自发性脑出血(intracerebral hemorrhage,ICH)约占全部高血压脑出血患者的10%~30%,但其病死率和致残率明显高于缺血性脑血管病[1],相比缺血性脑血管病和自发性蛛网膜下腔出血[2-3],ICH尚缺乏有效的治疗手段[4]。探讨影响ICH的预后因素并建立性能优良的预测模型,协助临床医生对患者预后行精准的评判并干预,具有重要的现实意义。本研究通过基于绍兴市中心医院2011至2012年临床数据,建立适合我院自身的脑出血预后预测模型,并以2014年本院脑出血患者数据为外部验证,验证模型的预测性能。
1 资料与方法 1.1 一般资料以2011年1月至2012年12月绍兴市中心医院收治的高血压脑出血患者作为数据库建立模型。入选标准:(1)符合1995年全国第四届脑血管病会议确定的脑出血诊断标准,高血压诊断依据2005年《中国高血压防治指南》的诊断标准;(2)所有患者均为首次发病,经头颅CT确诊脑出血;(3)排除外伤、肿瘤卒中、动脉瘤、动静脉畸形及全身性疾病如血液病等导致的脑出血。共325例患者纳入研究作为预测模型建立数据。
收集2013年1月至2015年12月绍兴市中心医院161例高血压脑出血患者的临床资料,作为模型验证数据以供模型外部验证,纳入、排除标准同前。
采用Epidata 3.1软件设计表格,调查325例患者人口信息、发病情况、临床症状、入院24 h实验室和影像学检查等指标并进行回顾性分析。
以3个月GOS评分作为因变量,GOS 4~5分为预后良好组(239例),GOS 1~3分为预后不良组(86例)。
1.2 方法 1.2.1 模型建立及模型整体性能分析单因素分析危险因素与预后关系;多因素Logistic回归分析影响预后独立危险因素。挑选独立的预测因素建立3个预测模型,分别为模型A(年龄、GCS和瞳孔对光反射)、模型B(模型A + CT特征)、模型C(模型B +实验室检查)。分别检验模型的判别能力(计算C统计值,即ROC曲线下面积)及校准能力(拟合优度检验,即H-L检验)。
1.2.2 预测模型的验证包括内部验证和外部验证。内部验证:利用自举法(bootstrap)检验预测模型的内部真实性。外部验证: 161例高血压脑出血患者的临床数据作为外部验证数据,分别计算代表模型判别能力的C统计值和校准能力的H-L检验,对比预测概率与实际观察概率,观察模型的校准能力。
1.3 统计学方法应用SPSS 17.0软件,计量资料采用独立样本的t或t’检验,计数资料采用χ2检验。在分析连续变量与预后的关系中,由于极端值的存在可很大程度影响结果。为了避免此影响,根据临床经验确定不可能存在的值,统计检测离群值,并定义截断点。内部验证采取bootstrap方法,重抽样样本量为200。Logistic回归分析采用向前逐步筛选法,以P < 0.05为差异具有统计学意义。
2 结果 2.1 模型建立患者临床资料预后不良组患者平均年龄、出血量、血糖、D-二聚体和纤维蛋白原大于预后良好组(P < 0.05),而GCS平均评分、血镁、总胆固醇和低密度脂蛋白小于预后良好组(P < 0.05)。预后不良组患者中体力劳动者、吸烟、低氧血症、脑干出血、出血破入脑室和中线移位≥5 mm的比例高于预后良好组(P < 0.05)。手术为预后不良的危险因素,见表 1。
| 临床特征 | 预后良好组(n=239) | 预后不良组(n=86) | t/χ2值 | P值 |
| 年龄(岁) | 61.39±13.91 | 65.81±15.72 | -2.300 | 0.023 |
| 男性/(例,%) | 146(61.1) | 52(60.5) | 0.018 | 0.919 |
| 体力劳动者/(例,%) | 223(93.3) | 73(84.9) | 5.519 | 0.019 |
| 吸烟/(例,%) | 65(27.2) | 35(40.7) | 5.412 | 0.020 |
| 饮酒/(例,%) | 78(32.6) | 30(34.9) | 0.144 | 0.704 |
| GCS/min | 12.90±2.96 | 8.03±4.09 | -10.122 | 0.000 |
| 运动评分/(例,%) | 108.114 | 0.000 | ||
| 无反应 | 3(1.3) | 13(15.1) | ||
| 过伸 | 2(0.9) | 10(11.6) | ||
| 病理屈曲 | 9(3.8) | 14(16.3) | ||
| 屈曲 | 25(10.5) | 25(29.1) | ||
| 定位 | 41(17.2) | 13(15.1) | ||
| 按令动作 | 159(66.5) | 11(12.8) | ||
| 瞳孔对光反射/(例,%) | 29.013 | 0.000 | ||
| 双侧阳性 | 2(0.8) | 11(12.8) | ||
| 一侧阳性 | 11(4.6) | 12(14.0) | ||
| 双侧阴性 | 226(94.6) | 63(73.3) | ||
| 低氧血症/(例,%) | 40(17.0) | 25(29.1) | 5.660 | 0.017 |
| 出血量(ml) | 17.44±23.13 | 50.74±42.79 | 6.865 | 0.000 |
| 脑干出血/(例,%) | 19(8.2) | 20(23.3) | 13.349 | 0.000 |
| 出血破入脑室/(例,%) | 25(10.5) | 22(25.6) | 11.690 | 0.001 |
| 中线移位≥5mm | 59(25.1) | 46(53.5) | 23.042 | 0.000 |
| 血糖(mmol/L) | 6.64±2.53 | 9.17±4.41 | 5.047 | 0.000 |
| 血镁(mmol/L) | 0.98±0.14 | 0.92±0.16 | -3.253 | 0.001 |
| 总胆固醇(mmol/L) | 4.76±0.92 | 4.50±1.02 | -2.030 | 0.043 |
| 低密度脂蛋白(mg/L) | 2.45±0.89 | 2.16±1.04 | -2.260 | 0.025 |
| D-二聚体(mg/L) | 0.88±1.98 | 2.53±4.03 | 3.206 | 0.002 |
| 纤维蛋白原(mg/L) | 3.37±1.21 | 3.78±1.54 | 2.152 | 0.032 |
| 手术/(例,%) | 30(12.6) | 29(33.7) | 19.074 | 0.000 |
以3个月后GOS评分为因变量作多因素Logistic回归分析,年龄、GCS评分、瞳孔对光反射、低氧血症、出血量、出血破入脑室、血糖和D-二聚体共8项因素进入回归方程,是影响HICH患者预后的独立因素,参数见表 2。
| 相关因素 | β | S.E. | Wald | P | OR |
| 年龄 | 0.081 | 0.096 | 5.338 | 0.018 | 1.091 |
| GCS评分 | -0.715 | 0.309 | 5.357 | 0.021 | 0.489 |
| 瞳孔对光反射 | 1.722 | 0.227 | 10.131 | 0.001 | 3.842 |
| 出血量 | 0.053 | 0.013 | 16.643 | 0.000 | 1.055 |
| 出血破入脑室 | 0.702 | 0.11 | 4.135 | 0.042 | 1.105 |
| 低氧血症 | 1.346 | 0.404 | 11.077 | 0.001 | 2.059 |
| 血糖 | 0.223 | 0.261 | 12.947 | 0.000 | 1.302 |
| D-二聚体 | 0.412 | 0.075 | 13.009 | 0.000 | 1.059 |
| 常数项 | 4.019 | 1.907 | 4.443 | ||
| 注:β为回归系数,S.E.为回归系数标准误,Wald为检验值,P为概率值,OR优势比 | |||||
模型验证患者临床资料见表 3。
| 模型 | AUC(95%CI) | 临界值 | 敏感度 | 特异度 |
| A | 0.816(0.760~0.872) | 0.771 | 0.782 | 0.756 |
| A+B | 0.884(0.842~0.925) | 0.752 | 0.820 | 0.814 |
| A+B+C | 0.913(0.881~0.946) | 0.725 | 0.862 | 0.826 |
| 临床特征 | 预后良好组(n=115) | 预后不良组(n=46) | t/χ2 | P |
| 年龄(岁) | 59.49±11.34 | 63.21±14.12 | -2.340 | 0.021 |
| GCS(min) | 12.33±2.71 | 7.89±3.77 | -11.135 | 0.000 |
| 瞳孔对光反射/(例,%) | ||||
| 双侧阳性 | 2(1.7) | 6(13.1) | 33.112 | 0.000 |
| 一侧阳性 | 6(5.2) | 7(15.2) | ||
| 双侧阴性 | 107 (93.1) | 33(71.7) | ||
| 低氧血症/(例,%) | 21(18.3) | 13(28.3) | 5.660 | 0.027 |
| 出血量(ml) | 18.56±21.11 | 53.14±44.11 | 6.765 | 0.000 |
| 出血破入脑室/(例,%) | 13(11.3) | 12(26.1) | 11.690 | 0.001 |
| 血糖(mmol/L) | 6.14±1.89 | 9.35±4.57 | 6.017 | 0.000 |
| D-二聚体(mg/L) | 0.79±1.69 | 2.73±3.81 | 3. 001 | 0.003 |
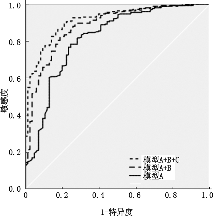
将年龄、GCS评分和瞳孔对光反射定义为模型A,出血量和出血破入脑室定义为模型B,低氧血症、血糖和D-二聚体定义为模型C。采用ROC曲线分析各模型的判别能力。随着纳入危险因素的增多,模型的判别能力随之增强(见表 4和图 1),曲线下面积由0.816到0.913。
| 模型 | 模型A | 模型B | 模型C | |||
| 内部验证b | 外部验证c | 内部验证 | 外部验证 | 内部验证 | 外部验证 | |
| C统计值(95%CI) | 0.801(0.763~0.852) | 0.823(0.792~0.854) | 0.875(0.813~0.982) | 0.881(0.844~0.958) | 0.921(0.878~0.967) | 0.947(0.911~0.985) |
| Pa | 0.451 | 0.325 | 0.138 | |||
| 注:aH-L检验,b重抽样样本量为200,c患者人数为161 | ||||||
|
| 图 1 各模型组合判别患者预后时的ROC曲线 |
|
|
根据多因素分析结果建立不同的模型,表 3显示,内部验证发现模型内部真实性强,不存在过度乐观。外部验证模型发现,模型A、模型B和模型C外部适用性强,随着外部数据的引入,模型的判别能力并未出现下降,模型的判别能力强。检验模型校准能力的H-L检验,P>0. 05,模型性能良好,外部适用性强,可以用于建立预测模型。
3 讨论预测模型是结合了多种危险因素、能准确预测预后的统计模型[5-7]。2001年,Hemphill等[8]提出包括GCS评分、ICH出血量、脑室出血、出血部位和年龄总分为6分的评分系统,30 d病死率从13%(1分)上升到97%(5分)。而其他学者[9-13]通过引入NIHSS评分、脑室出血评分、血压、蛛网膜下腔扩张和血糖等预测参数来提高新模型的预测性能。本研究系统分析患者入院时相关因素,多因素回归分析选出高危因素,建立不同的预测模型,并检测了模型的内外部检验性能。
多因素分析发现年龄、GCS评分、瞳孔对光反射、低氧血症、出血量、出血破入脑室、血糖和D-二聚体是影响患者预后的独立危险因素,这和一些学者的结论相似[14]。GCS评分与预后呈线性关系,随着GCS评分的下降,病死率增加;瞳孔对光消失患者预后差,双侧瞳孔对光消失患者病死率高。CT检查常常作为高血压脑出血患者诊断的重要辅助检查[15]。入院CT表现中,蛛网膜下腔出血、环池受压、中线移位是脑外伤患者预后不良的重要危险因素。实验室检查是临床工作中早期容易得到的临床资料,临床医师可以纠正实验室检查的异常值,从而改善患者预后。
预后预测模型的建立可以辅助临床准确地预测预后,辅助科学地制定下一步治疗。但由于临床个体差异及目前临床医疗风险,在预测模型的使用过程中,临床医师应根据病患具体情况,综合判断。本研究基于入院时的危险因素建立预测模型,能早期快速、准确地预测预后。临床医师可利用此预测工具预测高血压脑出血患者预后,辅助决定最佳的临床策略,提高有限医疗资源的利用率。
| [1] | Dennis MS. Outcome after brain haemorrhage[J]. Cerebrovas Dis, 2003, 16(Suppl 1): 9-13. |
| [2] | Meurer WJ, Walsh B, Vilke GM, et al. Clinical Guidelines for the Emergency Department Evaluation of Subarachnoid Hemorrhage[J]. J Emerg Med, 2016, 50(4): 696-701. DOI:10.1016/j.jemermed.2015.07.048 |
| [3] | Ojaghihaghighi S, Vahdati SS, Mikaeilpour A, et al. Comparison of neurological clinical manifestation in patients with hemorrhagic and ischemic stroke[J]. World J Emerg Med, 2017, 8(1): 34-38. DOI:10.5847/wjem.j.1920-8642.2017.01.006 |
| [4] | Morgenstern LB, Hemphill JC, Anderson C, et al. Guidelines for the management of spontaneous intracerebral hemorrhage:a guideline for healthcare professionals from the American Heart Association/American Stroke Association[J]. Stroke, 2010, 41(9): 2108-2129. DOI:10.1161/STR.0b013e3181ec611b |
| [5] | 何磊磊, 丁礼, 陆士奇, 等. 轻度创伤性脑损伤评估及管理的研究进展[J]. 中华急诊医学杂志, 2016, 25(7): 959-964. DOI:10.3760/cma.j.issn.1671-0282.2016.07.025 |
| [6] | 顾言, 陈建荣, 陈佳漪. 短暂性脑缺血发作预测脑梗死风险模型ABCD2评分的改进[J]. 中华急诊医学杂志, 2016, 25(12): 1248-1252. DOI:10.3760/cma.j.issn.1671-0282.2016.12.007 |
| [7] | Jamal A, Sankhyan N, Jayashree M, et al. Full outline of unresponsiveness score and the glasgow coma scale in prediction of pediatric coma[J]. World J Emerg Med, 2017, 8(1): 55-60. DOI:10.5847/wjem.j.1920-8642.2017.01.010 |
| [8] | Hemphill JC, Bonovich DC, Besmertis L, et al. The ICH score:a simple, reliable grading scale for intracerebral hemorrhage[J]. Stroke, 2001, 32(4): 891-897. DOI:10.1161/01.STR.32.4.891 |
| [9] | Weimar C, Benemann J, Diener HC, et al. Development and validation of the Essen Intracerebral Haemorrhage Score[J]. J Neur Neurosurg Psych, 2006, 77(5): 601-605. DOI:10.1136/jnnp.2005.081117 |
| [10] | Ruiz-Sandoval JL, Chiquete E, Romero-Vargas S, et al. Grading scale for prediction of outcome in primary intracerebral hemorrhages[J]. Stroke, 2007, 38(5): 1641-1644. DOI:10.1161/STROKEAHA.106.478222 |
| [11] | Godoy DA, Pinero G, Di Napoli M. Predicting mortality in spontaneous intracerebral hemorrhage:can modification to original score improve the prediction?[J]. Stroke, 2006, 37(4): 1038-1044. DOI:10.1161/01.STR.0000206441.79646.49 |
| [12] | Chuang YC, Chen YM, Peng SK, et al. Risk stratification for predicting 30-day mortality of intracerebral hemorrhage[J]. Intern J Qual Health Care, 2009, 21(6): 441-447. DOI:10.1093/intqhc/mzp041 |
| [13] | Cheung RT, Zou LY. Use of the original, modified, or new intracerebral hemorrhage score to predict mortality and morbidity after intracerebral hemorrhage[J]. Stroke, 2003, 34(7): 1717-1722. DOI:10.1161/01.STR.0000078657.22835.B9 |
| [14] | Zhang J, Wang Y, Wang GN, et al. Clinical factors in patients with ischemic versus hemorrhagic stroke in East China[J]. World J Emerg Med, 2011, 2(1): 18-23. DOI:10.5847/wjem.j.1920-8642.2011.01.003 |
| [15] | Lourenco AP, Mayo-Smith WW, Tubbs RJ. Does 16-detector computed tomography improve detection of non-traumatic subarachnoid hemorrhage in the Emergency Department[J]. J Emerg Med, 2009, 36(2): 171-175. DOI:10.1016/j.jemermed.2007.10.066 |
2017, Vol. 26



