中华急诊医学杂志  2017, Vol. 26 Issue (3): 291-296
降钙素原在革兰阴性菌感染脓毒症诊断中的临床价值
闫圣涛, 贾红兵, 杨建萍, 高文, 孙晶, 张山红, 顾承东, 张国强     
100029 北京, 中日友好医院急诊科 (闫圣涛、杨建萍、高文、张山红、顾承东、张国强),检验科 (贾红兵);100028 北京,煤炭总医院急诊科 (孙晶)
摘要: 目的 探讨血清降钙素原 (PCT) 与革兰阴性 (G-) 菌感染脓毒症患者感染部位、病原菌种类的相关性,为抗生素使用优化策略提供参考。 方法 回顾性分析2014年1月至2015年6月于中日友好医院急诊科和ICU确诊为脓毒症、血培养为G-菌且同时进行PCT检测的患者资料,收集血培养当天 (≤24 h) 患者的临床资料,分析PCT值与感染部位、病原菌种类之间的关系。 结果 本研究共纳入标本187份,来自162例患者,发病中位年龄为70岁,序贯性器官衰竭评分 (SOFA) 为4分。不同种类的细菌感染引起PCT升高程度不同,大肠杆菌高于鲍曼不动杆菌和洋葱伯克霍尔德菌 (4.62 ng/mL vs.2.44 ng/mL,4.62 ng/mL vs.0.81 ng/mL;P<0.05)。应用PCT值鉴别诊断大肠杆菌感染与鲍曼不动杆菌感染,其受试者工作特征曲线 (ROC) 下面积为0.61;当PCT的cutoff值为30.32 ng/mL时,其诊断大肠杆菌感染的特异度为94.10%,阳性预测值为90.00%,阳性似然比为4.24。应用PCT值鉴别诊断大肠杆菌感染与洋葱伯克霍尔德菌感染,其ROC曲线下面积为0.66;当PCT的cutoff值为8.01 ng/mL时,其诊断大肠杆菌感染的特异度为85.70%,阳性预测值为93.94%,阳性似然比为3.01;当PCT的cutoff值为47.31 ng/mL时,其诊断特异度和阳性预测值均为100.00%。在感染部位诊断方面,泌尿系统感染引起的PCT值升高程度明显高于肺部感染 (11.58 ng/mL vs.2.07 ng/mL, P<0.05),其ROC曲线下面积为0.69,当PCT的cutoff值为32.11 ng/mL时,其鉴别诊断泌尿系统感染与肺部感染的特异度90.60%,阴性预测值为86.18%,阳性似然比为3.68。 结论 G-菌感染脓毒症患者的PCT值可能与感染部位以及细菌种类相关。
关键词: 降钙素原     革兰阴性菌     感染部位     细菌种类     脓毒症    
Clinical value of serum procalcitonin in diagnosis of sepsis caused by gram negative bacterial infection
Yan Shengtao, Jia Hongbing, Yang Jianping, Gao Wen, Sun Jing, Zhang Shanhong, Gu Chengdong, Zhang Guoqiang     
Emergency Department (Yan ST, Yang JP, Gao W, Zhang SH, Gu CD, Zhang GQ), Department of Laboratory Medicine (Jia HB), China-Japan Friendship Hospital, Beijing 100029, China; Emergency Department, China Meitan General Hospital, Beijing 100028, China (Sun J)
*Corresponding author: Gu Chengdong, E-mail:gcd1220@sina.com; Zhang Guoqiang, E-mail:zhangchong2003@vip.sina.com
Abstract: Objective To investigate the correlation between serum procalcitonin (PCT) levels and infection sites, as well as between PCT and bacterial species in gram negative (G-) bacteria induced sepsis, so as to provide rationale for therapeutic strategy of using antibiotic in sepsis. Methods The data of patients with sepsis admitted in Emergency Department and ICU from January 2014 to June 2015 were retrospectively analyzed. The blood culture of G- bacteria and PCT detection were carried out simultaneously within 24 hours after admission. The clinical data was analyzed to find out the correlation between PCT levels and infection sites, as well as between PCT levels and pathogenic bacterial species. Results A total of 187 specimens (came from 162 patients) were enrolled in the study with a median age of 70 years old and a median sequential organ failure assessment (SOFA) score of 4. PCT levels were found to be associated with bacterial species. PCT level caused by Escherichia coli bacteremia infection was higher than that caused by Acinetobacter baumannii bacteremia and Burkholderia cepacia bacteremia infection (4.62 ng/mL vs. 2.44 ng/mL; 4.62 ng/mL vs. 0.81 ng/mL; P < 0.05).Receiver operating characteristic (ROC) analysis showed an area under the curve (AUC) for PCT was 0.61 to discriminate Escherichia coli infection from Acinetobacter baumannii infection and an AUC was 0.66 to discriminate Escherichia coli infection from Burkholderia cepacia infection. When the cutoff point of PCT was 30.32 ng/mL, it could predict Escherichia coli infection rather than Acinetobacter baumannii infection with 94.10% specificity, 90.00% positive predictive value and positive likelihood ratio for 4.24. When the cutoff point of PCT was 8.01 ng/mL, it could predict Escherichia coli infection rather than Burkholderia cepacia infection with 85.70% specificity, 93.94% positive predictive value, and positive likelihood ratio for 3.01. When PCT cutoff value reached 47.31 ng/mL, the specificity and positive predictive value were both 100.00%. PCT level caused by urinary tract infection was higher than that caused by pulmonary infection (11.58 ng/mL vs. 2.07 ng/mL, P < 0.05), and the AUC was 0.69. When the cutoff point of PCT was 32.11 ng/mL, it could predict Escherichia coli infection rather than Acinetobacter baumannii infection with 90.60% specificity, 86.18% negative predictive value and positive likelihood ratio for 3.68. Conclusions PCT elevation in G- bacteria induced sepsis might be associated with infection sites and bacterial species.
Key words: Procalcitonin     Gram negative bacteria     Infection sites     Bacterial species     Sepsis    

脓毒症的发病率在不断的上升,每年全球新增数百万脓毒症患者,其中超过1/4的患者死亡[1]。生物标志物在脓毒症的早期诊断、病情及预后判断、疗效评估中发挥着重要作用[2]。作为诊断脓毒症的生物标志物之一,PCT的升高与内毒素以及其他炎性介质 (IL-1、IL-6、TNF) 的释放有关[3],因此,革兰阴性 (G-) 菌感染时的PCT值通常更高[4-5]。目前对于PCT在不同感染部位以及不同种类的细菌感染之间的差异的研究甚少。本研究的旨在探讨PCT在血培养阳性的G-菌感染所致脓毒症患者中不同的感染部位、不同种类的细菌感染之间是否存在差异。

1 资料与方法 1.1 一般资料

收集2014年1月至2015年6月于中日友好医院急诊科和ICU被确诊为脓毒症的患者为研究对象。研究对象的纳入标准:(1) 符合2012年脓毒症的诊断标准[1];(2) 血培养结果至少一次为阳性;(3) 进行血培养前未应用抗生素;(4) 与血培养同时进行PCT检测;(5) 培养细菌革兰染色阴性;(6) 年龄≥18岁。排除标准:(1) 有免疫系统疾病,目前正使用糖皮质激素和 (或) 免疫抑制剂治疗;(2) 既往有恶性肿瘤病史。

1.2 研究方法

回顾性收集血培养阳性的G-菌感染的脓毒症患者在进行血培养当天的临床资料,包括生命体征、实验室检查 (血常规、血液生化、凝血功能、PCT、血培养等) 及影像学检查 (胸部X线、CT)。根据感染部位 (肺部、腹部、泌尿系统及其他部位) 和细菌种类进行分组,比较PCT值在不同的感染部位以及细菌种类之间差异是否有统计学意义。PCT采用酶联荧光技术 (bioM’erieux, Marcy l’Etoile, France) 进行检测。以上检测均在中日友好医院检验科完成。

1.3 统计学方法

统计分析采用SPSS 17.0统计分析软件,计量资料符合正态分布采用均数±标准差 (x±s) 表示;计量资料不符合正态分布采用中位数 (四分位数间距)[M, (IOR)]表示; 计数资料采用率或构成比表示。符合正态分布与方差齐性的两组计量资料比较采用两独立样本t检验;不符合正态分布与方差齐性的两组计量资料比较采用非参数Mann-Whitney U检验;成组四格表计数资料符合条件采用Pearsonχ2检验,不符合条件采用Pearson连续校正χ2检验或Fisher确切概率法。通过ROC曲线分析PCT的诊断性能。以P<0.05为差异具有统计学意义。

2 结果 2.1 临床基线资料

共纳入标本187例 (表 1),来自162例患者,发病中位年龄为70岁 (IQR 58-81),男性多于女性男性多于女性 (100例vs.62例);白细胞中位值为10.09×109/L (IQR 6.97-14.65);在危重程度方面,其SOFA评分为4分 (IQR 1-7)。

表 1 一般情况和临床特征 Table 1 Demographics and clinical manifestations of patients
指标结果
男性 (例,%) 100(61.73)
女性 (例,%) 62(38.27)
年龄[岁, M, (IOR)]70(58-81)
APACHE Ⅱ评分[M, (IOR)]2(1-4)
WBC[×109/L, M, (IOR)]10.09(6.97-14.65)
SOFA评分[M, (IOR)]4(1-7)
PLT[×109/L, M, (IOR)]149(89-221)
胆红素[μmol/L, M, (IOR)]12.32(7.82-21.30)
肌酐[mg/dlmL M, (IOR)]85.00(58.00-159.70)
 注:APACHE Ⅱ为急性生理学和慢性健康状况评分;SOFA为序贯器官衰竭评估;WBC为白细胞;PLT为血小板
2.2 不同种类G-菌感染PCT值的比较

在比较不同种类细菌感染引起PCT值升高方面 (表 2图 1),本研究共纳入五种常见的细菌:大肠杆菌、鲍曼不动杆菌、肺炎克雷伯杆菌、洋葱伯克霍尔德菌、铜绿假单胞菌,分别对其PCT值进行两两比较。其中,大肠杆菌感染的PCT值高于鲍曼不动杆菌感染和洋葱伯克霍尔德菌感染的PCT值 (4.62 ng/mL vs. 2.44 ng/mL;4.62 ng/mL vs. 0.81 ng/mL;P<0.05),其他细菌感染引起的PCT值之间比较差异无统计学意义。应用PCT值鉴别诊断大肠杆菌感染与鲍曼不动杆菌感染,其ROC曲线下面积为0.61(95%CI:0.49~0.72)(图 2);当PCT的cutoff值为30.32 ng/mL时,其鉴别诊断两者感染的特异度为94.10%,阳性预测值为90.00%,阳性似然比为4.24(表 3)。应用PCT值鉴别诊断大肠杆菌感染与洋葱伯克霍尔德菌感染,其ROC曲线下面积为0.66(95%CI:0.52~0.81)(图 2);当PCT的cutoff值为8.01 ng/mL时,其鉴别诊断两者感染的特异度为85.70%,阳性预测值为93.94%,阳性似然比为3.01,当PCT的cutoff值为47.31 ng/mL时,其诊断特异度和阳性预测值均为100.00%(表 4)。

表 2 脓毒症患者感染细菌种类和相应的PCT值 (≥2例) 及常见G-菌PCT值间的比较 Table 2 PCT median values corresponding to pathogens isolated from two or more patients with monomicrobial infection and comparison of PCT values between different G- bacteria
细菌种类样本量PCT值[ng/mL M, (IOR)]
大肠杆菌724.62(0.84,27.09)
鲍曼不动杆菌342.44(0.17,11.19)a
肺炎克雷伯杆菌253.45(0.74,20.36)
洋葱伯克霍尔德菌140.81(0.24,4.57)b
铜绿假单胞菌112.29(1.23,28.44)
阴沟肠杆菌71.50(0.95,28.50)
产气肠杆菌290.97(0.06,181.87)
产酸克雷伯杆菌28.32(1.57,15.06)
鲁氏不动杆菌20.45(0.29,0.61)
奇异变形杆菌20.24(0.22,0.25)
黏质沙雷氏菌22.13(1.92,2.34)
嗜麦芽窄食单胞菌311.75(9.54,16.95)
嗜水气单胞菌22.54(0.61,4.47)
 注:与大肠杆菌比较,aP=0.037(Z=-2.081),bP=0.022(Z=-2.289)
1大肠杆菌,2鲍曼不动杆菌,3肺炎克雷伯杆菌,4洋葱伯克霍尔德菌,5铜绿假单胞菌,6阴沟肠杆菌 图 1 六种常见G-细菌感染的PCT值比较 Figure 1 Comparison of PCT median values according to blood culture results
图 2 PCT在鉴别诊断大肠杆菌感染与鲍曼不动杆菌感染 (曲线1)、大肠杆菌感染与洋葱伯克霍尔德菌感染 (曲线2) 时的ROC曲线 Figure 2 Receiver operating characteristic (ROC) curves of PCT in differentiating Escherichia coli infection from Acinetobacter baumanni infection (curve 1) and Escherichia coli infection from Burkholderia cepacia infection (curve 2) in patients with sepsis
表 3 PCT鉴别诊断血培养阳性脓毒症患者大肠杆菌与鲍曼不动杆菌感染的准确性 Table 3 Diagnostic accuracy of serum procalcitonin for the discrimination between Escherichia coli and Acinetobacter baumanni in septic patients with positive blood cultures
PCT值
(ng/mL)
敏感度
(%)
特异度
(%)
阳性预测值
(%)
阴性预测值
(%)
阳性
似然比
阴性
似然比
0.1490.3017.6069.8946.151.100.55
0.5380.6038.2073.4248.151.300.51
1.0368.1044.1072.0639.471.220.72
3.0856.9055.9073.2138.001.290.77
10.6738.9073.5075.6836.231.470.83
30.3225.0094.1090.0037.214.240.80
32.1122.2097.1094.1237.087.660.80
表 4 PCT鉴别诊断血培养阳性脓毒症患者大肠杆菌与洋葱伯克霍尔德菌感染的准确性 Table 4 Diagnostic accuracy of serum procalcitonin for the discrimination between Escherichia coli and Burkholderiacepacia in septic patients with positive blood cultures
PCT值
(ng/mL)
敏感度
(%)
特异度
(%)
阳性预测值
(%)
阴性预测值
(%)
阳性
似然比
阴性
似然比
0.1590.3014.3084.4222.221.050.68
0.5380.6050.0089.2333.331.610.39
1.3365.3042.9088.6824.241.520.61
3.8654.2071.4090.7023.261.900.64
8.0143.1085.7093.9422.643.010.66
22.9927.8092.9095.2420.003.920.78
47.3116.70100.00100.0018.92--
2.3 不同感染部位PCT比较

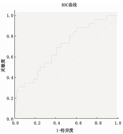
在不同的感染部位引起PCT升高程度方面,泌尿系统感染明显高于肺部感染 (11.58 ng/mL vs. 2.07 ng/mL, P<0.05);而肺部感染与腹腔感染之间、泌尿系统感染与腹腔感染之间的差异无统计学意义 (表 5图 3)。应用PCT值鉴别诊断泌尿系统感染与肺部感染,ROC曲线下面积为0.69(95%CI:0.58~0.80)(图 4)。当PCT的cutoff值为32.11 ng/mL时,其鉴别诊断两者感染的特异度为90.60%,阴性预测值为86.18%,阳性似然比为3.68(表 6)。

表 5 不同感染部位PCT值之间的比较 Table 5 Comparison of PCT values between different infection sites
感染部位例数PCT值[ng/mL M, (IOR)]
肺部1172.07(0.32,12.75)
腹部362.43(0.57,26.94)
泌尿系统2611.58(1.69,97.22)a
其他部位82.62(0.55,10.67)
 注:其他部位感染包括导管相关感染、软组织感染、感染性心内膜炎、盆腔感染;与肺部感染比较aP=0.002(Z=-3.054)
表 6 PCT鉴别诊断血培养阳性脓毒症患者泌尿系统感染与肺部感染的准确性 Table 6 Diagnostic accuracy of serum procalcitonin for the discrimination between urinary infection and pulmonary infection in septic patients with positive blood cultures
PCT值
(ng/mL)
敏感度
(%)
特异度
(%)
阳性预测值
(%)
阴性预测值
(%)
阳性
似然比
阴性
似然比
0.3692.3027.4022.0294.121.270.28
0.9988.5039.3024.4793.881.460.29
1.3780.8042.7023.8690.911.410.45
3.0269.2054.7025.3588.891.530.56
10.4250.0070.9027.6686.461.720.70
32.1134.6090.6045.0086.183.680.72
47.3130.8096.6066.6786.269.060.72
1肺部感染,2腹腔感染,3泌尿系统感染,4其他部位感染 (导管相关感染、软组织感染、感染性心内膜炎;盆腔感染) 图 3 常见部位感染PCT值的比较 Figure 3 Comparison of PCT median values according to infection sites
图 4 PCT在鉴别诊断肺部感染与泌尿系统感染时的ROC曲线 Figure 4 Receiver Operating Characteristic (ROC) curve of PCT in differentiating pulmonary infection from urinary infection in patients with sepsis
3 讨论

正常情况下PCT主要由甲状腺C细胞产生,并在细胞内经过特异性蛋白水解成降钙素,健康人的血浆PCT水平低于0.05 ng/mL。在微生物感染和脓毒症的情况下,机体所有组织和不同类型的细胞 (脾脏、外周血单核细胞、白细胞、肝脏、肾脏、肌肉、脂肪等) 持续释放[6],2~6 h就能在循环中检测到PCT,峰值在12~48 h出现[7],半衰期大约为20~35 h[8]

本研究发现,不同种类的G-菌感染所导致的PCT升高程度不完全相同,相比较于鲍曼不动杆菌和伯克霍尔德菌,大肠杆菌感染引起PCT升高更显著。Leli等[9]也发现,相较于非发酵菌,肠杆菌属引起PCT升高的程度更高。Elson等[10]在体外实验中发现,当肠杆菌属 (大肠杆菌和肺炎克雷伯菌) 的浓度为104个/mL时,其导致IL-6升高的程度大于铜绿假单胞菌,在浓度为106个/mL时,而IL-6是PCT产生的诱导剂之一[6]。ROC曲线显示,当PCT<30.32 ng/mL时,不能鉴别诊断大肠杆菌感染还是鲍曼不动杆菌感染;当PCT≥30.32 ng/mL时,则高度提示为大肠杆菌感染。当根据PCT值鉴别诊断大肠杆菌与伯克霍尔德菌感染时,PCT≥8.01 ng/mL高度提示大肠杆菌感染可能;当PCT≥47.31 ng/mL时,其诊断为大肠杆菌感染的特异度为100%。

在G-菌感染的脓毒症中,不同部位的感染引起PCT升高的程度亦有所差别。在常见的感染部位 (肺部感染、腹腔感染、泌尿系统感染) 的比较中,泌尿系统感染引起的PCT值高于肺部感染,这与国外的研究[11]相同。分析其原因,考虑有以下两方面:(1) 不同部位的感染其致病菌的种类不同。本研究中,泌尿系统感染的细菌以大肠杆菌为主 (23例,88.46%),而肺部感染中的细菌以非发酵菌为主 (大肠杆菌30例,25.64%;鲍曼不动杆菌30例,25.64%;肺炎克雷伯杆菌16例,13.68%;洋葱伯克霍尔德菌14例,11.96%;铜绿假单胞菌7例,5.98%)。(2) 不同部位的感染其细菌入血的途径不同。在临床上,泌尿系统感染尤其是上泌尿系统感染的患者反复出现高热、寒战,与感染致病菌的直接入血以及反复入血有关,而PCT水平与入血细菌的量相关。ROC曲线显示,相比较于肺部感染,当PCT≤0.99 ng/mL时,泌尿系统感染的可能性低;当PCT≥32.11 ng/mL时,则高度提示为泌尿系统感染。

本研究的不足之处:(1) 本研究是回顾性研究,且研究对象为选择性的;(2) PCT的诊断性能研究只通过血培养结果判断,没有使用其他能够增加阳性结果的识别方法, 比如实时聚合酶链反应 (PCR)[12]

参考文献
[1] Dellinger RP, Levy MM, Rhodes A, et al. Surviving sepsis campaign: international guidelines for management of severe sepsis and septic shock, 2012[J]. Intensive Care Med, 2013, 39(2): 165-228. DOI:10.1007/s00134-012-2769-8
[2] Pierrakos C, Vincent JL. Sepsis biomarkers: a review[J]. Crit Care, 2010, 14(1): R15. DOI:10.1186/cc8872
[3] Gogos CA, Drosou E, Bassaris HP, et al. Pro-versus anti-inflammatory cytokine profile in patients with severe sepsis: a marker for prognosis and future therapeutic options[J]. J Infect Dis, 2000, 181(1): 176-180. DOI:10.1086/315214
[4] Guo SY, Zhou Y, Hu QF, et al. Procalcitonin is a marker of Gram-negative bacteremia in patients with sepsis[J]. Am J Med Sci, 2015, 349(6): 499-504. DOI:10.1097/MAJ.0000000000000477
[5] 陈炜, 牛素平, 臧学峰, 等. 早期联合测定炎症因子对不同病原菌血流感染的鉴别诊断价值[J]. 中华急诊医学杂志, 2015, 24(4): 369-373.
[6] Müller B, White JC, Nylén ES, et al. Ubiquitous expression of the calcitonin-I gene in multiple tissues in response to sepsis[J]. J Clin Endocrinol Metab, 2001, 86(1): 396-404. DOI:10.1210/jcem.86.1.7089
[7] Dandona P, Nix D, Wilson MF, et al. Procalcitonin increase after endotoxin injection in normal subjects[J]. J Clin Endocrinol Metab, 1994, 79(6): 1605-1608. DOI:10.1210/jcem.79.6.7989463
[8] Brunkhorst FM, Heinz U, Forycki ZF. Kinetics of procalcitonin in iatrogenic sepsis[J]. Intensive Care Med, 1998, 24(8): 888-889. DOI:10.1007/s001340050683
[9] Leli C, Ferranti M, Moretti A, et al. Procalcitonin levels in gram-positive, gram-negative, and fungal bloodstream infections[J]. Dis Markers, 2015, 2015: 701480. DOI:10.1155/2015/701480
[10] Elson G, Dunn-Siegrist I, Daubeuf B, et al. Contribution of toll-like receptors to the innate immune response to Gram-negative and Gram-positive bacteria[J]. Blood, 2007, 109(4): 1574-1583. DOI:10.1182/blood-2006-06-032961
[11] Friend KE, Burgess JN, Britt RC, et al. Procalcitonin elevation suggests a septic source[J]. Am Surg, 2014, 80(9): 906-909.
[12] Chang SS, Hsieh WH, Liu TS, et al. Multiplex PCR system for rapid detection of pathogens in patients with presumed sepsis-a system review and meta-analysis[J]. PLoS One, 2013, 8(5): E62323. DOI:10.1371/journal.pone.0062323