人体内凝血过程是一系列复杂的化学连锁反应过程,参与各连锁反应的多种物质组成的系统称为凝血系统。凝血系统各种成分的缺乏或功能异常所致的出血性疾病称凝血功能障碍,见于创伤、脓毒症、严重肝病等多种疾病,后果严重,需要积极的预防干预[1]。目前临床上凝血功能检查主要依赖传统凝血功能检查(conventional coagulation tests,CCTs),包括凝血酶原时间(PT)、活化部分凝血活酶时间(APTT)、纤维蛋白原(FIB)、纤维蛋白降解物(FDP)、D-二聚体(D-dimer)及血小板(PLT)计数,其检测样本为血浆,只反映凝血过程的某单一部分,不能表明总体的凝血状态,与临床结局相关性较差,有一定的局限性[2]。
血栓弹力图(thromboelastography,TEG)是1948年由德国科学家Hartert发明,能够进行快速床旁检测,全面评估全血凝固过程中血液黏弹性的改变,包括血凝块形成、血小板激活、纤维蛋白交联、血凝块最大强度及纤溶情况[3]。其主要参数有凝血反应时间(R)、凝血形成时间(K)、凝固角(α)、血栓最大幅度(MA)、纤溶指数(LY30),分别代表血凝块形成时间、血凝块形成速度(K、α)、血凝块最大强度及纤溶情况。TEG检测起初主要应用于实验室研究,近年来已被广泛应用于肝移植、心血管外科手术、ICU患者凝血功能的监测,但是其鉴别凝血异常的能力及指导治疗的有效性及安全性尚存在争议[4-5]。本研究主要通过对TEG和CCTs进行比较,探讨两者检测凝血功能的区别、联系及各自的优越性。
1 资料与方法 1.1 一般资料2015年8月至2016年9月西京医院急诊科行TEG和CCTs检查的成人患者。纳入标准:年龄>18岁,TEG和CCTs血样标本同时抽取,且在规定的时间内检测。排除标准:患有已知的血小板、纤维蛋白原功能异常,以及各种已进行抗血小板、抗纤维蛋白原治疗的患者。
1.2 实验室分析血栓弹力图检查采用美国Haemoscop公司的血栓弹力图仪TEG5000,配套软件、配套活化凝血检测试剂盒(高岭土、缓冲稳定剂和混合磷脂组成,2~10 ℃保存),样品杯和杯盖(Haemoscop公司REF6211)。传统凝血功能检查采用德国Siemens公司全自动血凝分析仪CA510,配套活化部分凝血活酶时间测定试剂盒、凝血酶原时间测定试剂盒、凝血酶时间测定试剂盒、纤维蛋白原测定试剂等。血常规检查采用日本Sysmex XE-2100全自动血液分析仪。
1.3 实验方法前瞻性收集病例资料,回顾性对比分析TEG和CCTs的相关性及差异。对临床意义相似的TEG和CCTs参数进行相关性分析,TEG各参数彼此进行相关性分析,探讨各参数间相互关系;R、PT、APTT均主要反映凝血因子活性,应用ROC曲线探讨R诊断PT、APTT异常的灵敏度、特异度并计算曲线下面积,比较R、PT、APTT反映凝血因子异常的能力。
TEG参数MA、α主要受血小板和纤维蛋白原双重影响,分层统计单纯血小板计数、纤维蛋白原浓度异常、及两者同时异常时α、MA的变化情况,了解α和MA反映PLT计数、FIB浓度异常的能力。综合比较TEG和CCTs结果,探讨两者对凝血整体状况的反映能力。对纳入的创伤患者,分别根据TEG和常规凝血检查预测血制品输注情况,比较两者血浆、FIB、血小板输注率的差异。
1.4 统计学方法采用SPSS 19.0进行统计分析。首先对各变量指标进行Kolmogorov-Smirnov正态性分布检验,P>0.05呈正态分布;对拟进行相关分析的对应变量绘制散点图,了解分布趋势,正态分布资料采用Pearson相关性分析,非正态分布资料采用Spearman相关分析,相关系数0.2 ≤r < 0.4为弱相关;0.4 ≤r < 0.7为中度相关;0.7 ≤r ≤ 1为强相关[6]。绘制R值诊断PT、APTT异常的ROC曲线,计算灵敏度、特异度、曲线下面积及相应95%置信区间(95%CI)。对TEG和CCTs所预测的血制品输注率差异采用配对四格表资料χ2检验或Fisher’s精确概率法进行检验,以P < 0.05为差异有统计学意义。
2 结果纳入患者的人口学特征见表 1。
| 指标 | 数值 |
| 例数 | 193 |
| 男性(例,%) | 127(66) |
| 女性(例,%) | 66 (34) |
| 年龄(岁,x±s) | 48.4±18.8 |
| 疾病分类(例,%) | |
| 创伤 | 65(34) |
| 肝病 | 19(10) |
| 血栓性疾病 | 9 (5) |
| 脑出血 | 26(13) |
| 中毒 | 8(4) |
| 其他内科疾病 | 66(34) |
分别对PT、APTT、FIB、PLT、R、K、α、MA等资料进行Kolmogorov-Smirnov正态性检验,所有参数检验结果P < 0.05,呈非正态分布。对临床意义相关联的TEG和CCTs参数绘制散点图,观察变化趋势。所有参数均呈非正态分布,故进行Spearman相关分析,结果见表 2。可见R与PT(r=0.21,P=0.004)、APTT(r=0.37,P < 0.01) 呈弱相关;K(r=-0.54,P < 0.01)、α(r=0.50,P < 0.01)、MA(r=0.63,P < 0.01) 与PLT呈中度相关;K(r=-0.30,P < 0.01)、α(r=0.28,P < 0.01) 与FIB呈弱相关,MA(r=0.53,P < 0.01) 与FIB呈中度相关;TEG各参数中,R与MA不相关,R与K(r=0.47,P < 0.01)、α(r=-0.52,P < 0.01) 为中度相关,K与α(r=-0.89,P < 0.01)、MA(r=-0.73,P < 0.01) 及α与MA(r=0.69,P < 0.01) 高度相关。本研究纳入患者TEG均未发现纤溶亢进。
| TEG | CCTs | TEG | ||||||||
| PT | APTT | FIB | PLT | R | K | α | MA | |||
| R | r | 0.21 | 0.37 | 0.24 | -0.21 | 1 | 0.47 | -0.52 | -0.17 | |
| P | 0.004 | < 0.01 | 0.001 | 0.004 | — | < 0.01 | < 0.01 | 0.019 | ||
| K | r | 0.14 | 0.26 | -0.30 | -0.54 | 0.47 | 1 | -0.89 | -0.73 | |
| P | 0.06 | < 0.01 | < 0.01 | < 0.01 | < 0.01 | — | < 0.01 | < 0.01 | ||
| α | r | -0.11 | -0.25 | 0.28 | 0.50 | -0.52 | -0.89 | 1 | 0.69 | |
| P | 0.13 | < 0.01 | < 0.01 | < 0.01 | < 0.01 | < 0.01 | < 0.01 | < 0.01 | ||
| MA | r | -0.06 | -0.15 | 0.53 | 0.63 | -0.17 | -0.73 | 0.69 | 1 | |
| P | 0.41 | 0.044 | < 0.01 | < 0.01 | 0.019 | < 0.01 | < 0.01 | — | ||
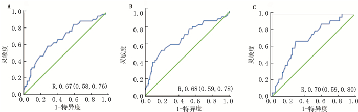
R诊断PT、APTT异常的ROC曲线如图 1。由于纳入病例中PT < 9.8 s的只有3例,未进行ROC曲线分析;根据ROC曲线,以R>10 min诊断PT>15.1 s,灵敏度为32%(95%CI:0.20~0.47),特异度为90%(95%CI:0.84~0.94);以R>10 min诊断APTT>41.8 s,灵敏度为39%(95%CI:0.25~0.54),特异度为91%(95%CI:0.85~0.95);以R < 5 min诊断APTT < 22.7 s,灵敏度为33%(95%CI:0.16~0.55),特异度为85%(95%CI,0.78~0.90)。R诊断PT、APTT异常的最佳截断点见表 3,即使采用最佳截断点,其灵敏度均不高。根据Swets判定标准,ROC曲线下面积(AUC) < 0.5,实验没有诊断价值,AUC在0.5~0.7时有较低准确性,AUC在0.7~0.9时有一定准确性,AUC>0.9时有较高的诊断价值[7]。本研究AUC均在0.5~0.7之间,准确性较低。因此,通过R来反映PT、APTT的异常变化,灵敏度较低,特异度较强,总体准确性较低。
|
| A:R vs.PT(PT>15.1 s);B:R vs.APTT(APTT>41.8 s);C:R vs.APTT(APTT<22.7 s) 图 1 R诊断PT、APTT异常的ROC曲线,AUC(95%CI) Figure 1 The ROC curve for R to detect abnormal PT and APTT, AUC(95%CI) |
|
|
| PT或APTT | R最佳截断点(min) | 灵敏度及95% CI | 特异度及95% CI | 最大约登指数 |
| PT > 15.1 s | 8.15 | 58%(0.43~0.72) | 71%(0.63~0.78) | 0.29 |
| APTT > 41.8 s | 8.75 | 52%(0.37~0.67) | 81%(0.74~0.87) | 0.33 |
| APTT < 22.7 s | 5.95 | 67%(0.45~0.84) | 72%(0.64~0.78) | 0.38 |
| 注:95%CI为95%的可信区间 | ||||
共纳入血小板计数或纤维蛋白原浓度异常患者142例,分层统计PLT计数、FIB浓度异常时,α、MA异常情况,结果见表 4。可见,MA或α反映单纯PLT计数、FIB浓度轻度异常灵敏度不高。在FIB正常而PLT为(50~125)×109/L的患者中,MA、α的异常率分别为42%、54%。
| PLT/ FIB | 例数 | α(%) | MA(%) | MA或α(%) |
| 单纯PLT异常 | 39 | 24(62) | 22(56) | 28(72) |
| 单纯FIB异常 | 47 | 17(36) | 29(61) | 35(74) |
| FIB、PLT均异常 | 56 | 36(64) | 33(59) | 42(75) |
| FIB、PLT均升高 | 9 | 6(67) | 9(100) | 9(100) |
| FIB、PLT均降低 | 19 | 15(78) | 11(58) | 15(78) |
| FIB降低、PLT升高 | 2 | 0(0) | 0(0) | 0(0) |
| FIB升高、PLT降低 | 26 | 15(57) | 13 (50) | 18(69) |
通过对193例患者TEG和常规凝血检查结果的综合分析,发现常规凝血检查单个参数数量上的轻中度异常对TEG总体凝血功能影响不大,而TEG能发现常规凝血检查不能检测到的异常。纳入193例患者中,83%的患者出现不同程度FDP、D-二聚体的异常,而TEG纤溶指数未见异常;在纳入的26例高血压颅内出血患者中,10例患者常规凝血检查、PLT均正常,而TEG检查均表现为纤维蛋白原功能性低凝;65例创伤患者中,8例患者常规凝血检查、PLT均正常,而TEG检查均表现出不同程度的纤维蛋白原或血小板功能性异常。
2.5 预测输血率的比较对纳入的65例创伤患者,分别以PT>18.15 s或APTT >47.7 s(1.5倍的参考值)、PLT < 50×109/L、FIB < 1 g/L为临床常规输注血浆、血小板、纤维蛋白原的标准[8-9],与TEG指导复苏输血方案[10-11]进行比较,汇总成配对四个表资料,比较血浆、血小板、纤维蛋白原输注率的差异,见表 5~7。PT或APTT检测有7例患者需要输注血浆,输注率为10%,而TEG检测发现只有1例需要输注血浆,输注率为2%,卡方检验χ2=4.17,P=0.03,差异有统计学意义;FIB检测有6例患者需要输注FIB,输注率为9%,而TEG检测发现有17例需要输注FIB,输注率为26%,χ2=5.88,P=0.013,差异有统计学意义;PLT检测有4例患者需要输注血小板,输注率为6%,而TEG检测发现有12例需要输注血小板,输注率为18%,χ2=4.08,P=0.039,差异有统计学意义。在创伤患者中,TEG指导的复苏能够减少血浆输注率,而纤维蛋白原、血小板输注率增高。
传统凝血功能检查(CCTs)检测样本为血浆,无血细胞的参与,各指标只反映凝血过程中的一些片段信息,无法反映凝血全貌,与临床结局相关性不高[12]。PT、APTT最初设计主要是用于指导血友病或者肝素和华法林抗凝治疗的患者,并非用于指导创伤或外科损伤性出血的干预[13],主要反映凝血因子活性,受凝血因子、凝血酶影响[14-15];FIB浓度、PLT计数只反映数量的多少,无法反映纤维蛋白原及血小板的功能及活性;FDP、D-二聚体用于反映纤溶亢进,其特异性太低,在创伤等多种疾病状态下均可明显升高。临床工作中,通过个别的常规凝血检查判断整体的凝血状况,有较大的误差。TEG和CCTs设计理念和原理不同,其检测全血,能够检测凝血因子激活、血凝块形成速度、最大血凝块强度、血凝块溶解整个连续的凝血过程,反映凝血综合指标,与临床结局有较好的相关性[16]。
TEG参数R反映凝血反应时间,和常规PT、APTT相似,均主要受凝血因子和凝血酶活性的影响,是一项功能性指标。理论上,R与PT、APTT应该有较好的关联性,但相关性分析发现,R与PT、APTT均呈弱相关,且与APTT相关性较好。原因在于本研究TEG检测使用活化凝血检测试剂盒,通过表面激活机制激发内源性凝血途径,使血样发生凝固,而APTT也反映内源性凝血途径。R反映PT、APTT异常的ROC曲线分析表明,在PT>15.1 s的患者中,R的异常率仅为32%;在APTT>41.8 s的患者中,R的异常率为39%;在APTT < 2.7 s的患者中,R的异常率为33%,其特异度均很好。可见,R值并不能敏感地反映PT、APTT异常,可能原因在于检测标本不同,R值是凝血因子和细胞成分综合作用结果,而PT、APTT检测无细胞成分参与。可以认为R值检测凝血因子异常的灵敏度不如PT、APTT,结果与Anna等[17]的研究相一致。在PT、APTT轻中度异常患者中,有相当一部分患者R值及总体凝血功能并未出现异常,所以根据目前推荐的PT、APTT阈值,可能过高地估计了凝血干预的需求[18],结合TEG检查,可能会减少血浆的输注率。
K、α、MA与FIB、PLT相关性分析结果显示:MA与FIB、PLT呈中度相关;α、K均与PLT中度相关,与FIB弱相关,结果和以往的认识相符合。在大多数PLT计数、FIB浓度轻中度异常情况下,MA或α没有出现相应的改变,分组统计结果显示MA或α反映单纯PLT计数、FIB浓度异常的灵敏度不高。原因在于MA、α受血小板、纤维蛋白原数量和功能的双重影响,是一项功能性的指标,反映功能上的异常比较敏感。虽然PLT和FIB浓度是血凝块机械强度的重要决定因素,但相对于蛋白或细胞成分数量上的异常,功能状况对凝血更为重要[13, 19]。TEG的一个优势就是能够直接检测血凝块的机械强度,被认为是鉴别纤维蛋白功能障碍最可靠的方法[20]。TEG参数不适用于鉴别临床上血小板数量或纤维蛋白原浓度轻中度异常。
TEG各参数相关性分析发现除R与MA不相关外,其余各参数之间彼此相关。R与K、α为中度相关,K与α、MA,及α与MA均高度相关。原因在于R主要受凝血因子影响,而α、K、MA同时受凝血因子、血小板和纤维蛋白的影响,主要受血小板的影响。
整体凝血状况评估对比显示,TEG能发现常规凝血检查不能检测到的异常,如血小板、纤维蛋白原功能异常。CCTs单个参数的轻微异常,出血风险并不增高,不被认为是凝血异常,只有当多个参数同时明显异常,可以判断为凝血异常。多数情况下单独的CCTs参数轻度异常,很难在TEG参数上有所反映。通过常规凝血检查个别参数的轻中度异常,无法判断机体综合凝血状况,而同时结合TEG检查,有利于对整体凝血状况的判断,有利于了解血小板、纤维蛋白原功能状况。TEG参数α、MA主要反映纤维蛋白原、血小板功能上的异常,对数量上的轻度变化不敏感。
本研究中,TEG所预测的输血率与常规凝血检查预测的输血率比较显示,TEG指导的复苏能够减少血浆的输注率,纤维蛋白原、血小板的输注率反而增高。关于减少血浆的输注率,和前面ROC曲线分析一致。而FIB、血小板的输注率升高,原因是一部分血小板、纤维蛋白数量正常或50×109/L < LT < 125×109/L,1 g/L < FIB < 1.8 g/L的患者,TEG检查其功能存在异常,建议干预。由于创伤程度不同,对纤维蛋白和血小板功能的影响存在差异[21],而本研究未进行创伤严重程度分级,有一定的偏倚,故纤维蛋白原、血小板输注率变化尚需进一步探讨。相对于血制品输注率,患者的生存率、并发症等结局指标更加重要,本研究未予以关注。目前TEG指导临床输血的具体干预策略及干预阈值尚无统一标准,指导临床输血治疗的有效性和安全性存在争议,有待于进一步探讨。
本研究有以下不足:① 没有纳入临床失血、凝血干预及临床结局指标。② 目前没有任何凝血检测方法可以评估血管内皮对凝血的贡献及血小板和胶原纤维之间的相互黏附,本研究也不例外。③ TEG和CCTs均无法检测低温、低钙、酸中毒对凝血的影响,本研究也未考虑这些影响。
综上所述,TEG能够反映促凝因子和抗凝因子之间的平衡,和传统凝血检查相关性不强;R鉴别凝血因子异常灵敏度低于PT、APTT,根据目前推荐的PT、APTT阈值,可能过高地估计了凝血干预的需求;MA或α反映单纯PLT计数、FIB浓度轻中度异常的灵敏度不高,TEG参数主要反映功能上的异常,对数量上的轻度变化不敏感;TEG能发现常规凝血检查不能检测到的异常,其指导的复苏可能有助于减少创伤患者血浆的输注率。TEG较CCTs有一定的优越性,但是不能完全取代传统凝血检查。根据CCTs个别参数的异常,很难判断机体整体的凝血状况,而同时结合TEG,既可以了解个别成分的改变,也可以掌握整体的凝血状况,有利于临床诊疗。
| [1] | Maegele M. Acute traumatic coagulopathy: incidence, risk stratification and therapeutic options[J]. World J Emerg Med, 2010, 1(1): 12-21. |
| [2] | Gosselin RC, Estacio EE, Song JY, et al. Verifying the performance characteristics of the TEG5000 thromboelastogram in the clinical laboratory[J]. Int J Lab Hematol, 2016, 38(2): 183-192. DOI:10.1111/ijlh.12464 |
| [3] | 胡贵锋, 尹文. 血栓弹力图对急性创伤性凝血病的诊疗价值[J]. 中华急诊医学杂志, 2016, 25(8): 1082-1086. DOI:10.3760/cma.j.issn.1671-0282.2016.08.026 |
| [4] | Hunt H, Stanworth S, Curry N, et al. Thromboelastography (TEG) and rotational thromboelastometry (ROTEM) for trauma induced coagulopathy in adult trauma patients with bleeding[J]. Cochrane Database Syst Rev, 2015(2): D10438. DOI:10.1002/14651858.CD010438.pub2 |
| [5] | Levi M, Hunt BJ. A critical appraisal of point-of-care coagulation testing in critically ill patients[J]. J Thromb Haemost, 2015, 13(11): 1960-1967. DOI:10.1111/jth.13126 |
| [6] | Sarch L. The spearman rank correlation coefficient[J]. Angewandte Statistik, 1997: 511-515. |
| [7] | 闫永平, 陈薇. 临床流行病学[M]. 西安: 人民卫生出版社, 2009: 127-141. |
| [8] | Hardy JF, De Moerloose P, Samama M. Massive transfusion and coagulopathy: pathophysiology and implications for clinical management[J]. Can J Anesth, 2004, 51(4): 293-310. DOI:10.1007/BF03018233 |
| [9] | Report by the American Society of Anesthesiologists Task Force on Blood Component Therapy. practical guidelines for blood component therapy[J]. Anesthesiology, 1996, 84(3): 732-747. DOI:10.1097/00000542-199603000-00032 |
| [10] | Johansson PI, Sørensen AM, Larsen CF. Low hemorrhage-related mortality in trauma patients in a Level Ⅰ trauma center employing transfusion packages and early thromboelastography-directed hemostatic resuscitation with plasma and platelets[J]. Transfusion, 2013, 53(12): 3088-3099. DOI:10.1111/trf.12214 |
| [11] | Johansson PI, Stensballe J. Effect of haemostatic control resuscitation on mortality in massively bleeding patients: a before and after study[J]. Vox Sang, 2009, 96(2): 111-118. DOI:10.1111/j.1423-0410.2008.01130.x |
| [12] | Holcomb JB, Minei KM, Scerbo ML, et al. Admission rapid thrombelastography can replace conventional coagulation tests in the emergency department: experience with 1974 consecutive trauma patients[J]. Ann Surg, 2012, 256(3): 476-486. DOI:10.1097/SLA.0b013e3182658180 |
| [13] | Kessler CM, Kokhar N, Liu M. Chapter 2 -A systematic approach to the beeding patient: correlation of clinical symptoms and signs with laboratory testing[[M]. Kitchens CS, Alving BM, Kessler CM.Consultative hemostasis and thrombosis. Philadelphia. Philadelphia, PA: Saunders Elsevier, 2007: 22-29. |
| [14] | 唐子人, 王涛, 王烁, 等. 急诊危重症患者凝血功能异常对预后的影响[J]. 中华急诊医学杂志, 2017, 26(4): 446-450. DOI:10.3760/cma.j.issn.1671-0282.2017.04.018 |
| [15] | 孙存杰, 赵晖. 血栓弹力图的临床应用进展[J]. 中华急诊医学杂志, 2016, 25(2): 245-250. DOI:10.3760/cma.j.issn.1671-0282.2016.02.024 |
| [16] | Holli HJ, Hanssen SW, Espinosa A, et al. Tromboelastography: variability and relation to conventional coagulation test in non-bleeding intensive care unit patients[J]. BMC Anesthesiol, 2015, 15: 28. DOI:10.1186/s12871-015-0011-2 |
| [17] | Anna A, Agneta T, Holmström M, et al. Thromboelastography (TEG®) compared to conventional coagulation tests in surgical patients-a laboratory evaluation[J]. Scand J Clin Lab Invest, 2013, 73(3): 214-220. DOI:10.3109/00365513.2013.765960 |
| [18] | Haas T, Spielmann N, Mauch J, et al. Comparison of thromboelastometry (ROTEM(R)) with standard plasmatic coagulation testing in paediatric surgery[J]. Br J Anaesth, 2012, 108(1): 36-41. DOI:10.1093/bja/aer342 |
| [19] | Johansson PI. Coagulation monitoring of the bleeding traumatized patient[J]. Curr Opin Anaesthesiol, 2012, 25(2): 235-241. DOI:10.1097/ACO.0b013e32834fab76 |
| [20] | Herbstreit F, Winter EM, Peters J, et al. Monitoring of haemostasis in liver transplantation: comparison of laboratory based and point of care tests[J]. Anaesthesia, 2010, 65(1): 44-49. DOI:10.1111/j.1365-2044.2009.06159.x |
| [21] | David J, Durand M, Levrat A, et al. Correlation between laboratory coagulation testing and thromboelastometry is modified during management of trauma patients[J]. J Trauma Acute Care Surg, 2016, 81(2): 319-327. DOI:10.1097/TA.0000000000001109 |
2017, Vol. 26



