中华急诊医学杂志  2018, Vol. 27 Issue (6): 652-656
MiR-132-3p介导FOXO1对内皮祖细胞增殖的调控作用
孙克玉, 解梓琛, 王继芹, 刘梅, 赵缜, 宋振举, 封启明     
201199 上海,上海市闵行区中心医院急诊科 (孙克玉, 解梓琛, 王继芹, 刘梅);201199 上海,上海市闵行区中心医院检验科(赵缜);200032 上海,复旦大学附属中山医院急诊科(宋振举); 200023 上海,上海交通大学附属第六人民医院急诊科(封启明)
摘要: 目的 探讨miR-132-3p对内皮祖细胞增殖的影响及调控机制,为深静脉血栓的治疗提供新的理论依据。方法 随机(随机数字法)挑选血栓患者22例,健康志愿者27例,采集静脉血,分离血浆和内皮祖细胞,实时定量PCR检测miR-132-3p在血浆及内皮祖细胞中的表达;实时定量PCR检测常氧和低氧条件下内皮祖细胞中miR-132-3p的表达;用电转法将miR-132-3p的模拟物(实验组)与特异性siRNA(对照组)分别转染入内皮祖细胞,MMT和CCK-8法检测miR-132-3p对内皮祖细胞增殖的影响;利用萤光素酶实验和免疫印迹实验分析miR-132-3p对内皮细胞中FOXO1表达的影响。结果 血栓患者血浆中miR-132-3p平均水平为健康志愿者的(0.45±0.05)倍(P < 0.05);低氧条件下内皮祖细胞中miR-132-3p表达水平为常氧状态下的(0.23±0.13)倍(P < 0.05);实验组中miR-132-3p的表达水平是对照组的(15.72±2.06)倍,MMT法检测结果显示在低氧条件下,实验组细胞增殖是对照组的(7.79±1.37)倍(P < 0.01),CCK-8法检测结果表明实验组的细胞增殖是对照组的(6.46±0.38)倍(P < 0.01);软件分析显示FOXO1为miR-132-3p的直接靶标, 在低氧条件下miR-132-3p模拟物mimic转染的内皮祖细胞中荧光素酶活性是siRNA处理组的0.47倍,免疫印迹结果显示在低氧条件下miR-132-3p模拟物mimic转染的内皮祖细胞中FOXO1蛋白表达水平是siRNA处理组的0.18倍。结论 与健康志愿者相比,血栓患者miR-132-3p表达明显降低,结果促进了FOXO1的表达,抑制了内皮祖细胞的增殖,这可能与静脉血栓的形成密切相关。
关键词: 内皮祖细胞     microRNA     miR-132-3p     模拟物     低氧     细胞增殖     FOXO1     血栓    
MiR-132-3p regulates proliferation of endothelial progenitor cells mediated by FOXO1
Sun Keyu , Xie Zichen , Wang Jiqin , Liu Mei , Zhao Zhen , Song Zhenju , Feng Qiming     
Department of Emergency Medicine (Sun KY, Xie ZC, Wang JQ, Liu M), Clinical Laboratory(Zhao Z), Minghang Central Hospital, Shanghai, 201199, China; Department of Emergency Medicine, Zhongshan Hospital, Fudan University, Shanghai, 200032, China(Song ZJ); Department of Emergency Medicine, Shanghai Sixth People's Hospital Affiliated to Shanghai Jiao Tong University, Shanghai 200023, China(Feng QM)
Abstract: Objective To investigate the effect of miR-132-3p on the proliferation of endothelial progenitor cells and its regulatory mechanism in order to provide a new theoretical basis for the treatment of deep venous thrombosis. Methods Real-time quantitative PCR (qPCR) was used to detect the expression of miR-132-3p in the plasma and endothelial progenitor cells of 27 healthy volunteers and 22 thrombus patients, and in endothelial progenitor cells under normoxic and hypoxic conditions. The miR-132-3p analogue and the specific siRNA were transferred into endothelial progenitor cells by the electroporation method. The effect of miR-132-3p on the proliferation of endothelial progenitor cells was detected using MMT and Cell Counting Kit-8 (CCK-8) methods. The effects of miR-132-3p on the expression of FOXO1 in endothelial cells were analyzed using the luciferase assay and western blots. Results The expression of miR-132-3p in clinical patients with thrombosis was significantly decreased to 0.45 ± 0.05 times of that of the healthy volunteers (P < 0.05). The expression of miR-132-3p in endothelial progenitor cells under hypoxia was down-regulated to (0.23 ± 0.13) times of that of under normoxia (P < 0.05). The expression of miR-132-3p of experiment group under hypoxia was up-regulated to (15.72 ± 2.06) times of that of control group (P < 0.05). MMT assay showed that the proliferation of cells in the experimental group under hypoxic condition was up-regulated to (7.79 ±1.37) times of that in the control group (P < 0.01). CCK-8 assay showed that cell proliferation in experimental group was up-regulated to (6.46 ± 0.38) times of that in the control group (P < 0.01). Software analysis showed that FOXO1 was a direct target of miR-132-3p. Luciferase activity of miR-132-3p mimics transfected endothelial progenitor cells under hypoxic conditions were 0.47 times of that in siRNA treatment group. Western blot showed that the expression of FOXO1 protein in endothelial progenitor cells transfected with miR-132-3p mimics in hypoxia was 0.18 times of that in siRNA treatment group. Conclusions Compared with healthy volunteers, miR-132-3p expression in the blood of patients with thrombosis was significantly reduced that can promote transcription of the FOXO1 gene (and protein expression) and inhibit the proliferation of endothelial progenitor cells. It could be closely related to the formation of venous thrombosis.
Key words: Endothelial progenitor cells     miRNA     miRNA-132-3p     Mimic     Hypoxia     Cell proliferation     FOXO1     Thrombosis    

内皮细胞是血管壁和血液之间的屏障,与血栓性疾病的发生和发展密切相关[1]。在生理状态下,血管内皮细胞能阻止凝血因子和血小板的激活,调节抗凝与纤溶系统[2-3],维持正常人体的血液循环,防止血栓形成,为机体提供了一个抗血栓形成的表面。在缺血缺氧的环境中,内皮细胞损伤加剧,有利于血栓的形成[4]。因此,防止内皮损伤并促进其增殖可能是治疗血栓的关键环节之一。

MicroRNA(miRNA)是可通过与目标基因3'UTR的结合而调控靶基因的表达[5-6]。miRNA在细胞增殖和凋亡中扮演着重要角色[7-8],但其对内皮细胞增殖和凋亡的影响尚少见报道。本研究旨在探讨miR-132-3p对内皮细胞的增殖调控,继而为血栓性疾病的诊断和治疗提供新思路。

1 资料与方法 1.1 一般资料 1.1.1 细胞来源

人胚肾细胞293T购自中国科学院上海生命科学研究院细胞资源中心。

1.1.2 试剂和仪器

血栓患者血浆来源于本院急诊科收治的血栓患者。健康者血浆来源于本院体检健康志愿者。随机(随机数字法)挑选血栓患者22例,健康志愿者27例,空腹采集静脉血5 mL,肝素抗凝,3 000 r/min离心10 min分离血浆。实验过程经过本院医学伦理委员会批准,研究获得患者知情和许可。MTT和CCK-8检测试剂盒购于碧云天生物公司;EGM-2-MV培养基套装购于Lonza公司;DMEM培养基、胰蛋白酶和胎牛血清细胞培养相关试剂购于美国GIBCO公司;血清miRNA的提取试剂盒购于天根生化科技(北京)有限公司;反转录试剂AMV逆转录酶等购于Takara公司;脂质体转染试剂Lipofectamine® 3000购于美国invitrogen公司;FOXO1抗体和兔二抗购于美国CST公司;超净工作台和二氧化碳细胞培养箱购于美国Thermo Fisher公司;荧光定量PCR检测系统Applied Biosystems7500购于美国ABI公司。

1.2 方法 1.2.1 人血浆miRNA的提取

随机选择本院急诊科收治的血栓患者22例,健康志愿者27例,空腹采集静脉血5 mL,肝素抗凝,3 000 r/min离心10 min分离血浆。该实验经过本院伦理委员会批准,并获得患者知情同意。每份血浆分别取出200 µL用于提取miRNA,并进行实时定量PCR检测。

1.2.2 人外周血内皮细胞miRNA的提取

密度梯度离心法收集人外周血内皮细胞。具体步骤为:采集健康志愿者静脉血5 mL,肝素抗凝,与PBS按1:1稀释,沿离心管壁缓慢加入到人淋巴细胞分离液Ficoll上,水平离心,2 000 r/min离心20 min。吸取单个核细胞层,加入等体积含有2%胎牛血清的PBS,1 000 r/min离心10 min,弃上清液,重复2次。将收集的细胞以10×106个细胞/孔接种于经多聚懒氨酸包被的六孔板中,于37℃、5% CO2、湿度≥95%的条件下培养7 d,培养基为EGM-2(含胎牛血清、VEGF、青霉素和链霉素),PBS轻轻洗掉非贴壁细胞,余下的贴壁细胞用胰酶消化,1 000 r/min离心10 min收集细胞。低氧处理具体步骤为:将收集的细胞PBS洗2遍,分为两组,一组放入95% N2+5% CO2的培养箱中培养,一组放入正常条件下的培养箱中培养。培养8 h后,恢复常氧培养6 h,收集细胞,相应指标检测。

1.2.3 实时定量PCR检测miRNA

离心收集细胞,采用Trizol法抽提RNA,并对抽提的RNA进行定量。使用AMV逆转录酶将抽提的RNA反转录为cDNA。反转录的cDNA作为模板进行实时定量PCR检测。实时定量PCR特异性检测miRNA-132-3p引物由上海生工合成,合成序列如表1所示。PCR反应体系为:2×SYBR Mix:5 mL, 正反向引物(10 mmol/L)各0.2 mL,模板cDNA 25 ng,无菌水补至20 mL。反应条件为95℃ 1 m,95℃变性15 s,60℃退火15 s,72℃延伸30 s,循环数为40,每个循环进行一次荧光信号的收集。U6作为内参,miRNA-132-3p的相对表达量采用2-∆∆CT对基因表达量进行相对定量。

1.2.4 miRNA-132-3p

对内皮细胞增殖的影响miRNA-132-3p mimic序列和特异性siRNA序列(见表1),由上海生工生物公司合成。将miRNA-132-3p mimic和siRAN转染内皮祖细胞,培养于96孔板,2 000个细胞/孔,每组细胞分别设10个复孔,37℃培养48 h。其中5个复孔分别加入10 μL CCK-8检测液,孵育2 h,用酶标仪于450 nm处检测吸光值。其余5个复孔作为对照,不加CCK-8检测液。加CCK-8组测定值与未加CCK-8组测定值相减,计算siRAN组与mimic组相对值。

分别将miRNA-132-3p mimic和siRAN转染的内皮祖细胞培养于96孔板,2 000个细胞/孔,每组细胞分别设10个复孔,37℃培养48 h。设空白对照孔(不含细胞仅含培养液),以及无处理对照孔(不加MTT)。每孔加入10 μL MTT检测液,37℃孵育3 h。用酶标仪于570 nm处测定吸光度值。

1.2.5 pGL3-FOXO1-WT和pGL3-FOXO1-MUT载体的构建

根据TargetScan和miRanda预测,miRNA-132-3p的特异结合序列为FOXO1,提取293T细胞基因组DNA,PCR扩增FOXO1的3'UTR,连入pGL3双荧光素酶报告载体,构建pGL3-FOXO1-WT。采用QuikChange®定点突变试剂盒构建pGL3-FOXO1-WT定点突变的载体pGL3-FOXO1-MUT,该突变体无miRNA-132-3p结合能力。载体经上海铂尚公司测序正确,突变位点正确。

1.2.6 miR-132-3p与FOXO1结合位点的验证

收集对数期293T细胞,培养于24孔板。用Lipofectamine® 3000试剂进行共转染:pGL3-FOXO1-WT和siRNA、pGL3-FOXO1-WT和mimic、pGL3-FOXO1- MUT和siRNA、pGL3-FOXO1-MUT和mimic,转染24 h后,采用荧光素酶试剂进行检测。

1.2.7 miR-132-3p对FOXO1蛋白表达的影响

免疫印迹法检测miR-132-3p mimic和siRNA转染的内皮祖细胞在低氧条件下FOXO1蛋白水平。裂解miR-132-3p mimic和siRNA转染的内皮祖细胞,10% SDS-PAGE凝胶电泳,200 mA恒流转膜100 m,5%的脱脂牛奶室温封闭1 h,加入FOXO1一抗稀释液4℃孵育过夜,TBS洗3次,每次5 m,相应的二抗室温孵育1 h,TBS洗3次,每次5 m,HRP-显色试剂显色扫片。

1.3 统计学方法

以资料均采用SAS6.12软件包分析,计量资料采用成组t检验,以P < 0.05为差异有统计学意义。

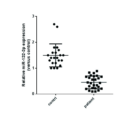
2 结果 2.1 血栓患者血浆中miR-132-3p的含量

实时定量PCR检测结果显示,健康志愿者(1.49±0.09),血栓患者血浆中miR-132-3p的含量显著下调(P < 0.01),其相对含量为0.45±0.05。见图 1

图 1 miR-132-3p在血栓患者与健康志愿者血浆中的含量 Figure 1 Levels of plasma miR-132-3p in patients and volunteers
2.2 外周血内皮祖细胞miR-132-3p在低氧条件表达下降

本研究为了明确miR-132-3p是否调控内皮细胞的增殖,分别检测miR-132-3p在常氧和低氧条件内皮祖细胞中的表达情况。实时定量PCR检测结果表明,与常氧组(Normoxia)细胞相比,miR-132-3p在低氧组(Hypoxia)细胞中的表达水平显著降低,表达水平为常氧组的(0.23±0.13)倍(n=5,P < 0.01)。见图 2

图 2 外周血内皮祖细胞miR-132-3p在低氧条件表达下降 Figure 2 Expression of miR-132-3p in endothelial progenitor cells
2.3 在祖细胞中表达外源性miR-132-3p

实时定量PCR检测表明,模拟物mimic(实验组)细胞中miR-132-3p的表达水平是siRNA(对照组)的(15.72±2.06)倍,明显增高(n=5,P < 0.01)。见图 3

图 3 在内皮祖细胞中过表达异源性miR-132-3p Figure 3 Overexpression of heterologous miR-132-3p
2.4 异源性过表达miR-132-3p对内皮祖细胞增殖的影响

MMT法检测miR-132-3p mimic和siRNA转染的内皮祖细胞在低氧条件下的增殖情况。结果显示在低氧条件下,miR-132-3p mimic(实验)组细胞增殖是siRNA(对照)组的(7.79±1.37)倍(n=5,P < 0.01),见图 4A。另外,本研究分别将miR-132-3p mimic和siRNA转染的内皮祖细胞在低氧条件下培养24 h后,CCK-8法检测细胞的增殖情况。结果表明miR-132-3p mimic转染的内皮祖细胞在450 nm处的吸光度值为siRNA组的(6.46±0.38)倍(n=5,P < 0.01),即低氧条件下,异源性过表达miR-132-3p可显著促进内皮祖细胞的增殖。见图 4B

图 4 异源性过表达miR-132-3p对内皮祖细胞增殖的影响 Figure 4 Effect of overexpression of miR-132-3p on the cell proliferation
2.5 miRNA-132-3p直接结合FOXO1序列

根据TargetScan和miRanda软件预测miR-132-3p可与FOXO1 mRNA 3'端的非翻译区(3'UTR)的核苷酸特异性结合。miR-132-3p特异性结合FOXO1靶位点序列如图 5A所示。双萤光素酶报告基因分析结果显示,相对于对照siRNA组,转染了mimic和FOXO1-WT高表达质粒的2132-3pT细胞的荧光素酶活性是siRNA处理组的0.47倍。然而在含有mimic和FOXO1-MUT的2132-3pT细胞荧光素酶的活性变化不大, 结果如图 5B所示。该结果提示,FOXO1为miR-132-3p的直接靶标。

A. miR-132-3p与FOXO1 mRNA 3'UTR的核苷酸特异性序列; B.双萤光素酶报告基因检测结果 图 5 miRNA-132-3p直接靶向FOXO1 Figure 5 miRNA-132-3p directly targets FOXO1
2.6 miRNA-132-3p对FOXO1蛋白水平的调控

免疫印迹结果显示在低氧条件下miR-132-3p模拟物mimic转染的内皮祖细胞中FOXO1蛋白表达水平是siRNA处理组的0.18倍,见图 6

图 6 miRNA-132-3p对FOXO1蛋白水平的调控 Figure 6 Regulation of FOXO1 by miRNA-132-3p
3 讨论

研究证实miRNA在微血管病变中发挥重要作用[9]。血管内皮细胞结构和功能的损伤在血栓发生中发挥着至关重要的作用。血管内皮细胞结构受损,如果内皮细胞增殖能力差,则不能及时修复损伤,导致损伤处血栓形成[10-11]。本研究发现在静脉血栓患者的外周血血浆和内皮祖细胞中miR-132-3p的水平均显著低于健康志愿者(体外实验表明,在低氧条件下内皮祖细胞中miR-132-3p的表达明显低于常氧培养),提示miR-132-3p表达下降可能与内皮细胞缺氧受损有关。在内皮细胞中过表达异源性miR-132-3p可以促进内皮细胞的增殖。说明miR-132-3p低表达可能与血栓形成有关。

miRNA-132-3p的直接靶标为FOXO1。通过双萤光素酶报告基因检测法和免疫印迹分析,验证了miRNA-132-3p可以结合FOXO1,并抑制其蛋白合成。FOXO1作为Forkhead转录因子家族中的一员[12],在细胞周期调控、凋亡[13]、氧化应激[14]和糖代谢[15]中均发挥着重要的作用,以参与机体的生理调节和代谢等生命活动。FOXO1高表达可诱导细胞增殖停滞。FOXO1高表达往往导致蛋白周期依赖的激酶抑制因子p27kip1的累积,从而引起细胞周期的停滞[16]。在血栓患者体内miRNA-132-3p低表达,减少了对FOXO1的抑制作用,致使p27kip1累积,从而抑制了内皮细胞增殖。血栓患者中miRNA-132-3p水平较健康者明显降低, 血栓患者miRNA-132-3p的低表达,从而导致内皮细胞增殖的减缓,从而无法修复损伤,促进血栓的形成, 这提示miRNA-132-3p的表达可以作为血栓形成的指标。

参考文献
[1] 李文东, 李晓强, 钱爱民, 等. 下肢深静脉血栓形成治疗进展[J]. 中国实用外科杂志, 2014, 12: 1190-1193. DOI:10.7504/CJPS.ISSN1005-2208.2014.12.25
[2] 夏文芳, 郑颜磊, 周青山, 等. 多药耐药相关蛋白4对脂多糖诱导的内皮细胞通透性及细胞骨架的影响[J]. 中华急诊医学杂志, 2017, 26(9): 1032-1036. DOI:10.3760/cma.j.issn.1671-0282.2017.09.011
[3] 赵纪春, 吴洲鹏. 静脉血栓栓塞症治疗进展[J]. 中国实用外科杂志, 2015(12): 1348-1351. DOI:10.7504/CJPS.ISSN1005-2208.2015.12.26
[4] 郭李龙, 李拥军. 深静脉血栓及其诊断[J]. 中国实用内科杂志, 2013, 33(5): 359-362.
[5] Xie WQ, Zhou L, Chen Y, et al. Circulating microRNAs as potential biomarkers for diagnosis of congenital heart defects[J]. World J Emerg Med, 2016, 7(2): 85-89. DOI:10.5847/wjem.j.1920-8642.2016.02.001
[6] 肖玲, 马渝. miRNA在脓毒症中调控TLRs信号通路的研究进展[J]. 中华急诊医学杂志, 2016, 25(12): 1340-1343. DOI:10.3760/cma.j.issn.1671-0282.2016.12.030
[7] Kumarswamy R, Volkmann I, Thum T. Regulation and function of miRNA-21 in health and disease[J]. RNA Biology, 2011, 8(5): 706-713. DOI:10.4161/rna.8.5.16154
[8] Calvier L, Chouvarine P, Legchenko E, et al. PPARγ Links BMP2 and TGFβ1 Pathways in Vascular Smooth Muscle Cells, Regulating Cell Proliferation and Glucose Metabolism[J]. Cell Metab, 2017, 25(5): 1118-1134. DOI:10.1016/j.cmet.2017.03.011
[9] Caruso P, Dunmore BJ, Schlosser K, et al. Identification of miR-124 as a Major Regulator of Enhanced Endothelial Cell Glycolysis in Pulmonary Arterial Hypertension via PTBP1 and PKM2[J]. Circulation, 2017. DOI:10.1161/CIRCULATIONAHA.117.028034
[10] 华友佳, 肖华胜. miRNA研究进展[J]. 生命科学, 2005(03): 278-281.
[11] Zhao LX, Liu B, Li CS. Progress in research into the genes associated with venous thromboembolism[J]. World J Emerg Med, 2015, 6(2): 100-104. DOI:10.5847/wjem.j.1920-8642.2015.02.003
[12] Wei YT, Guo DW, Hou XZ, et al. miRNA-223 suppresses FOXO1 and functions as a potential tumor marker in breast cancer[J]. Cell Mol Biol, 2017, 63(5): 113-118. DOI:10.14715/cmb/2017.63.5.21
[13] Zhang C, Lim J, Liu J, et al. FOXO1 expression in keratinocytes promotes connective tissue healing[J]. Sci Rep, 2017, 7: 42834. DOI:10.1038/srep42834
[14] Norambuena-Soto I, Núñez-Soto C, Sanhueza-Olivares F, et al. Transforming growth factor-beta and Forkhead box O transcription factors as cardiac fibroblast regulators[J]. Biosci Trends, 2017, 11(2): 154-162. DOI:10.5582/bst.2017.01017
[15] Rudzitis-Auth J, Nickels RM, Menger MD, et al. Inhibition of cyclooxygenase (COX)-2 suppresses the recruitment of endothelial progenitor cells in the mivasculature of endometriotic lesions[J]. Am J Pathol, 2017, 188(2): 450-460. DOI:10.1016/j.ajpath.2017.10.013
[16] Hou GJ, Li CN, Huan Y, et al. The PI3K/Akt1-FoxO1 Translocation Pathway Mediates EXf Effects on NIT-1 Cell Survival[J]. Exp Clin Endocrinol Diabetes, 2017, 125(10): 669-676. DOI:10.1055/s-0043-117048