脑卒中是急诊医学领域重点救治的三大病种之一,其中脑出血(intracerebral hemorrhage,ICH)发病率占脑卒中的20%~30%,随着救治时间窗的前移,ICH的救治和管理策略已逐渐由神经外科主导过渡到急诊医学科主导[1-3],ICH的血压管理尤其是急诊医学首先需要解决的重要问题。传统ICH急性期血压过度升高可导致血肿扩大和再出血,静脉用快速降压药可以快速降低血压,半衰期短,可控性好,对神经科高血压急症具有良好的适应证,其中最常用的一线降压药物为乌拉地尔与尼卡地平。两种药物均为欧洲和美国降压指南中推荐的高血压ICH急性期静脉用药,但两种药物的对比研究报道较少。本研究通过回顾性分析,比较两种降压药物在ICH患者中的有效性与安全性。
1 资料与方法 1.1 一般资料回顾性研究2013年3月至2016年3月深圳市人民医院急诊外科收治的ICH患者。该研究已由深圳市人民医院医学伦理委员会通过。
依据《自发性脑出血诊断治疗中国多学科专家共识》诊断ICH[4]。入选标准:① CT确诊ICH;② 年龄≥18岁且≤80岁;③ 自发性ICH;④ 头颅CT检查后至开始降压的时间<2 h;⑤ 格拉斯哥评分(GCS)≥5;⑥ 血压至少5 min监测1次或采用动脉有创血压监测;⑦ 入院时血压≥180 mmHg (1 mmHg=0.133 kPa)。排除标准:① 创伤性ICH;② 动脉瘤破裂导致的蛛网膜下腔出血;③ 在入ICU前有已接受降压治疗;④ 初始降压药物不是乌拉地尔或尼卡地平;⑤ 血压监测间隔时间10 min;⑥ 严重心肺肝肾功能衰竭;⑦ 未在发病后24 h内复查头颅CT。
1.2 资料收集 1.2.1 收集资料与分组查阅医疗、ICU护理和检查记录,收集基本资料:年龄、性别、血肌酐、吸烟、酗酒史、出血或缺血性卒中史、高脂血症、房颤。临床和影像资料:APACHE Ⅱ评分、GCS评分、出血量和部位(皮层、皮层下、基底节、丘脑、小脑、脑干)。根据初始选用的降压药物,分为尼卡地平组和乌拉地尔组。
1.2.2 降压方案根据AHA指南方案,对ICH急性期血压>180 mmHg患者,将收缩压控制在140~180 mmHg。按药品说明书建议,尼卡地平组先予2 mg (Astellas Tokai Co., Ltd,Shizuoka,Japan) iv,然后以1 μg/(kg·min)静脉泵入,根据血压变化调整滴速,最大维持量6 μg/(kg·min),乌拉地尔静脉注射10 mg (Nycomed Deutschland GmbH, Konstanz, Germany),后以4 μg/(kg·min)静脉泵入,根据血压情况调整滴速,最大维持量12 μg/(kg·min)。若单用乌拉地尔或尼卡地平不能使用血压控制平稳,则加用其他静脉降压药物,至少每5 min监测记录1次血压。
1.2.3 观察指标指标包括:① 24 h内血压达标率=24 h内收缩压位于140~180 mmHg的记录次数/24 h内血压记录总次数;② 目标血压到达时间,指自降压开始到血压首次降至180 mmHg以下的时间(min);③ 血压变异系数(blood pressure variability,BPV)=24 h内收缩压的标准差/均数100%;④ 24 h内再出血率,再出血指复查CT提示出血量较初始CT增加至少1/3;⑤ 7 d内脑状态指数(cerebral state index,CSI),使用脑状态监测仪监测(Danmeter, Odense, Denmark),安置电极片5 min后读取数据,CSI在入院时监测1次,此后每天9~10时监测1次;⑥ 28 d病死率;⑦ 不良反应发生率:心动过缓<60次/min、心动过速>100次/min、低血压<90 mmHg。心动过缓、过速及低血压是指患者在使用乌拉地尔或尼卡地平之前并无心动过缓、心速及低血压的情况,而在使用以上两种药物之后的1 h内,出现心动过缓、心速或低血压。
1.3 统计学方法计量资料采用均数±标准差(x±s)表示。使用SPSS 13.0软件进行数据分析。组间计数资料的比较使用独立样本t检验或单因素方差分析,构成比的比较采用χ2检验。7 d内CSI评分的比较采用重复测量方差分析。以P<0.05为差异有统计学意义。
2 结果 2.1 纳入患者一般资料满足纳入标准患者122例,剔除45例血压记录数据不完整的病例后,77例纳入分析,其中尼卡地平组42例,乌拉地尔组35例。
组间基本资料(性别、年龄)、病情严重程度(APACHE Ⅱ、CSI、脑出血量)、个人行为史(吸烟、饮酒)及病史(高血压、高血脂、ICH、脑梗死、房颤)均差异无统计学意义(P>0.05),具有可比性。两组间初始血压及心率差异无统计学意义(P>0.05), 见表 1。
| 指标 | 尼卡地平组(n=42) | 乌拉地尔组(n=35) | t或χ2 | P值 |
| 男性(例,%) | 27(64) | 26(74) | 0.89 | 0.34 |
| 年龄(岁,x±s) | 62±14 | 60±15 | 0.60 | 0.54 |
| APACHE Ⅱ(x±s) | 14±3 | 13±3 | 1.46 | 0.14 |
| GCS (x±s) | 11±3 | 12±2 | -1.68 | 0.09 |
| 脑出血量 (mL,x±s) | 28±22 | 26±20 | 0.41 | 0.68 |
| 吸烟(例,%) | 23(55) | 20(57) | 0.04 | 0.83 |
| 饮酒(例,%) | 26(62) | 24(69) | 0.37 | 0.54 |
| 高血压病(例,%) | 36(86) | 32(91) | 0.18 | 0.67 |
| 高血脂(例,%) | 6(14) | 5(14) | <0.01 | 1.00 |
| 脑梗死(例,%) | 3(7) | 2(6) | <0.01 | 1.00 |
| 脑出血(例,%) | 1(2) | 0(0) | <0.01 | 1.00 |
| 房颤(例,%) | 2(5) | 2(6) | <0.01 | 1.00 |
| 初始血压 (mmHg,x±s) | 210±31 | 203±26 | 1.06 | 0.29 |
| 初始心率 (次/min,x±s) | 86±11 | 83±12 | 1.14 | 0.26 |
尼卡地平组的24 h内血压达标率显著高于乌拉地尔组[(94±5) %和(86±11) %,P<0.01];目标血压到达时间显著快于乌拉地尔组[(35±28) min和(52±37) min,P=0.02];BPV显著小于乌拉地尔组[(11.23±2.38) 和(13.16±3.15),P=0.003]。两组间24 h内再出血率及28 d病死率差异无统计学意义,见表 2。
| 组别 | 24 h内血压达标率(%) | 目标血压到达时间(min) | 血压变异系数 | 24 h内再出血(%) | 28 d死亡(%) |
| 尼卡地平组(n=42) | 94±5 | 35±28 | 11.23±2.38 | 1(2) | 0(0) |
| 乌拉地尔组(n=35) | 86±11 | 52±37 | 13.16±3.15 | 2(6) | 1(3) |
| t或χ2值 | t=4.22 | t=-2.29 | t=-3.06 | χ2=0.03 | - |
| P值 | <0.01 | 0.02 | 0.003 | 0.872 | 0.455 |
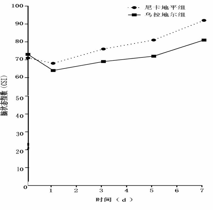
如表 3所示,尼卡地平组与乌拉地尔组在入院时CSI差异无统计学意义[(71±13) 和(73±15),P=0.09];两组在第1天后CSI有一过性下降,之后逐渐回升,第3、5、7天两组间CSI差异均有统计学意义(P=0.04、0.01和0.000 2)。进一步行重复测量方差分析,结果显示,时间效应差异有统计学意义(F=1 291.851,P<0.01),时间与分组存在交互效应(F=59.153,P<0.01),组间的CSI随时间变化趋势不同(F=1 581.115,P<0.01),见图 1。
| 组别 | 入院时 | 第1天 | 第3天 | 第5天 | 第7天 |
| 尼卡地平(n=42) | 71±13 | 68±16 | 76±15 | 81±14 | 92±8 |
| 乌拉地尔(n=35) | 73±15 | 64±18 | 69±14 | 72±16 | 81±16 |
| P值 | 0.09 | 0.31 | 0.04 | 0.01 | 0.000 2 |
| 注:采用重复测量方差分析,时间效应差异有统计学意义(F=1 291.851,P=0.000),时间与分组存在交互效应(F=59.153,P<0.01),组间的CSI随时间变化趋势不同(F=1 581.115,P<0.01) | |||||
|
| 图 1 尼卡地平与乌拉地尔对ICH急性期脑状态指数的影响 Figure 1 Effects of nicardipine versus urapidil on cerebral state index of ICH patients |
|
|
两组间的不良反应发生率差异无统计学意义。尼卡地平组低血压、心动过缓和心动过速发生率分别为0和5.7%(P=0.203)、0和2.9%(P=0.455) 和4.8%和2.9% (P=1.000),见表 4。
| 组别 | 低血压(%) | 心动过缓(%) | 心动过速(%) |
| 尼卡地平(n=42) | 0(0) | 0(0) | 2(4.8) |
| 乌拉地尔(n=35) | 2(5.7) | 1(2.9) | 1(2.9) |
| χ2值 | - | - | 0.00 |
| P值 | 0.203 | 0.455 | 1.000 |
尼卡地平属于非二氢吡啶类钙通道阻滞剂,通过抑制钙离子内流而发挥血管扩张作用,其对血管平滑肌的作用比对心肌的作用强30 000倍,血管选择性明显高于其他钙拮抗剂。乌拉地尔属于肾上腺素能α受体阻滞剂,具有中枢和外周双重作用机制。在外周,可阻断突触后α1受体、抑制儿茶酚胺的缩血管作用,从而降低外周血管阻力和心脏负荷;在中枢,通过兴奋5-羟色胺-1A受体,调整循环中枢的活性,防止因交感反射引起的血压升高及心率加快。两者均是ICU高血压急症最常用的一线静脉用降压药物。本研究通过回顾性分析,比较尼卡地平与乌拉地尔对于ICH急性期降压的24 h内血压达标率、目标血压到达时间、BPV、再出血率、CSI评分、28 d死亡以及不良反应发生率等指标的影响,探讨对比两种降压药对ICH急性期的有效性与安全性。
正常人脑血供占全身的15%~20%,耗氧占25%,脑血管通过复杂的代谢、化学、压力和神经源性调节系统进行脑灌注压调节,以维持稳定的氧供,而在卒中等病理状态下,脑血管自动调节功能受损,造成缺血或过度充血,从而造成继发性的原有疾病恶化[5],超过60%的脑卒中会出现血压升高,85%的ICH急性期血压超过180 mmHg[6],因此,在ICH急性期需要将升高的血压稳定在一定范围内。目前对于ICH急性期的血压控制范围尚存争议。两项前瞻性随机对照试验ATACH和INTERACT[7-8]结果显示,收缩压降到140 mmHg以下与140~180 mmHg以上组对比,对预后的影响差异无统计学意义。因本研究为回顾性研究,故将目标血压定在120~180 mmHg,从而尽可能扩大样本量,提升研究质量。
有研究显示,ICH后再出血和血肿扩大主要发生于90%发生于发病后24 h,而24 h内的血压控制水平是再出血和血肿扩大的最主要的独立危险因素之一,因此,ICH后24 h内的血压控制情况直接影响ICH的预后。本研究采用24 h内血压达标率来衡量血压控制水平,结果显示,两种药物均可有效将血压控制在180 mmHg以下,但尼卡地平比乌拉地尔具有更高的血压达标率(94±5) %和(86±11) %,P<0.01。尼卡地平对ICH急性期24 h内血压达标率与之前的报道一致[3-4, 9-10],这两项研究报道分别为93.5%和92%。尚未见有研究报道乌拉地尔的24 h内血压达标率。两组间24 h血压达标率的差异考虑主要与到达目标血压时间和血压变异有关,且可能直接影响ICH患者的再出血发生率和预后。
研究显示,80%的ICH患者的脑血肿扩大发生在发病后6 h内,因此,发病后快速使血压降至安全范围可能使患者受益。本研究结果显示,与乌拉地尔比较,尼卡地平可使血压更加快速降到180 mmHg以下[(35±28) min和(52±37) min,P=0.02]。一项针对主动脉夹层等疾病的急性期降压方案研究与本研究结果一致[11],尼卡地平与乌拉地尔比较,具有更快的降压效果(中位数18 min vs. 35 min,P=0.024)。
BPV反映血压的平稳性,任添华等[12]研究表明,重症ICH患者24 h内收缩压变异系数与病死率独立相关。本研究显示,尼卡地平组的收缩压变异系数更小,血压控制更平稳,这可能增强ICH患者的临床获益。
尽管尼卡比平在24 h内血压达标率、目标血压到达时间和血压变异上优于乌拉地尔,而两组间的24 h再出血率和28 d病死率差异无统计学意义。可能与以下因素有关:(1) 样本量相对偏小,限制了统计效能;(2) 再出血为一定性指标,不够精准,本研究与其他报道相同,将24 h内再出血定义为复查CT血肿增多超过原血肿1/3,因此血肿虽然增多但却未超过1/3的患者被排除在外;(3) 本组病例脑血肿量偏小,病情严重程度偏轻,总体病死率不高。因此,还需要针对重症病例作进一步研究和分析,以阐明两种药物是否对病死率存在影响。
鉴于再出血为定性指标,本研究分析了另一个间接的定量指标,即CSI,采用脑状态监测仪监测(监测值为0~100连续的整数,指数越高,意识状态越清醒)。近年来的研究表明,CSI与GCS具有良好的相关性,并且具有定量、实时和连续监测的优点,在笔者单位已常规应用多年。本研究通过重复测量方差分析,结果显示,两组CSI均随时间呈现上升和恢复趋势,但尼卡地平组恢复更快更显著(F=1 581.115,P=0.000),如图 1所示。由于尼卡地平本身并不能降低颅内压[13],推测导致这种差异的主要原因是尼卡地平比乌拉地尔可以更显著地减少再出血的发生率、量和继发性脑水肿程度。有研究指出肾上腺素受体阻滞剂类降压药物具有降低脑水肿的程度,并且这种效应与血压控制情况和出血量不相关[14]。因此,针对钙通道阻滞剂(如尼卡地平)究竟对脑水肿的发展有何影响,还需要进一步探索和证实。
安全性方面,两组间心动过缓、心动过速及低血症的不良反应发生率差异无统计学意义。尽管尼卡地平具有潜在的升高心率的作用,但本组病例显示,在6 μg/(kg·min)以下的剂量下,并不会出现严重的不良反应。
综上所述,在ICH急性期降压治疗过程中,尼卡地平的降压速度、血压平稳程度和达标率优于乌拉地尔,从而可能降低了ICH患者的再出血风险,改善病情预后,但还需要进一步前瞻性的研究予以确证。此外,两种静脉用降压药物的安全性方面差异无统计学意义。
| [1] | Clark EG, Watson J, Leemann A, et al. Acute care needs in an Indian emergency department: A retrospective analysis[J]. World J Emerg Med, 2016, 7(3): 191-195. DOI:10.5847/wjem.j.1920-8642.2016.03.005 |
| [2] | 刘桃, 周仙仕, 丁邦晗, 等. 广东省中医院总院急诊科1007例死亡病例分析[J]. 中华急诊医学杂志, 2016, 25(4): 479-485. DOI:10.3760/cma.j.issn.1671-0282.2016.04.017 |
| [3] | Ojaghihaghighi S, Vahdati SS, Mikaeilpour A, et al. Comparison of neurological clinical manifestation in patients with hemorrhagic and ischemic stroke[J]. World J Emerg Med, 2017, 8(1): 34-38. DOI:10.5847/wjem.j.1920-8642.2017.01.006 |
| [4] | 中华医学会神经外科学分会, 中国医师协会急诊医师分会, 国家卫生和计划生育委员会脑卒中筛查与防治工程委员会. 自发性脑出血诊断治疗中国多学科专家共识[J]. 中华急诊医学杂志, 2015, 24(12): 1319-1323. DOI:10.3760/cma.j.issn.1671-0282.2015.12.003 |
| [5] | 施小燕, 李珉. 脑血流自动调节功能与最佳脑灌注压[J]. 中华急诊医学杂志, 2016, 25(12): 1223-1225. DOI:10.3760/cma.j.issn.1671-0282.2016.12.002 |
| [6] | 肖锋, 江利冰, 李辉, 等. 脑科急危重症[J]. 中华急诊医学杂志, 2015, 24(11): 1306-1308. DOI:10.3760/cma.j.issn.1671-0282.2015.11.033 |
| [7] | Qureshi AI, Palesch YY, Barsan WG, et al. Intensive Blood-Pressure Lowering in Patients with Acute Cerebral Hemorrhage[J]. N Engl J Med, 2016, 375(11): 1033-1043. DOI:10.1056/NEJMoa1603460 |
| [8] | Anderson CS, Huang Y, Arima H, et al. Effects of early intensive blood pressure-lowering treatment on the growth of hematoma and perihematomal edema in acute intracerebral hemorrhage: the Intensive Blood Pressure Reduction in Acute Cerebral Haemorrhage Trial (INTERACT)[J]. Stroke, 2010, 41(2): 307-312. DOI:10.1161/STROKEAHA.109.561795 |
| [9] | Ortega-Gutierrez S, Thomas J, Reccius A, et al. Effectiveness and safety of nicardipine and labetalol infusion for blood pressure management in patients with intracerebral and subarachnoid hemorrhage[J]. Neurocrit Care, 2013, 18(1): 13-19. DOI:10.1007/s12028-012-9782-1 |
| [10] | Li Y, Fang W, Tao L, et al. Efficacy and safety of intravenous nimodipine administration for treatment of hypertension in patients with intracerebral hemorrhage[J]. Neuropsychiatr Dis Treat, 2015, 11: 1231-1238. DOI:10.2147/NDT.S76882 |
| [11] | Wu KS, Zhou JC, Li HY, et al. Antihypertensive therapy with nicardipine for patients with aortic disease is associated with more esmolol usage than urapidil[J]. J Thorac Dis, 2014, 6(12): 1765-1771. DOI:10.3978/j.issn.2072-1439.2014.12.22 |
| [12] | 任添华, 杨铁成, 李建国, 等. 重症脑出血患者早期血压变异性对其预后的影响[J]. 首都医科大学学报, 2015, 36(5): 773-777. DOI:10.3969/j.issn.1006-7795.2015.05.021 |
| [13] | Shah QA, Memon MZ, Suri MF, et al. Super-selective intra-arterial magnesium sulfate in combination with nicardipine for the treatment of cerebral vasospasm in patients with subarachnoid hemorrhage[J]. Neurocrit Care, 2009, 11(2): 190-198. DOI:10.1007/s12028-009-9209-9 |
| [14] | Sansing LH, Messe SR, Cucchiara BL, et al. Anti-adrenergic medications and edema development after intracerebral hemorrhage[J]. Neurocrit Care, 2011, 14(3): 395-400. DOI:10.1007/s12028-010-9498-z |
2017, Vol. 26



