中华急诊医学杂志  2019, Vol. 28 Issue (12): 1490-1495   DOI: 10.3760/cma.j.issn.1671-0282.2019.12.006
血栓弹力图和传统凝血指标检测在缺血性脑血管病中的相关性研究
闫彬1 , 胡天喜1 , 李新1 , 陆士奇2 , 王琪3 , 徐广建4 , 裴双4 , 赵益明3 , 阮长耿3     
1 河南省南阳市中心医院检验科 473000;
2 江苏省苏州大学附属第一医院急诊科 215006;
3 苏州大学附属第一医院,江苏省血液研究所,卫生部血栓与止血重点实验室 215006;
4 河南省南阳市中心医院神经科 473000
摘要: 目的 探索血栓弹力图(TEG)和传统凝血功能试验(CCTs)检测在缺血性脑血管病(ICVD)中的相关性和一致性。方法 回顾性分析2018年5月1日至10月31日在南阳市中心医院就诊的108例ICVD患者的TEG参数(R值、K值、Angle值、MA值、CI值和G值)和CCTs参数(PT、APTT、TT和FIB),分别采用Spearman秩相关和Kappa值(κ)探索TEG与CCTs参数之间的相关性以及在判断患者凝血状态时的一致性。利用ROC曲线分析TEG参数对CCTs异常结果的预测价值,综合分析TEG和CCTs结果,评估在预测患者凝血状态上的能力。结果 (1)PLT与MA值、G值呈正相关;PT、APTT与K值呈正相关;TT与R值、K值呈正相关;FIB与Angle值、MA值、G值呈正相关。TT与Angle值、CI值呈负相关;FIB与K值呈负相关;(2)PT与MA值、PT与G值、FIB与MA值、FIB与G值在评估ICVD患者低凝状态时具有一致性;(3)PLT与Angle值、PLT与MA值、PLT与CI值、PLT与G值在评估ICVD病患者高凝状态时具有一致性;FIB与Angle值、FIB与MA值、FIB与CI值、FIB与G值在评估ICVD病患者高凝状态时具有一致性;(4)K值、Angle值判断TT > 20 s的AUC分别为0.648、0.651;Angle值、MA值判断FIB > 4 g/L的AUC分别为0.717、0.747;MA值判断PLT > 300×109/L的AUC为0.808(均P < 0.05)。结论 TEG和CCTs参数在ICVD患者检测中的相关性较弱,在评估患者凝血状态时具有一定的一致性。TEG参数在判断CCTs异常结果上具有较好的预测价值,但无法取代CCTs检测。利用方法上优势互补,项目上优化组合将能更好地反映机体的凝血状态,指导临床。
关键词: 血栓弹力图    传统凝血试验    缺血性脑血管病    缺血性脑卒中    相关性    
The comparative study between thromboelastography and conventional coagulation tests in ischemic cerebral vascular disease
Yan Bin1 , Hu Tianxi1 , Li Xin1 , Lu Shiqi2 , Wang Qi3 , Xu Guangjian4 , Pei Shuang4 , Zhao Yiming3 , Ruan Changgeng3     
1 Department of Clinical Laboratory Medicine, Nanyang Central Hospital, Nanyang 473000, China;
2 Department of Emergency, The First Affiliated Hospital of Soochow University, Suzhou 215006, China;
3 Jiangsu Institute of Hematology, Key Laboratory of Thrombosis and Hemostasis of Ministry of Health, The First Affiliated Hospital of Soochow University, Suzhou 215006, China;
4 Department of Neurology, Nanyang Central Hospital, Nanyang 473000, China
Abstract: Objective To explore the correlation and consistency between thromboelastography (TEG) and traditional coagulation tests (CCTs) in ischemic cerebral vascular disease (ICVD). Methods Totally 108 ICVD patients admitted to Nanyang Central Hospital from May 1 to October 31 2018 were enrolled. Patients' TEG parameters (R value, K value, Angle value, MA value, CI value and G value) and CCTs parameters (PT, APTT, TT, and FIB) were collected and analyzed retrospectively. The Spearman correlation coefficient was used to explore the correlation between TEG and CCTs parameters, and Kappa (κ) to explore the consistency in determining the coagulation status of the patients. The ROC curve was used to analyze the predictive value of TEG parameters for abnormal results of CCTs, and the results of TEG and CCTs were comprehensively analyzed to evaluate the ability to predict the coagulation status of patients. Results (1) PLT was positively correlated with MA value and G value; PT and APTT were positively correlated with K value; TT was positively correlated with R value and K value; FIB was positively correlated with Angle value, MA value and G value. TT was negatively correlated with Angle value and CI value; FIB was negatively correlated with K value. (2) PT and MA values, PT and G values, FIB and MA values, FIB and G values were accordant in valuing the hypoxic state of ICVD patients. (3) PLT and Angle values, PLT and MA values, PLT and CI values, PLT and G values were accordant in assessing hypercoagulable status of ICVD patients; FIB and Angle values, FIB and MA values, FIB and CI value, and FIB and G value were consistent in evaluating the hypercoagulable state of ICVD patients. (4) For detecting TT > 20 s, the AUC of K value and Angle value were 0.648, 0.651, respectively; For detecting FIB > 4 g/L, the AUC of Angle value and MA value were 0.717 and 0.747, respectively; For detecting PLT > 300×109/L, the AUC of MA value was 0.808 (all P < 0.05). Conclusions There is weak correlation and consistency between TEG and CCTs parameters in ICVD patients. The TEG parameters have good predictive value in evaluating the abnormal results of CCTs, but cannot replace the CCTs. Combination of these two methods can better reflect the coagulation status of patients, so as to afford assistance.
Key words: Thromboelastography    Conventional coagulation tests    Ischemic cerebral vascular disease    Ischemic stroke    Comparation    

短暂性脑缺血发作(transient ischemic attack, TIA)和急性缺血性脑卒中(acute ischemic stroke, AIS)是最常见的缺血性脑血管疾病(ischemic cerebral vascular disease,ICVD)[1]。我国脑血管病病死率现高达(120~150)/10万,已超越肿瘤位居首位。TIA和AIS都是血管原因引起的突发性局灶性的神经功能障碍,机体内高凝状态是其发病的重要机制[2]。传统凝血功能试验(conventional coagulation tests, CCTs)是目前已被临床广泛接受用以评估患者体内的外源性和内源性凝血途径以及纤溶活性的重要检测。血栓弹力图(thromboelastography, TEG)是近年来发展迅速的凝血功能检测平台,它以全血为检测对象,能够快速地检测从凝血开始、血栓形成到血栓溶解的全过程,监测凝血因子抑制剂在AIS中的抗凝作用[3-4]。然而,在TEG应用过程中也发现,其在鉴别凝血功能异常以及临床治疗上的安全性尚存争议,尤其是与CCTs结果不一致时,如何正确解读仍需进一步研究[5]。因此,本研究选择TIA和AIS为研究对象,探讨TEG和CCTs在评估ICVD患者凝血状态上的相关性、一致性及各自的优越性,以期为临床医师早发现、早诊疗提供更好的帮助。

1 资料与方法 1.1 研究对象

选择2018年5月1日至10月31日在南阳市中心医院神经内科就诊的TIA和AIS患者各54例为研究对象。TIA患者年龄31~79岁,平均年龄(55.69±10.98)岁;AIS患者年龄36~86岁,平均年龄(65.56±11.60)岁。本研究所纳入的人员均为自愿入选,并签署了知情同意书。

TIA诊断标准符合《短暂性脑缺血发作的中国专家共识更新版(2011年)》:脑或视网膜局灶性缺血所致的、未伴急性梗死的短暂性神经功能障碍,影像学未发现脑急性梗死的证据[6]。AIS诊断标准符合《中国急性缺血性脑卒中诊治指南2014》:局灶性的神经功能缺损(一侧面部或肢体无力或麻木,语言障碍等),影像学出现排除脑出血意外的责任病灶或症状/体征持续24 h以上[7]。排除标准:(1)入院前服用抗凝药物,如华法林、抗血小板者;(2)合并有恶性肿瘤、严重血液系统疾病者;(3)原有血小板、纤维蛋白原功能异常者。

1.2 凝血功能检测

血小板计数(Platelet,PLT)选用中国迈瑞公司生产的BC-6800血细胞分析仪进行;血凝项目选用日本SYSMEX公司生产的CS-5100全自动血凝仪分析,主要参数包括凝血酶原时间(PT)、活化部分凝血酶时间(APTT)、凝血酶时间(TT)和纤维蛋白原(FIB)浓度。TEG检测选用美国Haemoscope公司生产的TEG5000分析,其参数主要包括R值(从检测开始至曲线幅度开口到2 mm的时间),反映凝血因子功能;K值(从R检测完成到20 mm开口的时间),反映血块生长的速度;Angle值(用于测量纤维蛋白形成和联结成网的速度),反映纤维蛋白原的水平;MA值(曲线上图形两侧之间的最宽距离),反映最大血块的强度;CI值是以R值、K值、Angle值和MA值为基础,仪器自动计算描述的总体凝血报告;G值反映血凝块强度。

TEG和CCTs检测均选用厂商配套试剂,操作规程及软件分析严格按照产品说明书进行。TEG和CCTs样本同时采集,并在2 h内检测完成。根据生产厂家提供的产品参数,患者标本检测结果可分为三种不同的凝血状态(高凝、正常和低凝)进行分析。CCTs具体界定如下:(1)PLT > 300×109/L为高凝,PLT < 100×109/L为低凝,(100~300)×109/L为正常;(2)PT < 9 s为高凝,PT > 14 s为低凝,9~14 s为正常;(3)APTT < 23 s为高凝,APTT > 40 s为低凝,23~40 s为正常;(4)TT < 14 s为高凝,TT > 20 s为低凝,14~20 s为正常;(5)FIB > 4 g/L为高凝,FIB < 2 g/L为低凝,(2~4)g/L为正常。TEG参数界定如下:(1)R < 5 min为高凝,> 10 min为低凝,5~10 min为正常;(2)K < 1 min为高凝,K > 3 min为低凝,1~3 min为正常;(3)Angle > 72°为高凝,Angle < 53°为低凝,53~72°为正常;(4)MA > 70 mm为高凝,MA < 50 mm为低凝,50~70 mm为正常;(5)CI > 3为高凝,CI < -3为低凝,-3~3为正常;(6)G > 10 900为高凝,G < 4 600为低凝,4 600~10 900为正常。

1.3 统计学方法

采用SPSS 19.0统计软件和GraphPad Prism 5.0分析结果。对于呈正态分布的计量资料,选择单因素方差分析,用均数±标准差(Mean±SD)表示;计数资料以百分比形式表示。TEG与CCTs参数之间的相关性分析采用Spearman秩相关,一致性分析采用Kappa值(κ)评估。通过ROC曲线评估TEG参数在判断CCTs指标异常上的诊断价值。以P < 0.05为差异有统计学意义。

2 结果 2.1 CCTs和TEG参数之间的比较

在CCTs结果中,与TIA组相比,AIS组的APTT和FIB结果显著升高(28.33±8.33 vs 25.4±3.80;3.28±1.04 vs 2.79±0.61;2.64±11.00 vs 1.54±6.81,P值分别为0.015、0.002、0.027),而两者在其他检测参数中的差异无统计学意义(P > 0.05)。在TEG组中,TIA和AIS两组的所有参数间的差异均无统计学意义(P > 0.05)。

2.2 CCTs与TEG参数之间的相关性分析

在TIA患者CCTs和TEG参数相关性分析中发现,PLT与MA值、G值呈正相关;TT与R值、K值呈正相关;FIB与R值、MA值、G值呈正相关。TT与Angle值、CI值呈负相关,见表 1。在AIS患者CCTs和TEG参数相关性分析中发现,PLT与MA值、G值呈正相关;PT与K值呈正相关;FIB与Angle值、MA值、CI值、G值呈正相关;FIB与K值呈负相关,见表 2

表 1 短暂性脑缺血发作患者血栓弹力图参数和传统凝血指标的相关性分析 Table 1 Correlation analysis between thromboelastography and conventional coagulation tests parameters in patients with transient ischemic attack
参数 R K Angle MA CI G
r P r P r P r P r P r P
PLT 0.029 0.834 -0.070 0.613 0.078 0.574 0.347 0.010 0.106 0.447 0.353 0.009
PT 0.010 0.944 0.108 0.438 -0.080 0.565 -0.075 0.590 -0.015 0.915 -0.071 0.608
APTT 0.001 0.994 0.042 0.761 -0.036 0.793 -0.209 0.129 -0.081 0.562 -0.204 0.138
TT 0.282 0.039 0.298 0.029 -0.317 0.019 -0.092 0.506 -0.319 0.019 -0.092 0.510
FIB 0.289 0.034 -0.092 0.506 0.089 0.520 0.320 0.018 -0.030 0.829 0.323 0.017

表 2 急性缺血性脑卒中患者血栓弹力图参数和传统凝血指标的相关性分析 Table 2 Correlation analysis between thromboelastography and conventional coagulation tests parameters in patients with acute ischemic stroke
参数 R K Angle MA CI G
r P r P r P r P r P r P
PLT 0.109 0.432 -0.249 0.069 0.263 0.055 0.369 0.006 0.110 0.428 0.366 0.006
PT -0.024 0.861 0.338 0.013 -0.261 0.056 -0.150 0.280 -0.225 0.102 -0.152 0.273
APTT 0.098 0.479 0.094 0.498 -0.033 0.815 -0.016 0.907 -0.132 0.342 -0.016 0.910
TT 0.121 0.385 0.168 0.225 -0.123 0.377 -0.084 0.546 -0.127 0.359 -0.087 0.531
FIB -0.055 0.692 -0.329 0.015 0.322 0.018 0.410 0.002 0.366 0.006 0.411 0.002

将TIA和AIS患者综合后作为ICVD组进行CCTs和TEG参数相关性分析发现,PLT与MA值、G值呈正相关;PT、APTT与K值呈正相关;TT与R值、K值呈正相关;FIB与Angle值、MA值、G值呈正相关。TT与Angle值、CI值呈负相关;FIB与K值呈负相关,见表 3

表 3 缺血性脑血管病患者血栓弹力图参数和传统凝血指标的相关性分析 Table 3 Correlation analysis between thromboelastography and traditional coagulation parameters in patients with ischemic cerebral vascular disease
参数 R K Angle MA CI G
r P r P r P r P r P r P
PLT 0.086 0.378 -0.121 0.213 0.125 0.199 0.309 0.001 0.070 0.47 0.312 0.001
PT -0.010 0.921 0.210 0.029 -0.167 0.084 -0.112 0.247 -0.132 0.172 -0.112 0.247
APTT 0.041 0.675 0.024 0.801 0.003 0.975 -0.079 0.414 -0.097 0.318 -0.078 0.420
TT 0.199 0.038 0.232 0.016 -0.232 0.016 -0.100 0.303 -0.228 0.017 -0.101 0.300
FIB 0.087 0.368 -0.246 0.010 0.242 0.012 0.353 < 0.01 0.179 0.064 0.352 < 0.01
2.3 CCTs和TEG参数在评估ICVD患者低凝状态时的一致性

在评估ICVD患者低凝状态时,仅有PT与MA值(κ=0.493)、PT与G值(κ=0.493)、FIB与MA值(κ=0.274)、FIB与G值(κ=0.274)具有一致性(所有P < 0.05)。其他CCTs参数与TEG参数间在评估低凝状态时不具有一致性(P > 0.05),见表 4

表 4 血栓弹力图和传统凝血指标评估缺血性脑血管病患者凝血状态时的一致性 Table 4 Consistency analysis of coagulation status between thromboelastography and conventional coagulation tests in patients with ischemic cerebral vascular disease
参数 低凝状态评估(κ值) 高凝状态评估(κ值)
Angle MA CI G Angle MA CI G
PT -0.047 0.493a -0.048 0.493a - - - -
FIB 0.032 0.274a 0.024 0.274a 0.338a 0.326a 0.206b 0.274a
PLT - - - - 0.372a 0.195b 0.372a 0.170b
注:aP < 0.01; bP < 0.05
2.4 CCTs和TEG参数在评估ICVD患者高凝状态时的一致性

结果显示,PLT与Angle值(κ=0.372)、PLT与MA值(κ=0.195)、PLT与CI值(κ=0.372)、PLT与G值(κ=0.170)在评估ICVD患者高凝状态时具有一致性;FIB与Angle值(κ=0.338)、FIB与MA值(κ=0.326)、FIB与CI值(κ=0.206)、FIB与G值(κ=0.274)在评估ICVD患者高凝状态时具有一致性。其他CCTs参数与TEG参数间在评估高凝状态时不具有一致性(P > 0.05),见表 4

2.5 TEG参数在预测CCTs参数异常中的价值

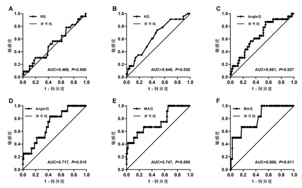
根据具有相似临床价值的TEG和CCTs参数,分析两者间的相互诊断价值。本研究中,以R值判断APTT < 23 s的敏感度和特异度分别为69.6%、63.5%,曲线下面积(area under the curve,AUC)为0.469(P=0.645)(图 1A),表明R值对预测APTT降低(高凝状态)无诊断价值。以K值判断TT > 20 s的敏感度和特异度分别为73.9%、48.2%,AUC为0.648(P=0.030)(图 1B);以Angle值判断TT > 20 s的敏感度和特异度分别为87.0%、55.3%,AUC为0.651(P=0.027)(图 1C),表明K值和Angle值对预测TT升高(低凝状态)具有较低的诊断价值。以Angle值判断FIB > 4 g/L的敏感度和特异度分别为83.3%、42.7%,AUC为0.717(P=0.015)(图 1D);以MA值判断FIB > 4 g/L的敏感度和特异度分别为58.3%、16.7%,AUC为0.747(P=0.005)(图 1E);以MA值判断PLT > 300×109/L的敏感度和特异度分别为99.0%、49.0%,AUC为0.808(图 1F),表明Angle值和MA值对FIB、PLT水平升高(高凝状态)具有中等的预测价值。TEG参数判断CCTs结果异常的最佳截断点的结果见表 5

A:以R值判断APTT < 23 s的预测价值;B:以K值判断TT > 20 s的预测价值;C-D:以Angle值分别判断TT > 20 s、FIB > 4 g/L的预测价值;E-F:以MA值判断FIB > 4 g/L、PLT > 300×109/L的预测价值 图 1 ROC曲线分析血栓弹力图参数判断传统凝血指标结果异常 Fig 1 The estimated value of predicting abnormal conventional coagulation tests by thromboelastography

表 5 血栓弹力图参数判断传统凝血指标结果异常的最佳截断点 Table 5 The cut-off value for the abnormality of the conventional coagulation tests by thromboelastography
TEG参数 CCTs参数 Cut-off值 敏感度(%) 特异度(%) 95%CI 约登指数
R(min) APTT < 23 s 7.45 69.6 63.5 0.334~0.604 0.060
K(min) TT > 20 s 1.95 73.9 48.2 0.524~0.771 0.257
Angle(°) TT > 20 s 63.15 87.0 55.3 0.526~0.775 0.317
Angle(°) FIB > 4 g/L 61.85 83.3 42.7 0.578~0.856 0.406
MA(mm) FIB > 4 g/L 68.1 58.3 16.7 0.588~0.905 0.417
MA(mm) PLT > 300×109/L 63.7 99.0 49.0 0.645~0.971 0.510
注:Cut-off值指截断值;95% CI为95%的可信区间
3 讨论

凝血和纤溶系统功能异常是TIA和AIS的重要发病机制,因此及时监测患者凝血功能对预防、诊断治疗和预后具有重要作用。CCTs有其应用的广泛性,也有其检测的局限性[8],因此新的TEG平台获得了越来越广泛的使用[9]。TEG参数中的R值主要由凝血因子活性决定,这与CCTs参数中PT和APTT分别检测外源性、内源性凝血途径异常的意义一致。Gosselin等[10]在比较了正常人R值与PT或者APTT后并未发现它们之间的相关性。及时判断急重症患者的凝血状态对指导治疗有着重要意义。胡贵锋等[11]通过分析193例急重症患者的TEG和CCTs结果发现两者之间的相关性一般,各有优劣。梁春阳等[12]则进一步发现在AIS患者中,两者的部分参数存在一致性,且CCTs对判断AIS早期神经功能恶化更为敏感,而TEG在判断症状性脑出血发生风险中更有优势。由于TIA和AIS是最常见的缺血性脑血管病,在临床上需要及时鉴别,及时诊断,本研究与胡贵锋等的研究相比,丰富了标本量,专注于TEG和CCTs在缺血性脑血管病中的关系;而与梁春阳等[12]的不同之处首先在于,同时纳入TIA和AIS,结果发现,R值与PT或APTT在ICVD病中无相关性;TEG参数K值与PT在AIS患者中呈正相关,而在TIA患者中无差异,这可能与TIA和AIS发病严重程度不同有关,相对于TIA,AIS患者机体正处于高凝状态,反馈效应引起凝血因子活性的改变。本研究中,Angle值与PLT无相关性,而与FIB呈正相关,这似乎也说明了TEG在反映机体纤维蛋白功能上更有优势[13]。TEG参数MA值和G值代表了血块形成的强度,这与本研究中MA值、G值均与PLT和FIB呈正相关的结论相一致,进一步说明了血块形成过程中伴随着血小板和纤维蛋白原的共同参与。此外,本研究新增了针对TIA患者中TEG和CCTs参数之间的分析,值得注意的是笔者也发现两项研究的AIS患者TEG参数与CCTs之间相关性的结果也存在差异,这可能与两个小组纳入AIS患者的临床资料不同所致,因此,尚需要更多的研究或者更好的标本匹配性来揭示这两项检测的差异性和一致性。

TEG在临床上一个重要应用领域是监测手术患者的凝血状态[14]。在本研究中,PT、FIB与MA值、G值在判断患者低凝状态上具有一致性;PLT、FIB与Angle值、MA值、CI值、G值在判断患者高凝状态上具有一致性。Elliott等[15]的研究指出,能够应用TEG检测监测AIS患者的高凝状态,并且缩短的R值、增大的Angle值和缩短的K值表明更快的凝血速度。值得关注的是,CCTs和TEG参数之间的所有相关性和一致性均较小,这与以往的研究相一致[16],原因可能根本上还是两种检测方法涉及的原理不同。CCTs为单一项目的血浆检查,而TEG是反映整体功能的全血检测[3]。各种凝血物质在机体内是共存的,在参与凝血过程中会相互影响,CCTs是对各项功能的单独量化,而TEG则能够全面评估各种凝血物质相互作用,相互影响所产生的最终结果,因此,检测原理上的差异可能是两种方法的一致性较弱的重要原因。

本研究中TT在TIA和AIS患者中的相关性差异提示,TT值的异常可能直接预示TIA患者TEG参数R值、K值的异常。鉴于此,本研究同时也做了TEG检测对CCTs结果异常的预测分析,结果表明:TEG参数K值和Angle值对CCTs参数TT降低的低凝状态有一定价值,而Angle值和MA值对FIB升高的高凝状态有较好的预测价值。临床实践中,TEG能够更灵敏地发现CCTs检测不到的轻微异常,这可能是多个CCTs参数轻微异常所引发的级联效应协同作用,最终导致凝血状态异常。静脉溶栓能够快速改善患者脑血循环,最大限度地降低患者脑损伤程度。Rowe等[17]的研究表明TEG是监测重组组织型纤溶酶原激活剂(rt-PA)凝血系统变化的有力工具;杨军等[18]指出对冠状动脉旁路移植术前使用TEG检测血小板功能能够帮助患者减少术前等待时间,而对于TEG在AIS血管内介入治疗中是否也有类似的作用尚需进一步的研究。CCTs能够对机体内源性和外源性凝血途径分别评估,内皮损伤会引起凝血因子的释放诱发凝血瀑布[19],但TEG无法监测血小板和血管内皮之间的相互作用。因此,在单一方法无法反映机体更为全面的凝血状态时,应结合TEG和CCTs参数的各自优势,进行项目间的优化组合,为临床实践提供更有效的证据。

本研究不足之处:(1)后期如能增加正常人的标本检测,则更能较好地评估TEG和CCTs参数在正常人-TIA-AIS这一过程中的差异和一致性;(2)仅是一个单中心的研究,尚需利用医联体的平台共同推进相关研究;(3)已有最新报告指出TEG与CCTs在AIS短期预后具有不同的侧重价值[20],今后可更多地结合TIA和AIS患者的临床资料,深入探索临床资料(如发病、实验室诊断及治疗)与各参数之间的关联性分析,系统分析凝血试验的价值。

总之,本研究发现CCTs和TEG参数在对缺血性脑血管病患者检测结果上具有较弱的相关性和一致性。在判断患者凝血状态时候,TEG结果能够较好地预测CCTs结果无法得出的轻微凝血功能异常。两种方法在临床应用中尚无法相互取代,而应该优势互补,通过CCTs参数的定量结果并结合TEG参数的功能诊断,为患者提供更为精准的个体化治疗。

参考文献
[1] Wang W, Jiang B, Sun H, et al. Prevalence, incidence and mortality of stroke in China: results from a nationwide population-based survey of 480, 687 adults[J]. Circulation, 2017, 135(8): 759-771. DOI:10.1161/circulationaha.116.025250
[2] Shi D, Xia T, Feng H, et al. Evaluating the diagnostic value of vWF:Ag, D-D and FDP in patients with acute cerebral infarction using ROC curves[J]. Exp Ther Med, 2014, 7(6): 1573-1577. DOI:10.3892/etm.2014.1665
[3] 孙存杰, 赵晖. 血栓弹力图的临床应用进展[J]. 中华急诊医学杂志, 2016, 25(2): 245-250. DOI:10.3760/cma.j.issn.1671-0282.2016.02.024
[4] Bowry R, Fraser S, Archeval-Lao JM, et al. Thrombelastography detects the anticoagulant effect of rivaroxaban in patients with stroke[J]. Stroke, 2014, 45(3): 880-883. DOI:10.1161/STROKEAHA.113.004016
[5] Bolliger D, Tanaka KA. Roles of thrombelastography and thromboelastometry for patient blood management in cardiac surgery[J]. Transfus Med Rev, 2013, 27(4): 213-220. DOI:10.1016/j.tmrv.2013.08.004
[6] 短暂性脑缺血发作中国专家共识组. 短暂性脑缺血发作的中国专家共识更新版(2011年)[J]. 中华危重症医学杂志, 2012, 5(2): 100-105. DOI:10.3877/cma.j.issn.1674-6880.2012.02.006
[7] 中华医学会神经病学分会, 中华医学会神经病学分会脑血管病学组. 中国急性缺血性脑卒中诊治指南2014[J]. 中华神经科杂志, 2015, 48(4): 246-257. DOI:10.3760/cma.j.issn.1006-7876.2015.04.002
[8] Chee YL, Crawford JC, Watson HG, et al. Guidelines on the assessment of bleeding risk prior to surgery or invasive procedures British Committee for Standards in Haematology[J]. Br J Haematol, 2008, 140(5): 496-504. DOI:10.1111/j.1365-2141.2007.06968.x
[9] Akay OM. The double hazard of bleeding and thrombosis in hemostasis from a clinical point of view: a global assessment by rotational thromboelastometry (rotem)[J]. Clin Appl Thromb Hemost, 2018, 24(6): 850-858. DOI:10.1177/1076029618772336
[10] Gosselin RC, Estacio EE, Song JY, et al. Verifying the performance characteristics of the TEG5000 thromboelastogram in the clinical laboratory[J]. Int J Lab Hematol, 2016, 38(2): 183-192. DOI:10.1111/ijlh.12464
[11] 胡贵锋, 李俊杰, 尹文. 急重症患者血栓弹力图与传统凝血检查对比研究[J]. 中华急诊医学杂志, 2017, 26(9): 1043-1049. DOI:10.3760/cma.j.issn.1671-0282.2017.09.013
[12] 梁春阳, 张强, 王斌, 等. 血栓弹力图和常规凝血试验在缺血性脑卒中凝血功能监测中的关联研究[J]. 中华神经医学杂志, 2018, 17(8): 790-795. DOI:10.3760/cma.j.issn.1671-8925.2018.08.006
[13] Herbstreit F, Winter EM, Peters J, et al. Monitoring of haemostasis in liver transplantation: comparison of laboratory based and point of care tests[J]. Anaesthesia, 2010, 65(1): 44-49. DOI:10.1111/j.1365-2044.2009.06159.x
[14] Larsen JB, Hvas AM. Predictive value of whole blood and plasma coagulation tests for intra- and postoperative bleeding risk: a systematic review[J]. Semin Thromb Hemost, 2017, 43(7): 772-805. DOI:10.1055/s-0037-1602665
[15] Elliott A, Wetzel J, Roper T, et al. Thromboelastography in patients with acute ischemic stroke[J]. Int J Stroke, 2015, 10(2): 194-201. DOI:10.1111/j.1747-4949.2012.00919.x
[16] Ågren A, Wikman AT, Holmström M, et al. Thromboelastography (TEG®) compared to conventional coagulation tests in surgical patients-a laboratory evaluation[J]. Scand J Clin Lab Invest, 2013, 73(3): 214-220. DOI:10.3109/00365513.2013.765960
[17] Matsubara D, Kataoka K, Matsubara T, et al. Paradoxical brain embolism followed by percutaneous atrial septal closure: Stroke in a patient's thirties highlighting some issues surrounding brain stroke in an emergency setting[J]. World J Emerg Med, 2017, 8(4): 308-309. DOI:10.5847/wjem.j.1920-8642.2017.04.012
[18] 杨军, 刘晓辉, 李玲, 等. 血栓弹力图评估血小板功能有助于缩短患者冠状动脉搭桥术前等待时间[J]. 中华检验医学杂志, 2017, 40(2): 114-118. DOI:10.3760/cma.j.issn.1009-9158.2017.02.009
[19] Jaffe EA, Hoyer LW, Nachman RL. Synthesis of von willebrand factor by cultured human endothelial cells[J]. Proc Natl Acad Sci U S A, 1974, 71(5): 1906-1909. DOI:10.1073/pnas.71.5.1906
[20] 朱驰, 赵皇伟, 赵晓明, 等. 血栓弹力图与常规凝血试验对急性脑梗死短期预后的应用价值研究[J]. 中华神经医学杂志, 2018, 17(11): 1111-1119. DOI:10.3760/cma.j.issn.1671-8925.2018.11.005