心脏骤停(cardiac arrest, CA)是临床最危重的心脏急症,在世界范围内发生院外心血管疾病死亡事件中,心脏骤停事件为死亡原因之首。虽然心肺复苏(cardiopulmonary resuscitation, CPR)的最初的成功率在13%~59%,但是大多数最初复苏成功的患者在72 h内由于心脏功能发生损伤或者衰竭而死亡。因此,就心肺复苏本身而言,CA骤停患者生存率仅有1.4%~5%[1-2]。目前关于心脏骤停动物模型的制作主要有电击室颤法以及窒息法,两者在基础实验研究中都有较为广泛的应用[3-4]。但是,在复苏后心脏功能的代谢变化,尤其是利用目前最先进的存活心肌代谢判断的“金标准”——正电子发射型计算机断层显像(positron emission tomography, PET)进行检查比较两种模型复苏后心肌代谢情况,尚无文献报道。本实验分别采用右心室电击室颤方法和气管堵塞窒息方法建立五指山小猪心脏骤停模型,并利用PET测定左心室心肌代谢的最大标准化摄取值(the maximum standardized uptake value, SUVmax)值,对不同心脏骤停模型复苏后心肌代谢情况进行比较,在心肌细胞代谢方面比较这两种模型的特点。
1 材料与方法 1.1 研究对象健康实验用近交系五指山小型猪32只,月龄10~15周,体质量(20±2) kg,雌雄不限,由中国农科院畜牧研究所提供。
1.2 研究方法 1.2.1 实验动物准备动物术前12 h禁食,可自由饮水。麻醉诱导:肌注氯胺酮10 mg/kg,咪达唑仑0.5 mg/kg以及阿托品0.05 mg/kg。而后将动物平卧位固定于动物实验手术台上,耳缘静脉注射丙泊酚2.5 mg/kg后行经口气管插管,置入直径6.5 F的气管插管并接呼吸机(Servo 900c; Siemens, Berlin, Germany)及CO2 SMO Plus (CO2SMOplus monitor; Respironics Inc, Murrysville, PA)监测呼气末二氧化碳分压(end-tidal CO2, ETCO2),呼吸机设定吸入氧体积分数为21%,通气频率为20次/min,潮气量初次设为15 ml/kg。然后调整呼吸机参数,使ETCO2保持在35~40 mmHg之间。动物胸前区备皮后黏贴电极片,连接心电监护监测心率变化。麻醉维持阶段,以丙泊酚9 mg/(kg·h)以及芬太尼4 μg/(kg·h)连续静脉泵入[5],如果实验动物出现心率上升大于120次/min则推注附加剂量的芬太尼1 μg/kg。分离右侧股动脉,将一个直径为5 F Pulsiocath PV2014L热敏导管置入并且固定后,连接压力换能器及惠普监护仪连续监测动脉血压变化;分离右侧股静脉,置入直径8 F扩张导引管,放置Swan-Ganz (7 F; Edwards Life Sciences, Irvine, CA)漂浮导管至肺动脉,抽取混合静脉血备用;分离右侧颈内静脉将一个直径7 F的血管造影用鞘管置入右侧颈内静脉,电击室颤组放置双极临时起搏电极直至右心室。
1.2.2 实验过程待实验置管操作后动物稳定60 min,记录基础心律以及基础血压后随机将32只实验动物分为电击室颤心脏骤停(ventricular fibrillation cardiac arrest, VFCA)组和窒息心脏骤停(asphyxia cardiac arrest, ACA)组,行基础状态的PET (18F-FDG PET/CT, GE Discovery STE, 美国)检查。为了计算心脏左心室对18F-FDG的摄取值,所有的PET图像在计算机工作站屏幕上进行直接读取并且将左心室进行三维立体选择,直接读取左心室SUVmax)值[6]。VFCA组,将右心室内电极导线外接医用程控刺激仪GY-600A (BL-420F Data Acquisition & Analysis System; Chengdu TME 83 Technology Co, Ltd, Sichuan, 中国),选择食道输出S1S2(300/200 ms)模式,8: 1比例,步长-10 ms连续电刺激,直到出现室颤,室颤心脏骤停的判断标准是动脉血压迅速下降,心电图显示室颤波形;ACA组先予静脉推注维库溴铵0.2 mg/kg以防止动物在实验中出现喘息样动作,然后在呼吸机呼气末停用呼吸机,断开气管插管连接处,堵塞气管插管并且停用麻醉维持用药,观察实验动物动脉血压值变化,以动脉收缩压低于30 mmHg(1 mmHg=0.133 kPa)作为窒息心脏骤停模型成功判断标准。心脏骤停等待非干预时间8 min后(代表心脏骤停患者到达急诊平均需要时间[7]),立即以100%的氧气浓度恢复机械通气。同时立即行人工胸外按压,按压频率为100次/min,按压深度为胸廓前后径的1/3,按压和放松周期比例为1: 1,使用Q-CPRTM技术监测CPR质量。持续按压2 min作为一个循环,每个循环末分析心电波形,若心电显示室颤波形,则开始电击除颤,除颤能量为4 J/kg(双相指数截断波)。若在CPR 4 min后没有恢复自主循环,则予以肾上腺素(剂量0.02 mg/kg)稀释后静脉推注,并且以20 ml生理盐水冲管,然后继续进行持续按压。每2个循环作为一个复苏周期,依次类推直至自主循环恢复(resumption of spontaneous circulation, ROSC)标准或者动物复苏失败终点。ROSC的标准是:主动脉收缩压在60 mmHg以上或平均动脉压>20 mmHg,并且持续时间超过10 min[8]。如果自复苏开始后30 min实验动物仍未达到ROSC,则认为复苏失败,动物死亡。整个试验过程中以惠普多功能监护仪持续监测动脉血压以及心电波形(M1165; Hewlett-Packard Co, Palo Alto, CA)。
1.2.3 实验指标监测两组成功ROSC的动物在复苏后4 h行心脏PET检查并且持续心电监护,心排血量监测。呼吸机辅助通气6 h后,通过结扎动脉的外科方法拔出动脉导管,然后停止使用呼吸机辅助通气,如果ROSC猪自主呼吸稳定(监测舌部的氧饱和度大于97%)则静脉注射阿托品0.2 mg/kg后拔出气管插管,然后将动物移进动物笼内观察18 h。计算复苏成功率并且观察复苏成功五指山猪24 h后,存活动物使用丙泊酚2 mg/kg诱导麻醉后以静脉推注氯化钾处死取心脏组织病理标本。
1.3 统计学方法采用SPSS 17.0统计学软件,采用Kaplan-Mele乘积极限法构建生存函数并且使用Log Rank进行检验;两组间不同的ROSC率的比较采用Fisher’ s Exact Test进行检验;组间变量同时间点的比较使用Student’ t test,组内变量重复测量的比较使用单因素重复测量ANOVA分析。以P<0.05为差异有统计学意义。
2 结果 2.1 模型制作成功率和ROSC两组实验动物基本特征比较以及心脏骤停模型制作成功率和ROSC例数见表 1。
| 组别 | 性别(雄/雌) | 体质量(kg) | CA模型成功率(%) | ROSC率(%) |
| VFCA(n=16) | 7/9 | 20.2±1.3 | 100 | 100 |
| ACA(n=16) | 8/8 | 20.1±1.5 | 100 | 50a |
| 注:与VFCA比较,aP<0.05 | ||||
两组ROSC五指山小猪采用Kaplan-Meler乘积极限法进行生存分析结果。
VFCA生存表均值(22.63±0.95) h,95% CI:20.77~ 24.48;ACA生存表均值(8.75±2.54) h,95%CI:3.78~13.72,两组生存函数Log-Rank比较,χ2=14.306,P<0.05。生存函数图见图 1。
|
| 图 1 VFCA组和ACA组复苏动物生存时间Kaplan-Meler乘积极限法比较 Figure 1 Comparison of survival time after resuscitation using Kaplan-Meler in VFCA group and ACA group |
|
|
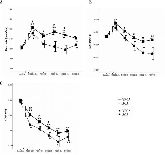
两组实验动物基础状态以及ROSC 6 h基本生命体征以及心排血量变化比较,见图 2。
|
| P<0.05 P<0.01;组间与ACA比较,#P<0.05,##P<0.01。Heart rate:心率,MAP:平均动脉压,CO:心排血量。 图 2 组内与基础状态比较 Figure 2 Comparison of baseline between groups |
|
|
两组实验动物基础状态和ROSC 4 h,24 h左心室对18F-FDG的SUVmax)值比较,见表 2,图 3。
| 组别 | 基础SUVmax | ROSC 4 h SUVmax | ROSC 24 h SUVmax |
| VFCA组 | 2.6±0.2 | 1.9±0.3ab | 2.4±0.6b |
| ACA组 | 2.7±0.3 | 1.0±0.4a | 1.2±0.5a |
| 注; 组内与基础状态比较,aP<0.01;组间与ACA比较,bP<0.01 | |||
|
| A,基础状态;B,VFCA组ROSC4 h PET心脏检查图像;C,ACA组ROSC4 h PET心脏检查图像。A-C图中左上为PET影像,左下为融合影像,右侧为CT影像。在PET影像中,环状高密度区代表心脏的左心室。 图 3 实验动物行PET心脏检查图像 Figure 3 Cardiac examination images using PET |
|
|
窒息致CA多采用夹闭气管的方法致动物发生缺氧性心脏骤停,此方法制作CA动物模型相对成熟且制作方便,所需设备较简单,易于掌握操作,可行性强[9-10]。室颤法致CA模型准确有效,尤其是经右心程控刺激室颤模型技术成熟,尤其适用于临床心源性室颤心脏骤停研究[11]。但是,二者在病理生理上有着基础上的差别:窒息是由于某种原因导致气道受阻或通气异常,逐渐产生全身各器官组织缺氧,二氧化碳潴留而引起组织细胞代谢障碍、功能紊乱和形态结构损伤,当机体内严重缺氧时,器官和组织会因为缺氧而广泛损伤、坏死,尤其是大脑,最终导致CA,即在CA发生即刻机体内已经出现严重的低氧、高碳酸血症,代谢性酸中毒等病理生理改变[12]。而室颤则是由于心源性的原因直接即刻导致CA,全身血流即时中断,即在CA发生的即刻机体内尚未出现严重的低氧或者高碳酸血症,代谢性酸中毒等病理生理改变。我们的研究结果提示,在复苏策略相同的前提下,窒息导致CA的复苏成功率要明显低于室颤导致的CA复苏成功率,而且在ROSC后,生命体征的监测以及心脏的心排血量室颤组有明显优于窒息组。在基础以及临床上研究也发现如果窒息导致出现无脉电活动或者直线停搏,同时没有其他的致病可逆因素存在(如张力性气胸,心包填塞等)复苏成功可能性很低,而且预后差[13-14]。
细胞代谢活动的存在是心肌细胞存活最可靠的标志,目前认为18F-脱氧葡萄糖正电子发射型计算机断层显像(18F-FDG-PET)是目前判断心肌存活最准确的方法,被称为无创方法检查心肌活性的“金标准”[15]。正常静息状态下,心肌代谢主要以游离脂肪酸和葡萄糖的氧化作为能量,在禁食或者运动状态下,葡萄糖成为心肌的唯一能量来源,因此如果细胞内存在葡萄糖代谢就能够证明心肌细胞是存活心肌。18F-FDG的结构式与葡萄糖很相似,仅2位上的羟基被18F取代,18F-FDG与葡萄糖竞争,经己糖激酶介导的摄取和磷酸化而生成18F-FDG -6-PO4。18F-FDG -6-PO4不再参加进一步代谢,最终滞留在心肌细胞中内,显像时出现放射性浓聚。我们的研究就是利用PET这一判断心肌细胞是否存活的金标准通过计算左心室的SUVmax)值来比较窒息与室颤导致的CA心肌代谢的特点。我们的研究结果提示,在基础状态相同的状况下,经过不同方法的CA模型制作以及成功ROSC后4 h,室颤模型的心肌代谢SUVmax)值要明显高于窒息模型,说明虽然室颤直接损伤的是心脏,但是心肌细胞损伤程度要远低于窒息模型。由于单独使用PET代谢性检查不能明确发生的心肌损伤是心肌顿抑还是心肌坏死[16],所以本研究在动物ROSC 24 h后再次进行了心肌PET影像检查。本研究结果发现,室颤组动物在ROSC后24 h,心肌的SUVmax)值已经恢复到正常水平,所以从心肌代谢的角度上评估已经完全恢复,这就说明了室颤导致CA,ROSC后存在心肌顿抑,这与先前研究也是一致的[17]。而窒息导致CA细胞代谢严重降低以及在ROSC后24 h恢复困难,可能已经发生了严重的细胞坏死或者凋亡,这可能与窒息过程中心肌细胞内线粒体发生严重损伤导致细胞呼吸代谢链发生不可逆性损伤有关[18]。
本研究利用PET行心肌代谢研究结果提示,室颤与窒息两种不同的心脏骤停模型在复苏后心肌代谢损伤程度不同,室颤虽然是心源性直接心肌损伤但是在复苏后经高级生命支持该代谢损伤可以在24 h内恢复,而窒息引起的心肌代谢损伤在24 h仍然持续存在。所以在进行心肺复苏实验研究时,要根据实验目的和设计选择相应的CA动物制作模型。
| [1] | Lloyd-Jones D, Adams R, Carnethon M, et al. Heart disease and stroke statistics-2009 up-date:A report from the American Heart Association Statistics Committee and Stroke Statistics Subcommittee[J]. Circulation, 2009, 119: 480-486. DOI:10.1161/CIRCULATIONAHA.108.191259 |
| [2] | Brown CG, Martin DR, Pepe PE, et al. A comparison of standard-dose and high-dose epinephrine in cardiac arrest outside the hospital. The Multicenter High-Dose Epinephrine Study Group[J]. N Eng J Med, 1992, 327: 1051-1055. DOI:10.1056/NEJM199210083271503 |
| [3] | Schultz Jason C., Segal N, et al. Sodium nitroprusside-enhanced cardiopulmonary resuscitation improves resuscitation rates after prolonged untreated cardiac arrest in two porcine models[J]. Crit Care Med, 2011, 39(12): 2705-2710. DOI:10.1097/CCM.0b013e31822668ba |
| [4] | Kurita T, Morita K, Kazama T, et al. Comparison of isoflurane and propofol-fentanyl anaesthesia in a swine model of asphyxia[J]. Brit J Anaes, 2003, 91(6): 871-877. DOI:10.1093/bja/aeg259 |
| [5] | Ioannis N, Theodoros T, Vlachos I, et al. Use of the impedance threshold device improves survival rate and neurological outcome in a swine model of asphyxial cardiac arrest[J]. Crit Care Med, 2012, 40(2): 1-7. DOI:10.1097/CCM.0b013e318232d8de |
| [6] | Kaneta T, Hakamatsuka T, Takanami K, et al. Evaluation of the relationship between physiological FDG uptake in the heart and age, blood glucose level, fasting period, and hospitalization[J]. Ann Nuclear Med, 2006, 20(3): 203-208. DOI:10.1007/BF03027431 |
| [7] | van Alem AP, Vrenken RH, de Vos R, et al. Use of automated external defibrillator by first responders in out of hospital cardiac arrest:Prospective controlled trial[J]. BMJ, 2003, 327: 1312-1317. DOI:10.1136/bmj.327.7427.1312 |
| [8] | Idris AH, Chair, Becker LB, et al. Utstein-style Guidelines for uniform reporting of laboratory CPR research[J]. Resuscitation, 1996, 33(1): 69-84. DOI:10.1016/S0300-9572(96)01055-6 |
| [9] | 吴彩军, 李春盛. 窒息法与电击室颤法心搏骤停动物模型比较[J]. 中华急诊医学杂志, 2012, 21(11): 1284-1288. DOI:10.3760/cma.j.issn.1671-0282.2012.11.029 |
| [10] | 肖敏, 吕军, 刘菊英, 等. 心脏骤停后综合征动物模型的建立[J]. 中国急救医学, 2010, 30(6): 532-536. DOI:10.3969/j.issn.1002-1949.2010.06.015 |
| [11] | 武军元, 李春盛. 应用程控刺激的心脏骤停模型[J]. 中华急诊医学杂志, 2008, 17(10): 1063-1065. DOI:10.3760/j.issn.1671-0282.2008.10.014 |
| [12] | Safar P, Bircher NG. The pathophysiology of dying and reanimation[M]//Schwartz GR, Cayten CG, Mangelsen MA, et al, eds. Principles and Practice of Emergency Medicine. 3rd ed. Philadelphia, Pa:Lea & Febiger, 1992:3-41. |
| [13] | Bleske BE, Billi JE. Comparison of adrenergic agonists for the treatment of ventricular fibrillation and pulseless electrical activity[J]. Resuscitation, 1994, 28(3): 239-251. DOI:10.1016/0300-9572(94)90070-1 |
| [14] | 吴彩军, 李春盛, 杨军, 等. 窒息致心脏骤停猪不同自主循环恢复结果心脏节律变化[J]. 中华急诊医学杂志, 2013, 22(6): 594-596. DOI:10.3760/cma.j.issn.1671-0282.2013.06.011 |
| [15] | Muellerleile K, Barmeyer A, Groth M. Assessment of myocardial viability in ischemic heart disease by cardiac magnetic resonance imaging[J]. Min Card, 2008, 56(2): 237-249. |
| [16] | Kuhl HP, Lipke CS, Krombach GA, et al. Assessment of reversible myocardial dysfunction in chronic ischemic heart disease:comparison of contrast-enhanced cardiovascular magnetic resonance and a combined positron emission tommography-single photon emission computed tomography imaging protocol[J]. Eur Heart J, 2006, 27(7): 846-853. DOI:10.1093/eurheartj/ehi747 |
| [17] | Yang L, Li CS, Gao CJ, et al. Investigation of myocardial stunning after cardiopulmonary resuscitation in pigs[J]. Biomed Environ Sci, 2011, 24(2): 56-61. DOI:10.3957/0895-3988.2011.02.010 |
| [18] | Tsai MS, Huang CH, Tsai SH, et al. The difference in myocardial injuries and mitochondrial damages between asphyxial and ventricular fibrillation cardiac arrests[J]. Am J Emerg Med, 2012, 30(8): 1540-1548. DOI:10.1016/j.ajem.2012.01.001 |
2017, Vol. 26



