中华急诊医学杂志  2018, Vol. 27 Issue (9): 994-997
硫氢化钠对脓毒症小鼠心肌细胞PGC-1α和Nrf2水平的影响
梁冬施, 金益梅, 何时军, 林苗苗, 夏小娇, 陈晓丽, 刘磊, 黄爱蓉     
325000 浙江省温州,温州医科大学附属第二医院 育英儿童医院儿童急诊科

脓毒症是一种由于外界病原微生物感染所造成的严重全身性炎症反应综合征[1],可快速发展为严重脓毒症、脓毒性休克和多器官功能障碍综合征(multiple organ dysfunction syndrome,MODS),是导致全世界感染患者致死致残的重要因素[2]。目前研究认为,线粒体损伤和功能障碍是脓毒血症重要分子机制之一[3]。线粒体是重要的能量代谢中心,也是活性氧(reactive oxygen species,ROS)产生的主要场所[4],脓毒症时过度产生的活性氧可导致氧化应激,造成线粒体损伤[3]

过氧化物酶体增殖物激活受体γ辅激活因子1α(peroxisome proliferator activated receptor gamma co-activator 1α,PGC-1α)为转录共激活因子,具有潜在整合转录因子的多样性的生物学效果,可促进线粒体的氧化表达,提高线粒体的氧化功能[5]。PGC-1α可诱导核转录因子(nuclear related factor 2,Nrf2)基因的表达,共同调节线粒体生物合成[6]。研究显示,外源性化合物硫氢化钠(sodium hydrosulfide,NaHS)是体内硫化氢(hydrogen sulfide, H2S)的供体,可增强线粒体生物功能[7]。本研究通过分析NaHS对脓毒症小鼠心肌细胞PGC-1α和Nrf2表达水平的影响,探讨NaHS保护线粒体功能的分子机制,为脓毒症治疗提供理论基础。

1 材料与方法 1.1 研究对象

C57BL/6小鼠60只,购自北京华阜康生物科技股份有限公司[SCKK(京)2014-0004],SPF级,6~8周龄,体质量20~30 g,动物合格证号:11401300037498。实验操作前在温度约20~22℃、湿度约40%、无特殊病原菌的环境中(SPF级)适应性饲养1周,饲养过程中小鼠自由饮水、摄食,以标准颗粒饲料饲养,每日12 h昼/夜交替。按随机数字表法分为6组,每组10只:假手术组、脓毒症组、脓毒症+25 μmol/L NaHS组、脓毒症+50 μmol/L NaHS组、脓毒症+100 μmol/L NaHS组、脓毒症+200 μmol/L NaHS组。

1.2 方法 1.2.1 模型制备

采用盲肠结扎穿孔术(cecal ligation and puncture,CLP)制备脓毒症模型[8]。以7%水合氯醛溶液(0.5 mL/100 g)腹腔注射麻醉小鼠,麻醉后剃去腹部毛发,以75%乙醇棉球擦拭消毒腹部待手术区域,铺无菌洞巾,沿腹正中线作一长约1 cm纵行切口,以无菌镊探查并暴露盲肠。其中脓毒症组在盲肠末端结扎盲肠约1/4,以21号针头垂直盲肠肠管贯通穿刺,将结扎穿刺后的盲肠还纳腹腔,逐层缝合;假手术组打开腹腔后,仅把盲肠拉出腹腔,直接还纳并逐层缝合,不进行盲肠的结扎穿刺;脓毒症+NaHS各浓度组在盲肠结扎穿刺、还纳腹腔并逐层缝合后,腹腔注射相应浓度的NaHS(Sigma公司,美国),药物浓度分别为25 μmol/L、50 μmol/L、100 μmol/L及200 μmol/L,每只小鼠注射剂量为0.02 mL/g。同时脓毒症组及假手术组予腹腔注射等量的溶剂(0.02 mL/g)。

1.2.2 标本采集

术后12 h处死小鼠,迅速分离心肌组织并保存在-80℃冰箱中。

1.2.3 指标检测

ATP检测采用ATP试剂盒测定,明确心肌线粒体功能变化;ROS水平检测以DCFH-DA作为探针,用荧光分光光度计检测细胞内荧光强度来反映ROS表达水平;PGC-1α、Nrf2 mRNA表达水平采用qPCR法检测PGC-1α、Nrf2 mRNA水平(引物序列见表 1),以β-actin为内参,采用∆Ct(Ct目的-Ct内参)法进行相对定量分析,以2-∆∆Ct作为目的RNA的相对表达量。所有操作均严格按照试剂盒执行。

表 1 PCR引物序列
引物 序列(5'-3') 扩增长度(bp)
Nrf2正向 CTTCCATTTACGGAGACCCAC 175
Nrf2反向 GATTCACGCATAGGAGCACTG
PGC-1α正向 TGGCACGCAGCCCTATTC 210
PGC-1α反向 GAGGATCTACTGCCTGGGGAC
Tfam正向 GCAAAGGATGATTCGGCTCAGGGAA 200
Tfam反向 CCGGATCGTTTCACACTTCGACGG
1.3 统计学方法

采用SPSS 20.0软件进行统计分析,计量资料以均数±标准差(x±s)表示;多组均数比较采用单因素方差分析,组间两两比较采用LSD-t检验,Pearson相关系数r用于描述指标间的相关性,以P < 0.05为差异有统计学意义。

2 结果 2.1 ATP检测

实验组ATP水平较假手术组明显下降,差异有统计学意义(P < 0.05)。在NaHS各浓度处理组,ATP水平较脓毒症组升高,差异有统计学意义(P < 0.05),且随着NaHS浓度升高,ATP水平升高越明显,见表 2

表 2 各组小鼠心肌细胞ATP和ROS水平比较(n=10,x±s)
组别 ATP(pmol/μL) ROS相对荧光强度
假手术组 245.08±5.74 1.86±0.07
脓毒症组 54.32±4.06a 2.16±0.10a
脓毒症+25 μmol/L 62.38±4.40ab 2.11±0.07a
  NaHS组
脓毒症+50 μmol/L 76.90±2.50abc 2.16±0.81a
  NaHS组
脓毒症+100 μmol/L 104.91±5.62abcd 1.91±0.11bcd
  NaHS组
脓毒症+200 μmol/L 169.45±19.20abcde 1.77±0.11abcde
  NaHS组
F 884.51 43.05
P < 0.01 < 0.01
注:与假手术组比较,aP < 0.05;与脓毒症组比较,bP < 0.05;与25 μmol/L NaHS组比较,cP < 0.05;与50 μmol/L NaHS组比较,dP < 0.05;与100 μmol/L NaHS组比较,eP < 0.05
2.2 ROS水平

脓毒症组ROS水平较假手术组升高;25 μmol/L NaHS组和50 μmol/L NaHS组与脓毒症组比较差异无统计学意义(P > 0.05);100 μmol/L NaHS组和200 μmol/L NaHS组与脓毒症组比ROS水平明显下降(P < 0.05)。200 μmol/L NaHS组较100 μmol/L NaHS组比ROS水平下降,差异有统计学意义(P < 0.05),见表 2

2.3 PGC-1α和Nrf2 mRNA表达水平

PGC-1α和Nrf2 mRNA表达水平在各实验组均较假手术组明显升高,差异有统计学意义(P < 0.05);在NaHS各浓度处理组,PGC-1α和Nrf2 mRNA水平较脓毒症组明显升高,差异有统计学意义,且NaHS浓度越高PGC-1α和Nrf2 mRNA水平升高越明显(P < 0.05),见表 3

表 3 各组小鼠心肌细胞PGC-1α和Nrf2 mRNA表达水平比较(n=10, x±s)
组别 PGC-1α mRNA Nrf2 mRNA
假手术组 0.030 8±0.004 6 0.012 6±0.001 1
脓毒症组 0.053 6±0.004 1a 0.033 9±0.005 0a
脓毒症+25 μmol/L NaHS组 0.071 1±0.002 6ab 0.051 6±0.002 7ab
脓毒症+50 μmol/L NaHS组 0.090 1±0.004 6abc 0.065 2±0.004 8abc
脓毒症+100 μmol/L NaHS组 0.117 1±0.005 5abcd 0.104 3±0.012 6abcd
脓毒症+200 μmol/L NaHS组 0.123 2±0.005 9abcde 0.112 8±0.009 8abcde
F 665.152 391.224
P < 0.01 < 0.01
注:与假手术组比较,aP < 0.05;与脓毒症组比较,bP < 0.05;与25 μmol/L NaHS组比较,cP < 0.05;与50 μmol/L NaHS组比较,dP < 0.05;与100 μmol/L NaHS组比较,eP < 0.05
2.4 ATP水平、ROS水平与PGC-1α和Nrf2 mRNA水平的相关性

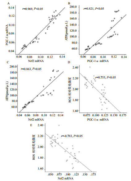
PGC-1α和Nrf2基因表达水平呈高度正相关(r=0.969,P < 0.01,n=10);在NaHS各浓度处理组,ATP水平与PGC-1α和Nrf2 mRNA水平均呈高度正相关(r=0.821, P < 0.01, n=10; r=0.863, P < 0.01, n=10);ROS水平与PGC-1α和Nrf2 mRNA水平均呈中度负相关(r=-0.753, P < 0.01, n=10; r=-0.783, P < 0.01, n=10),见图 1

A: PGC-1α与Nrf2 mRNA;B: ATP与PGC-1α;C: ATP与Nrf2 mRNA;D: ROS与PGC-1α;E: ROS与Nrf2 mRNA 图 1 ATP水平、ROS水平与PGC-1α和Nrf2 mRNA水平的相关性分析
3 讨论

脓毒症对线粒体的影响是一直以来具有争议的话题[9-11]。线粒体是能量活动中心,细胞供能的主要场所。目前较多研究认为,线粒体损伤和功能障碍可导致ATP产生过程发生异常,进而影响各器官功能,是脓毒症重要分子机制之一,是脓毒症时心肌损伤的重要原因[3, 12-13]。本研究发现,脓毒症组心肌细胞ATP水平明显下降,显示存在心肌细胞线粒体功能的异常,说明本研究中CLP脓毒症模型造成了小鼠心肌细胞线粒体功能的损害。脓毒症时线粒体功能损害,产生氧化应激反应,本研究结果显示,脓毒症组小鼠心肌细胞线粒体ROS水平较假手术组明显升高,支持脓毒症可造成ROS的过度产生[14]。线粒体是活性氧的重要来源,同时也是活性氧攻击的重要靶点。脓毒症时过度产生的活性氧造成氧化应激,反过来可损伤线粒体本身,进一步抑制ATP的产生,形成恶性循环,是脓毒症时心肌细胞损伤的重要机制[3]

Nrf2是氧化应激反应中重要的转录激活因子,在氧化应激反应中处于核心地位,在维持细胞的氧化/抗氧化平衡状态中起着重要作用[15-16]。本研究发现Nrf2 mRNA水平在脓毒症组小鼠较正常对照组和假手术组明显上调,提示在脓毒症时氧化应激可反应性上调Nrf2的mRNA表达水平。Nrf2与其负调控因子Keap1的结合活性下降,进而Nrf2降解减少,Nrf2蛋白稳定性增强,Nrf2活性增加,激活的Nrf2进入核内发挥其上调抗氧化基因表达的作用[17-18]。PGC-1α是PGC-1家族第一个被发现的成员, 其重要特征是组织表达的特异性,即在能量需求较高或者富含线粒体的组织中表达, 如心脏、骨骼肌、肾和肝等。PGC-1α是一种基因转录共激活因子, 近年研究报道PGC-1α基因缺失可阻止几种抗氧化基因的表达[19]。本研究发现,PGC-1α mRNA表达水平在脓毒症组较假手术组显著增高,且与Nrf2水平呈高度正相关,提示在脓毒症氧化应激状态下,PGC-1α也可反应性上调,且其mRNA表达与Nrf2转录密切相关。St-Pierre等[19]研究发现PGC-1α的启动子区具有ARE,Nrf2可通过与PGC-1α的启动子区的ARE相结合,从而调节PGC-1α的基因表达。PGC-1α和Nrf2协同调控抗氧化系统,在脓毒症氧化/抗氧化失衡中发挥重要作用。

H2S是一种重要的内源性生物信号分子,具有抗氧化、抗炎、抗凋亡等作用,在机体心血管系统、神经系统等的生理和病理生理过程中起着重要作用[20-21]。NaHS作为H2S外源性供体,具有促进线粒体生物功能的作用[7]。本研究发现,外源性NaHS能提升ATP水平,降低ROS水平,说明NaHS具有对抗脓毒症时氧化应激、改善线粒体功能的作用。本研究结果发现,NaHS各浓度处理组的PGC-1α和Nrf2 mRNA水平进一步呈浓度依赖性升高,且与活性氧水平呈负相关,与ATP水平呈正相关。说明NaHS可通过上调PGC-1α和Nrf2水平,协同调控抗氧化系统,降低活性氧水平,从而改善脓毒症时氧化应激造成的线粒体功能损伤。

由此可见,外源性NaHS可通过上调PGC-1α和Nrf2表达水平,对抗脓毒症时产生的氧化应激,改善线粒体功能。为今后NaHS在防治脓毒症线粒体损伤的临床应用上提供了理论支持。

参考文献
[1] 中华医学会急诊医学分会, 中国医师协会急诊医师分会, 中国人民解放军急救医学专业委员会, 等. 脓毒症液体治疗急诊专家共识[J]. 中华急诊医学杂志, 2018, 27(1): 30-38. DOI:10.3760/cma.j.issn.1671-0282.2018.01.007
[2] 张卉, 李春盛, 姚咏明. 脓毒症线粒体功能障碍及其干预对策[J]. 中华急诊医学杂志, 2018, 27(2): 117-119. DOI:10.3760/cma.j.issn.1671-0282.2018.02.001
[3] Zou L, Gong Y, Feng Y, et al. Importance of Toll-like receptor 2 in mitochondrial dysfunction during polymicrobial sepsis[J]. Anesthesiology, 2014, 12(6): 1236-1247. DOI:10.1097/ALN.0000000000000470
[4] Singer M. The role of mitochondrial dysfunction in sepsis-induced multi-organ failure[J]. Virulence, 2014, 5(1): 66-72. DOI:10.4161/viru.26907
[5] Pan P, Wang X, Liu D. The potential mechanism of mitochondrial dysfunction in septic cardiomyopathy[J]. J Int Med Res, 2018: 1218565448. DOI:10.1177/0300060518765896
[6] Villena JA. New insights into PGC-1 coactivators: redefining their role in the regulation of mitochondrial function and beyond[J]. FEBS J, 2015, 282(4): 647-672. DOI:10.1111/febs.13175
[7] Aslami H, Pulskens WP, Kuipers MT, et al. Hydrogen sulfide donor NaHS reduces organ injury in a rat model of pneumococcal pneumosepsis, associated with improved bio-energetic status[J]. PLoS One, 2013, 8(5): e63497. DOI:10.1371/journal.pone.0063497
[8] Han D, Li X, Li S, et al. Reduced silent information regulator 1 signaling exacerbates sepsis-induced myocardial injury and mitigates the protective effect of a liver X receptor agonist[J]. Free Radic Biol Med, 2017, 113: 291-303. DOI:10.1016/j.freeradbiomed.2017.10.005
[9] Brealey D, Brand M, Hargreaves I, et al. Association between mitochondrial dysfunction and severity and outcome of septic shock[J]. Lancet, 2002, 360(9328): 219-223. DOI:10.1016/S0140-6736(02)09459-X
[10] Jeger V, Djafarzadeh S, Jakob SM, et al. Mitochondrial function in sepsis[J]. Eur J Clin Invest, 2013, 43(5): 532-542. DOI:10.1111/eci.12069
[11] Vanasco V, Magnani ND, Cimolai MC, et al. Endotoxemia impairs heart mitochondrial function by decreasing electron transfer[J]. J Bioenerg Biomembr, 2012, 44(2): 243-252. DOI:10.1007/s10863-012-9426-3
[12] Tsolaki V, Makris D, Mantzarlis K, et al. Sepsis-induced cardiomyopathy: oxidative implications in the initiation and resolution of the damage[J]. Oxid Med Cell Longev, 2017, 2017: 7393525. DOI:10.1155/2017/7393525
[13] 周俊, 王龙, 周芹. 神经调节蛋白-1/ErbBs系统对脓毒症心肌损伤的保护作用及相关机制[J]. 中华危重症医学杂志(电子版), 2015, 8(2): 130-134. DOI:10.3877/cma.j.issn.1674-6880.2015.02.015
[14] Arsalani-Zadeh R, Ullah S, Khan S, et al. Oxidative stress in laparoscopic versus open abdominal surgery: a systematic review[J]. J Surg Res, 2011, 169(1): e59-68. DOI:10.1016/j.jss.2011.01.038
[15] Liu Y, Zhang L, Liang J. Activation of the Nrf2 defense pathway contributes to neuroprotective effects of phloretin on oxidative stress injury after cerebral ischemia/reperfusion in rats[J]. J Neurol Sci, 2015, 351(1/2): 88-92. DOI:10.1016/j.jns.2015.02.045
[16] Lee JM, Johnson JA. An important role of Nrf2-ARE pathway in the cellular defense mechanism[J]. J Biochem Mol Biol, 2004, 37(2): 139-143.
[17] Guo Y, Yu S, Zhang C, et al. Epigenetic regulation of Keap1-Nrf2 signaling[J]. Free Radic Biol Med, 2015, 88(Pt B): 337-349. DOI:10.1016/j.freeradbiomed.2015.06.013
[18] Zhang J, Jiao Q, Kong L, et al. Nrf2 and Keap1 abnormalities in esophageal squamous cell carcinoma and association with the effect of chemoradiotherapy[J]. Thorac Cancer, 2018, 9(6): 726-735. DOI:10.1111/1759-7714.12640
[19] St-Pierre J, Drori S, Uldry M, et al. Suppression of reactive oxygen species and neurodegeneration by the PGC-1 transcriptional coactivators[J]. Cell, 2006, 127(2): 397-408. DOI:10.1016/j.cell.2006.09.024
[20] Xu K, Wu F, Xu K, et al. NaHS restores mitochondrial function and inhibits autophagy by activating the PI3K/Akt/mTOR signalling pathway to improve functional recovery after traumatic brain injury[J]. Chem Biol Interact, 2018, 286: 96-105. DOI:10.1016/j.cbi.2018.02.028
[21] Chen Y, Jin S, Teng X, et al. Hydrogen Sulfide Attenuates LPS-Induced Acute Kidney Injury by Inhibiting Inflammation and Oxidative Stress[J]. Oxid Med Cell Longev, 2018, 2018: 6717212. DOI:10.1155/2018/6717212