约50%的患者中至少有一个导管端口位置不正确,而不正确放置可能会使再循环率由2.1%升至51.3%[25, 27]

3.3 测定再循环率指导ECMO管理的临床实践

一项有13例患者的小型临床研究在VV-ECMO患者中使用超声稀释技术计算再循环率,在置管之后立即测定再循环率为(28.5±15.6)%,通过超声心动图、胸部X线定位调整置管位置后再测定一次再循环率(21.3±13.6)%。发现调整管路位置可以降低再循环率(P=0.05),这提示:利用超声稀释技术在重新定位之前和之后测量再循环率,可以用于指导调整管路位置,使ECMO有效流量增加[21]

利益冲突  所有作者均声明不存在利益冲突

参考文献
[1] 刘长智, 朱瑞秋, 苏用鹏, 等. 体外膜肺氧合治疗难治性心源性休克期间并发心肌顿抑的临床研究[J]. 中华急诊医学杂志, 2019, 28(7): 846-849. DOI:10.3760/cma.j.issn.1671-0282.2019.07.008
[2] 叶礼岳, 郑春华, 单仁飞, 等. 体外膜肺氧合成功救治老年重度吸入性损伤一例[J]. 中华急诊医学杂志, 2019, 28(4): 542-544. DOI:10.3760/cma.j.issn.1671-0282.2019.04.030
[3] Abrams D, Bacchetta M, Brodie D. Recirculation in Venovenous Extracorporeal Membrane Oxygenation[J]. ASAIO J, 2015, 61(2): 115-121. DOI:10.1097/MAT.0000000000000179
[4] Xie A, Yan T D, Forrest P. Recirculation in venovenous extracorporeal membrane oxygenation[J]. J Crit Care, 2016, 36: 107-110. DOI:10.1016/j.jcrc.2016.05.027
[5] Locker G J, Losert H, Schellongowski P, et al. Bedside exclusion of clinically significant recirculation volume during venovenous ECMO using conventional blood gas analyses[J]. J Clin Anesth, 2003, 15(6): 441-445. DOI:10.1016/S0952-8180(03)00108-9
[6] Yastrebov K, Kapalli T, Manganas C. Semiquantification of systemic venous admixture during venovenous extracorporeal oxygenation via bicaval double-lumen cannula in critically ill patients[J]. ASAIO J, 2018. DOI:10.1097/MAT.0000000000000943
[7] Pierrakos C, Collot V, Van Lieshout H, et al. Injection of agitated saline to detect recirculation with transthoracic echocardiography during venovenous extracorporeal oxygenation: A pilot study[J]. J Crit Care, 2017, 37: 60-64. DOI:10.1016/j.jcrc.2016.08.017
[8] Patel B, Arcaro M, Chatterjee S. Bedside troubleshooting during venovenous extracorporeal membrane oxygenation (ECMO)[J]. J Thorac Dis, 2019, 1114: S1698-S1707. DOI:10.21037/jtd.2019.04.81
[9] Pourmand A. The utility of point-of-care ultrasound in the assessment of volume status in acute and critically ill patients[J]. World J Emerg Med, 2019, 10(4): 232. DOI:10.5847/wjem.j.1920-8642.2019.04.007
[10] Situ-LaCasse E. Can emergency physicians perform extended compression ultrasound for the diagnosis of lower extremity deep vein thrombosis?[J]. World J Emerg Med, 2019, 10(4): 205. DOI:10.5847/wjem.j.1920-8642.2019.04.002
[11] Krivitski N M. Theory and validation of access fl ow measurement by dilution technique during hemodialysis[J]. Kid Inter, 1995, 48(1): 244-250. DOI:10.1038/ki.1995.290
[12] van Heijst A F, van der Staak F H, de Haan A F, et al. Recirculation in double lumen catheter veno-venous extracorporeal membrane oxygenation measured by an ultrasound dilution technique[J]. A S A I O J, 2001, 47(4): 372-376. DOI:10.1097/00002480-200107000-00015
[13] Walker J, Primmer J, Searles B E, et al. The potential of accurate SVO2 monitoring during venovenous extracorporeal membrane oxygenation: an in vitro model using ultrasound dilution[J]. Perfusion, 2016, 22(4): 239-244. DOI:10.1177/0267659107083656
[14] Walker J L, Gelfond J, Zarzabal L A, et al. Calculating mixed venous saturation during veno-venous extracorporeal membrane oxygenation[J]. Perfusion, 2010, 24(5): 333-339. DOI:10.1177/0267659109354790
[15] Krivitski N M, MacGibbon D, Gleed R D, et al. Accuracy of dilution techniques for access flow measurement during hemodialysis[J]. Am J Kid Dis,, 1998, 31(3): 502-508. DOI:10.1053/ajkd.1998.v31.pm9506688
[16] Lindsay R M, Rothera C, Blake P G. A comparison of methods for the measurement of hemodialysis access recirculation: an update[J]. ASAIO J, 1998, 44(3): 191-193. DOI:10.1097/00002480-199805000-00013
[17] Depner T A, Krivitski N M, MacGibbon D. Hemodialysis access recirculation measured by ultrasound dilution[J]. ASA IO J, 1995, 41(3): M749-M753. DOI:10.1097/00002480-199507000-00113
[18] Leblanc M, Bosc J Y, Vaussenat F, et al. Effective blood flow and recirculation rates in internal jugular vein twin catheters: measurement by ultrasound velocity dilution[J]. Am J Kid Dis, 1998, 31(1): 87-92. DOI:10.1053/ajkd.1998.v31.pm9428457
[19] Darling EM, Crowell T, Searles B E. Use of dilutional ultrasound monitoring to detect changes in recirculation during venovenous extracorporeal membrane oxygenation in swine[J]. ASAIO J, 2006, 52(5): 522-524. DOI:10.1097/01.mat.0000237589.20935.a4
[20] Lindholm JA. Cannulation for veno-venous extracorporeal membrane oxygenation[J]. J Thorac Dis, 2018, 105(SI): S606-S612. DOI:10.21037/jtd.2018.03.101
[21] Palmér O, Palmér K, Hultman J, et al. Cannula Design and Recirculation During Venovenous Extracorporeal Membrane Oxygenation[J]. ASAIO J, 2016, 62(6): 737-742. DOI:10.1097/MAT.0000000000000440
[22] Bonacchi M, Harmelin G, Peris A, et al. A novel strategy to improve systemic oxygenation in venovenous extracorporeal membrane oxygenation: The "chi-configuration"[J]. J Thorac Cardiovasc Surg, 2011, 142(5): 1197-1204. DOI:10.1016/j.jtcvs.2011.01.046
[23] Broman M, Frenckner B, Bjällmark A, et al. Recirculation during veno-venous extra-corporeal membrane oxygenation--a simulation study[J]. Int J Artif Organs, 2015, 38(1): 23-30. DOI:10.5301/ijao.5000373
[24] Banfi C, Pozzi M, Siegenthaler N, et al. Veno-venous extracorporeal membrane oxygenation: cannulation techniques[J]. J Thor Dis, 2016, 8(12): 3762-3773. DOI:10.21037/jtd.2016.12.88
[25] Wang D, Zhou X, Liu X, et al. Wang-Zwische double lumen cannula-toward a percutaneous and ambulatory paracorporeal artificial lung[J]. A S A I O J, 2008, 54(6): 606-611. DOI:10.1097/MAT.0b013e31818c69ab
[26] Togo K, Takewa Y, Katagiri N, et al. Impact of bypass flow rate and catheter position in veno-venous extracorporeal membrane oxygenation on gas exchange in vivo[J]. J Artif Organs, 2015, 18(2): 128-135. DOI:10.1007/s10047-014-0810-0
[27] Tabak B, Elliott CL, Mahnke CB, et al. Transthoracic echocardiography visualization of bicaval dual lumen catheters for veno-venous extracorporeal membrane oxygenation[J]. J Clin Ultras, 2012, 40(3): 183-186. DOI:10.1002/jcu.21873