急性百草枯(paraquat, PQ)中毒后引发的急性呼吸窘迫综合症(acute respiratory distress syndrome, ARDS)以及肺间质纤维化是导致患者死亡的主要原因,中毒早期患者会出现呼吸频率加快、呼吸窘迫。由于氧化应激损伤是目前公认的PQ中毒肺损伤的主要机制之一[1],多数专家学者认为当氧分压(PaO2)低于40 mmHg(1 mmHg=0.133 kPa)时才考虑给予氧疗[2],否则有加重氧自由基损伤的可能,因此针对PQ中毒早期呼吸窘迫以及轻中度缺氧状态,临床大多不给予针对性处理。但呼吸窘迫会导致呼吸频率(RR)加快、心率(HR)加快,最终导致机体耗氧量明显增加,加重重要脏器缺氧,以至于脏器损伤进行性加重[3]。因此如何改善百草枯中毒患者病程早期的呼吸窘迫,是临床上迫切需要探讨的问题。
高流量鼻导管吸氧(high-flow nasal cannula oxygen therapy,HFNC)是近年兴起的一种呼吸支持手段,它具有以下优点:精准可调的吸氧体积分数(21%~95%),可调节的流量(2~60 L/min),合适的加温加湿,保护气道的纤毛功能,提高舒适性;低水平的气道正压(2~5 cmH2O,1 cmH2O=0.098 kPa),减少患者呼吸做功,降低氧耗;舒适的鼻导管设计,与无创通气比较提高了患者依从性和舒适性,不影响进食进水[4-5]。
目前研究报道HFNC对重症肺炎所致Ⅰ型呼呼吸衰竭或ARDS早期具有明显的改善氧合的效果[6-7],但针对PQ中毒早期所致呼吸窘迫的临床研究,目前国内外报道极少。本研究针对PQ中毒早期存在呼吸窘迫的患者应用HFNC,评估此治疗措施对急性PQ中毒患者早期呼吸窘迫的改善情况,为减少缺氧导致其他脏器功能损伤,以及为有效治疗赢取时间,创造条件。
1 资料与方法 1.1 一般资料前瞻性研究, 纳入2017年5月1日至2018年5月1日因急性PQ中毒就诊于中国医科大学附属第一医院急诊科的患者。
纳入标准:急性PQ中毒24 h之内就诊的患者,患者自觉呼吸困难并符合以下条件:RR > 25次/min或二氧化碳分压(PCO2) < 32 mmHg。
排除标准:既往合并慢性心、肺等基础疾病;意识不清伴自主呼吸不节律;血氧饱和度(SPO2) < 75%。
所有入选患者自愿签署知情同意书,患者的处理通过中国医科大学附属第一医院伦理委员会伦理审查通过(AF-SOP-07-1, 1-01)。
1.2 实验方法患者来诊后均给予标准的治疗方案,包括及时洗胃、导泻,根据尿PQ浓度指导临床给予血液净化治疗[8],给予适当剂量甲泼尼龙、补液利尿等对症治疗,完善动脉血气、血液生化及肺部CT检查。当患者符合本研究纳入标准时,即自觉呼吸困难并符合以下条件:RR > 25次/min或PCO2 < 32 mmHg,给予HFNC治疗,记录HFNC应用前以及应用后15 min、30 min、1、2、4、6、12、24 h的RR、SPO2、HR、平均动脉压(MAP),记录应用前、应用后6 h、24 h的血气结果。比较患者应用HFNC后上述指标的改善情况。本研究HFNC的使用流程参考Ramnarayan等[9]在儿童呼吸衰竭中的研究。具体流程见图 1。随访至28 d,依据存活情况进行分组。
|
| 图 1 急性PQ中毒伴呼吸困难患者应用HFNC治疗流程图 Fig 1 Diagram of HFNC for patients with dyspnea induced by acute PQ poisoning |
|
|
采用SPSS 22.0进行统计分析,符合正态分布的计量资料用均数±标准差(Mean±SD)表示,组间比较采用独立样本t检验(方差齐)/t’检验(正态方差不齐)。不符合正态分布的计量资料采用中位数(四分位数)[M(QL, QU)]描述,组间比较采用Mann-Whitney U秩和检验;计数资料采用频数(百分率)表示,组间比较采用卡方检验;以P < 0.05为差异有统计学意义。
2 结果 2.1 入选患者首诊临床指标比较共有50例急性百草枯中毒患者纳入此实验,男性23例,女性27例,年龄18~69岁,经随访28 d,死亡24例,存活26例。两组患者性别、年龄等基线特征组间差异无统计学意义(P > 0.05)。入院首次临床生化检查及血气分析数据比较显示,患者入院首次白细胞计数(WBC)、血肌酐(Cr)、血尿素氮(BUN)、血清谷丙转氨酶(ALT)、血清总胆红素(TBil)、血清脂肪酶(LPS)、血清淀粉酶(AMS)等肝肾功能指标,服毒-洗胃时间,以及动脉血气分析中的pH值、PaO2差异无统计学意义(P > 0.05)。而入院自述服毒量、首次尿PQ浓度定量、动脉血乳酸(Lac)、PaCO2组间差异有统计学意义(P < 0.05),见表 1。
| 指标 | 死亡组 (n=24) |
存活组 (n=26) |
Z值/ χ2值 |
P值 |
| 男性(例, %) | 10(41.67) | 13(50.00) | 0.435 | 0.197 |
| 年龄(岁) | 36 (29, 58) | 40 (23, 52) | -2.787 | 0.846 |
| 服PQ量(mL) | 50 (25, 100) | 20 (10, 30) | -2.560 | 0.010 |
| 尿PQ浓度(μg/mL) | 15.7 (0.3, 70.3) | 0.3 (0.0, 0.6) | -3.284 | < 0.01 |
| 服毒-洗胃时间(min) | 45 (30, 60) | 45 (25, 60) | -0.579 | 0.562 |
| WBC(109/L) | 15.5 (10.2, 20.2) | 14.5 (10.3, 18.6) | -1.314 | 0.089 |
| pH | 7.38 (7.33, 7.49) | 7.37 (7.35, 7.48) | -2.175 | 0.061 |
| PaO2(mmHg) | 95 (83, 102) | 92 (85, 103) | -1.288 | 0.154 |
| PaCO2(mmHg) | 30 (26, 33) | 36 (30, 38) | -3.967 | < 0.01 |
| Lac(mmol/L) | 5.1 (4.0, 6.8) | 3.6 (3.0, 4.2) | -3.357 | 0.008 |
| ALT(U/L) | 36 (26, 50) | 34 (27, 56) | -0.016 | 0.987 |
| TBil(μmol/L) | 18.9 (10.1, 24.5) | 15.6 (12.4, 25.1) | -1.323 | 0.612 |
| Cr(μmol/L) | 78 (59, 133) | 84 (56, 120) | -0.714 | 0.475 |
| BUN(μmol/L) | 5.8 (4.2, 11.8) | 6.2 (4.1, 12.5) | -1.293 | 0.196 |
| LPS(U/L) | 108 (68, 157) | 73 (89, 189) | -0.086 | 0.932 |
| AMS(U/L) | 46 (75, 104) | 71 (53, 109) | -0.229 | 0.819 |
| 注:WBC为白细胞计数,PaO2为氧分压,PaCO2为二氧化碳分压,ALT为血清谷丙转氨酶,TBil为血清总胆红素,Cr为血肌酐,BUN为血尿素氮,LPS为血清脂肪酶,AMS为血清淀粉酶;计量资料不服从正态分布,采用中位数(四分位数)进行统计描述,Mann-Whitney U秩和检验进行统计推断,计数资料采用卡方检验,以P < 0.05为差异有统计学意义 | ||||
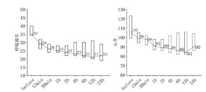
应用HFNC后患者RR和HR在观察的时间点均出现明显下降,应用后6 h的PaCO2明显升高,Lac明显下降;而MAP、SPO2、PO2、以及pH在应用HFNC前后变化差异无统计学意义,见表 2。应用HFNC后RR和HR变化规律见图 2。
| 指标 | 应用HFNC前 | 15 min | 30 min | 1 h | 2 h | 4 h | 6 h | 12 h | 24 h |
| RR(次/min) | 35 (34, 40) | 29 (26, 32)a | 26 (24, 29)a | 25 (24, 28)a | 24 (22, 28)a | 23 (22, 30)a | 22 (21, 30)a | 21 (20, 31)a | 22 (19, 29)a |
| HR(次/min) | 106 (99, 123) | 99 (94, 105)a | 98 (92, 102)a | 91 (87, 98)a | 89 (86, 98)a | 88 (84, 102)a | 86 (82, 105)a | 84 (82, 106)a | 90 (86, 104)a |
| MAP(mmHg) | 74 (68, 78) | 74 (68, 79) | 74 (69, 78) | 73 (68, 75) | 74 (69, 75) | 74 (70, 78) | 73 (70, 77) | 74 (70, 76) | 74 (69, 78) |
| SPO2(%) | 95 (91, 100) | 95 (91, 100) | 95 (92, 100) | 96 (92, 100) | 97 (93, 100) | 97 (92, 100) | 98 (91, 100) | 96 (91, 100) | 96 (90, 100) |
| PO2(mmHg) | 89 (69, 98) | - | - | - | - | - | 90 (69, 98) | - | 90 (65, 98) |
| PCO2(mmHg) | 30 (27, 32) | - | - | - | - | - | 36 (34, 38)a | - | 36 (35, 39)a |
| pH | 7.44 (7.32, 7.48) | - | - | - | - | - | 7.39 (7.37, 7.43) | - | 7.40 (7.37, 7.43) |
| Lac(mmol/L) | 4.25 (3.7, 5.4) | - | - | - | - | - | 2.5 (2, 3.1)a | - | 2 (1.8, 2.5)a |
| 注:RR为呼吸频率,HR为心率,MAP为平均动脉压,SPO2为血氧饱和度,PO2为氧分压,PCO2为二氧化碳分压,Lac为血乳酸;计量资料不服从正态分布,采用中位数(四分位数)进行统计描述,采用Mann-Whitney U秩和检验进行统计推断。与应用HFNC之前比较,aP < 0.05 | |||||||||
|
| 箱式图上下代表四分位数QL和QU,图中数值为中位数 图 2 患者应用HFNC后RR和HR随时间变化规律 Fig 2 Changes of RR and HR in patients with HFNC |
|
|
进一步分析存活组和死亡组中患者应用HFNC后RR和HR的变化规律,结果显示存活组患者在应用HFNC后RR和HR呈持续下降改善趋势,应用后30 min下降趋势最大,随后的24 h之内呈稳定下降趋势。死亡组的患者应用HFNC后同样30 min RR和HR出现最大下降趋势,但是HR从4 h开始呈现逐渐回升状态,至24 h接近应用前状态,RR在应用后6 h出现回升状态,见图 3。
|
| 箱式图上下代表四分位数QL和QU,图中数值为中位数 图 3 应用HFNC治疗的患者,死亡组与存活组RR和HR随时间的变化规律 Fig 3 Changes of RR and HR with time in the survival and non-survival groups |
|
|
存活组中患者24 h成功停用HFNC的比率为96.1%(仅1人继续应用),而死亡患者均未达到停用HFNC的标准。存活组中的患者所应用的最高流速明显低于死亡组,35 L/min(25,40)L/min vs 55 L/min(50,60)L/min,差异有统计学意义(P < 0.01)。
3 讨论本研究在急性PQ中毒后合并呼吸困难的患者中,观察应用HFNC对呼吸以及血流动力学指标的影响,结果显示应用HFNC后,所有患者的RR和HR明显下降,PCO2升高至相对正常水平,虽然SPO2以及PO2变化不明显,但RR和HR的明显下降对降低患者自身氧耗起到了积极的作用。
呼吸困难是影响各种疾病生存期的非常重要的预测指标[10]。一项研究表明,呼吸困难与患者中位生存期短于30 d明显相关[11]。因此及时干预和改善患者的呼吸困难症状,对疾病的治疗和转归具有重要意义。急性PQ中毒患者出现呼吸困难,一部分由急性肺损伤引发,另外还有中毒后紧张等心理因素影响,临床均可表现为RR加快以及PCO2下降[12],表现为呼吸性碱中毒,虽然此时大多数PO2仍维持在正常水平,但体内氧解离曲线左移,氧解离困难,导致正常氧利用障碍,加之过快的RR和HR,使机体的氧供需严重失衡。本研究结果显示对入选的患者给予HFNC治疗后,24 h之内的各时间点的RR、HR和应用前比较均出现了明显下降,动脉血PCO2出现升高,呼吸性碱中毒情况明显改善。分析原因可能与HFNC的鼻导管设计首先保证了使用的舒适性和耐受性,另外100%加湿和加温装置对保护呼吸道纤毛的正常功能起到积极的作用,高流量气体可以产生大约3~5 cmH2O的气道正压,对于PQ中毒后轻度肺损伤的患者,通过降低呼吸频率,减少自身氧耗,起到一定改善呼吸困难的作用。这部分的研究结果与HFNC在其他肺疾病中的研究结果一致[6-7]。虽然Lac也出现了明显降低,但考虑到体内乳酸水平主要与体内微循环氧供需平衡相关[13],而本研究观察时间点内动脉血PO2和SPO2在应用HFNC前后并无明显变化,因此对于乳酸结果的改变并不认为完全由HFNC所致。
进一步将患者分组后发现,对于肺损伤严重的患者(死亡组),HFNC对RR和HR的改善作用有限,虽然在应用后早期有明显下调RR和HR的作用,但是随后这两个参数均出现反弹,24 h之内均出现明显回落后升高的迹象,这与HFNC在其他ARDS患者中的治疗效果不太一致[14-15],但是本研究的对象是急性PQ中毒患者,且在24 h之内均未达到应用氧疗的指征,所有患者应用的都是单纯空气的高流量治疗,因此,对于肺损伤严重的患者,HFNC难以真正逆转严重的实质性肺损伤导致的呼吸困难。但是对于轻症的患者,HFNC对呼吸和循环功能改善非常明显,所有观察时间点内RR和HR呈现持续改善状态,而且存活组患者24 h之内的呼吸困难改善率达96.1%,所应用的最大流速明显低于死亡组。这一结果从侧面提示患者应用HFNC后的反应与PQ中毒肺损伤的严重程度和预后具有一定的相关性。
本研究存在以下不足之处:单中心研究,样本量较小,无法进行多因素回归分析;由于本研究中HFNC起始应用的是单纯空气进行治疗,所以终止时间点选择了使用后24 h。上述不足均可能对本研究的结果造成一定影响。但同时本研究结果也提示,单纯空气的HFNC对轻症的PQ中毒患者的呼吸困难有明显的改善作用,加之无创、舒适、便捷的使用方式,值得在临床进行推广。后续大样本、多中心的设计和研究将更有助于对HFNC治疗作用的进一步评估。
利益冲突 所有作者均声明不存在利益冲突
| [1] | 吴丽红, 李艳辉. 百草枯中毒发病机制的研究进展[J]. 中华急诊医学杂志, 2007, 16(5): 554-556. DOI:10.3760/j.issn:1671-0282.2007.05.031 |
| [2] | 中国医师协会急诊医师分会. 急性百草枯中毒诊治专家共识(2013)[J]. 中国急救医学, 2013, 33(6): 484-489. DOI:10.3969/j.issn.1002-1949.2013.6.002 |
| [3] | Manning HL, Mahler DA. Pathophysiology of dyspnea[J]. Monaldi Arch Chest Dis, 2001, 56(4): 325-330. |
| [4] | Klingenberg C, Pettersen M, Hansen EA, et al. Patient comfort during treatment with heated humidified high flow nasal cannulae versus nasal continuous positive airway pressure: a randomised cross-over trial[J]. Arch Dis Child Fetal Neonatal Ed, 2014, 99(2): 134-137. DOI:10.1136/archdischild-2013-304525 |
| [5] | Dysart KC. Physiologic basis for nasal continuous positive airway pressure, heated and humidified high-flow nasal cannula, and nasal ventilation[J]. Clin Perinatol, 2016, 43(4): 621-631. DOI:10.1016/j.clp.2016.07.001 |
| [6] | Sztrymf B, Messika J, Mayot T, et al. Impact of high-flow nasal cannula oxygen therapy on intensive care unit patients with acute respiratory failure:A prospective observational study[J]. J Crit Care, 2012, 27(3): 324.e9-324.e13. DOI:10.1016/j.jcrc |
| [7] | Rello J, Pérez M, Roca O, et al. High-flow nasal therapy in adults with severe acute respiratory infection. A cohort study in patients with 2009 influenza A/H1N1v[J]. J Crit Care, 2012, 27(5): 434-439. DOI:10.1016/j.jcrc.2012.04.006 |
| [8] | Liu XW, Ma T, Lu L, et al. Predictive values of urine paraquat concentration, dose of poison, arterial blood lactate and APACHE Ⅱ score in the prognosis of patients with acute paraquat poisoning[J]. Exp Ther Med, 2017, 14(1): 79-86. DOI:10.3892/etm.2017.4463 |
| [9] | Ramnarayan P, Lister P, Dominguez T, et al. FIRST-line support for Assistance in Breathing in Children (FIRST-ABC):protocol for a multicentre randomized feasibility trial of non-invasive respiratory support in critically ill children[J]. BMJ Open, 2017, 7(6): e016181. DOI:10.1136/bmjopen-2017-016181 |
| [10] | Tranmer JE, Heyland D, Dudgeon D, et al. Measuring the symptom experience of seriously ill cancer and noncancer hospitalized patients near the end of life with the memorial symptom assessment scale[J]. J Pain Symptom Manage, 2003, 25(5): 420-429. DOI:10.1016/s0885-3924(03)00074-5 |
| [11] | Maltoni M, Pirovano M, Scarpi E, et al. Prediction of survival of patients terminally ill with cancer. Results of an Italian prospective multicentric study[J]. Cancer, 1995, 75(10): 2613-2622. DOI:10.1002/1097-0142(19950515)75:10<2613::aid-cncr2820751032>3.0.co;2-1 |
| [12] | 刘倩倩, 刘晓伟, 张迪, 等. 血清肌腱蛋白C评估急性百草枯中毒患者肺损伤[J]. 中华急诊医学杂志, 2019, 28(3): 292-297. DOI:10.3760/cma.j.issn.1671-0282 |
| [13] | Rackow EC, Astiz ME, Weil MH. Cellular oxygen metabolism during sepsis and shock[J]. JAMA, 1988, 259(13): 1989-1993. DOI:10.1001/jama.1988.03720130053029 |
| [14] | Messika J, Ben Ahmed K, Gaudry S, et al. Use of high-flow nasal cannula oxygen therapy in subjects with ards: a 1-year observational study[J]. Respir Care, 2015, 60(2): 162-169. DOI:10.4187/respcare.03423 |
| [15] | Frat JP, Thille AW, Mercat A, et al. High-flow oxygen through nasal cannula in acute hypoxemic respiratory failure[J]. N Engl J Med, 2015, 372(23): 2185-2196. DOI:10.1056/NEJMoa1503326 |
2020, Vol. 29



