恢复缺血脑组织的血流灌注可以加重组织细胞的损害,不可避免地引发一系列严重的再灌注损伤(ischemia-reperfusion injury,IRI)[1]。其中因氧代谢紊乱而导致的过度氧化应激则成为再灌注损伤的重要原因。大脑具有独特的能量代谢特征,对于缺血缺氧都极为敏感和易损。因此,脑复苏的结局直接影响心肺复苏的成败。截止2015年最新版的心肺复苏指南仍缺少清晰明确的复苏后氧干预策略,以往为数不多的临床和基础研究并没有指明复苏后高级生命支持与氧暴露浓度间的必然联系。本研究利用脑立体定位微透析技术动态监测长爪沙鼠全脑缺血-再灌注模型海马CA1区羟自由基水平变化,将为制定复苏后的氧治疗策略提供理论依据。
1 材料与方法 1.1 建立全脑缺血-再灌注动物模型及脑立体定位微透析普通级雄性长爪沙鼠,体质量70~95 g,由首都医科大学实验动物中心提供。10%水合氯醛(体质量0.3 mL/100 g)腹腔注射麻醉,脑立体定位仪确定右侧海马CA1坐标(前囟后2 mm,旁开2 mm,硬脑膜下2.5 mm),钻取直径2 mm骨窗,垂直插入微透析导轨(CMA公司,瑞典),骨水泥固定导轨及覆盖颅骨创面。术后恢复1 d,观察实验动物无行为、功能异常。再次固定麻醉,CMA/12(滤过膜长度 3 mm,OD 500 nm,截断值 20 000 Da)探针置换探针导轨(稳定1 h),颈前正中切皮,分离双侧颈总动脉,无创微动脉(1 cm)夹阻断10 min后再次开放,建立全脑缺血-再灌注模型。经口气管插管机械通气,标准定容模式,VT 2.5 mL,F 70次/min,I∶ E=1∶ 1,FIO2:30%;随机数字法分2组并调整FIO2:常氧治疗组(n=8,NO组,FIO2:30% 2 h)和高氧治疗组(n=8,HO组,FIO2:100% 2 h)。分别于再灌注前后股动脉采血行血气分析;连接CMA微透析系统,含水杨酸钠(5 mmol/L)人工脑脊液连续灌注(20 μL/min),间隔10 min连续采样共13次。实验完毕取脑组织,解剖证实探针植入位置(海马CA1区,位置不正确者弃用)。见图 1。
|
| 图 1 实验流程图 Fig. 1 Flow chart of experiment |
使用高效液相色谱仪(Model 510 Waters)及L-ECD-6A电化学检测器(Shimadzu Corp)。色谱柱(ODS-C18 10 μm 250 mm×4.6 mm);流动相:0.03 mol/L乙酸,0.03 mol/L柠檬酸,10% 甲醇,以纯水为溶剂。
1.2.2 工作电压的选择2,3-DHBA和2,5-DHBA可在+0.70 V处产生最大电流和最小的背景噪音,但水杨酸钠在+0.70 V处却无电流产生,只有在+1.0 V处才能达到最大信噪比。因此水杨酸钠保留时间较DHBA长,故将测定电压选定为+0.70 V,此时可基本分离2,3-DHBA和2,5-DHBA,同时可避免因水杨酸钠出峰时间过长而影响测定效率,设定流速为1.0 mL/min,其中2,5-DHBA和2,3-DHBA的分离峰分别在8.5 min和17.5 min。如图 2。
|
| 图 2 2,3-DHBA和2,5-DHBA的标准色谱图 Fig. 2 The standard chromatogram of 2,3-DHBA and 2,5-DHBA |
将再灌注前样本均数作为基础值(baseline value),各检测值相对基础值的百分数作为统计数据,计量资料以均数±标准差(x±s)表示,并绘制曲线图;组间比较采用重复测量资料的方差分析(ANOVA),应用SPSS14.0软件进行数据统计。
2 结果 2.1 动脉血气分析分别于再灌注前10 min、再灌注后60 min、120 min采集股动脉血样(50 μL/次),应用实验血气分析仪 (Radiometer-Copenhagen ABL30)进行血气分析,比较各组再灌注前后pH值、PO2、PCO2 (P<0.01)。见表 1。
| 指标 | 常压常氧 (NO) | 常压高氧 (HO) | |||||
| 再灌注前10 min | 60 min | 120 min | 再灌注前10 min | 60 min | 120 min | ||
| pH | 7.43±0.03 | 7.40±0.02 | 7.39±0.02 | 7.41±0.01 | 7.43±0.01 | 7.39±0.02 | |
| PO2 (mmHg) | 85.5±2.9 | 88.1±4.2 | 92.4±5.0 | 91.9±1.9 | 396.6±8.9a | 419.3±7.7a | |
| PCO2 (mmHg) | 39.3±3.0 | 36.3±2.3 | 37.0±4.1 | 38.9±2.7 | 41.8±2.4 | 39.1±4.8 | |
| 注:1 mmHg=0.133 kPa;aP<0.01 | |||||||
相同色谱条件下,2,3-DHBA和2,5-DHBA标准品含量在1.0~4.0 ng/μL 之间与峰高线性关系良好。见图 3。
|
| 图 3 HPLC-ECD外标法检测2,3-DHBA和2,5-DHBA线性浓度范围 Fig. 3 The linear concentration range of 2,3-DHBA and 2,5-DHBA |
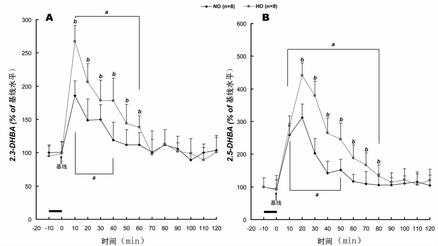
以0 min点(再灌注开始)检测水平作为基础值,各采样时间点水平与基础值比值作为统计研究对象。结果显示,再灌注早期阶段(NO组:10~50 min,HO组10~80 min)2,3-DHBA(A)及2,5-DHBA(B)水平显著高于基础水平 (P<0.05);且HO组较NO组峰值更高(P<0.05),维持时间也相对更长。见图 4。
|
| 与基础值比较,aP< 0.05;与常氧治疗组比较,bP< 0.05;黑粗线表示全脑缺血期 图 4 海马CA1区微透析液中2,3-DHBA (A)和2,5-DHBA (B)表达水平 Fig. 4 Levels of 2,3-DHBA (A) and 2,5-DHBA (B) in microdialysates from the hippocampal CA1 region |
目前国际上针对心肺复苏还没有清晰明确的氧治疗策略,为数不多的基础研究成果提示高浓度吸氧可能与心肺复苏预后不良有关[2, 3, 4]。鉴于上述研究结论,2010年国际复苏联络委员会和美国心脏协会、欧洲复苏委员会均提出了新的建议[5, 6],既避免复苏再灌注无差别地应用高浓度氧而加重组织细胞损害,也不要一味地降低供氧使得缺血缺氧损伤持续存在,这样就提出了“控制性氧合” (controlled re-oxygenation ) 的概念[7]。指南中建议以外周动脉血氧饱和度或血气为监测指标,维持PaO2 94%~98%的最低水平,以避免潜在的氧毒性。然而笔者认为,高的吸入氧体积分数并不一定意味着高的氧输送,在组织缺血-再灌注这一复杂的病理生理过程之中,低灌注状况持续存在,以往都试图提高吸入氧体积分数提升血氧分压水平来改善再灌注后的氧输送。那么,如果可以精确评估再灌注氧化应激损伤水平,将为复苏后氧治疗策略提供更为可靠的理论依据。
长爪沙鼠(meriones unguiculatus)又称蒙古沙鼠(mongolian gerbil),主要分布于我国东北、内蒙古及毗邻俄罗斯等荒漠草原地带。具有脑动脉willis环高度缺失的解剖学特征,通过结扎双侧颈总动脉(BCAO)即可造成全脑缺血动物模型,再开放则迅速恢复血流,是建立全脑缺血-再灌注的理想动物模型[8, 9]。本实验采用首都医科大学实验动物中心培育的脑缺血高发群长爪沙鼠,其全脑缺血模型成模率可达80%以上。长爪沙鼠全脑缺血-再灌注模型比较心肺复苏模型,在研究氧代谢与脑复苏关系方面更有优势,可以避免心肺复苏后体循环的不稳定状况造成对脑血液灌流的不确定影响,进而影响对脑组织氧输送的量化判断[9]。
氧化应激在缺血-再灌注损伤机制中占有重要地位。脑对于活性氧(ROS)具有极高的敏感度,原因在于大脑特殊的生化和生理特性:含有大量不饱和脂肪酸,可直接与自由基发生作用;自由基防御系统不完善,参与清除自由基的酶类或其他物质如超氧化物歧化酶(SOD)、谷胱甘肽过氧化物酶(GPX)、过氧化氢酶(CAT)和维生素E等含量较少。此外,脑内特定区域金属离子(如Fe2+离子)含量较高,可加速羟自由基(·OH)的生成。当某些因素诱发自由基大量产生时,远远超过细胞自身的抗氧化能力,就可以导致细胞内大分子损伤,进而引起细胞受损、死亡或凋亡。ROS中·OH的氧化活性最强,危害性也就最为突出,但是其半衰期极其短暂,仅为10-9s,体内直接测量·OH几乎没有可能。目前检测自由基的方法和技术主要有分光光度法、化学发光法、色谱技术和电子自旋共振技术等[10]。本研究氧化应激动态变化,既要准确对氧自由基定量检测,还必须减少对生物体的不利干扰,力求达到动态、在体监测的目的。Chiueh等[11]首次将微透析技术与色谱技术(羟自由基捕获)结合来检测鼠脑尾状核内羟自由基,为动态、在体研究氧自由基提供了一个非常有效的方法。
水杨酸(salicylic acid,SA)可与·OH迅速反应生成羟基水杨酸(二羟基苯甲酸,DHBAs),主要包括:2,3-二羟基苯甲酸(2,3-DHBA) 和2,5-二羟基苯甲酸(2,5-DHBA),其中2,5-DHBA又可以由P450酶催化内源性产生,但有研究表明脑内P450酶系统缺乏,2,5-DHBA可以作为可靠的神经系统内检测指标[12, 13]。SA捕获·OH反应迅速、产物性质稳定,可通过高效液相色谱-电化学方法(HPLC-ECD)精确检测。
本研究发现,长爪沙鼠全脑缺血模型再灌注早期海马CA1区发生爆发性的·OH生成,其峰值出现在再灌注的10~20 min(其中2,5-DHBA峰出现稍晚,但峰值更高,且维持时间更长);通过对微透析液中2,3-DHBA及2,5-DHBA表达水平进行动态连续监测,笔者发现再灌注早期阶段纯氧供氧可以显著地增加羟自由基生成的强度,表现为羟自由基峰值水平显著增高且持续时间明显延长,能够达到60~80 min。因此得出结论,全脑缺血-再灌注早期阶段羟自由基的爆发性生成是依赖于氧暴露浓度的病理生理学过程。
| [1] | Nolan JP, Soar J. Postresuscitation care: entering a new era[J]. Curr Opin Crit Care,2010,16(16): 216-222.DOI: 10.1097/MCC.0b013e3283383dca. |
| [2] | Brucken A, Kaab AB, Kottmann K, et al. Reducing the duration of 100% oxygen ventilation in the early reperfusion period after cardiopulmonary resuscitation decreases striatal brain damage [J]. Resuscitation,2010, 81(12): 1698-1703.DOI: 10.1016/j.resuscitation.2010.06.027. |
| [3] | Vereczki V, Martin E, Rosenthal RE, et al. Normoxic resuscitation after cardiac arrest protects against hippocampal oxidative stress, metabolic dysfunction, and neuronal death [J]. J Cereb Blood Flow Metab,2006, 26(6):821-835.DOI: 10.1038/sj.jcbfm.9600234. |
| [4] | Richards EM, Fiskum G, Rosenthal RE, et al. Hyperoxic reperfusion after global ischemia decreases hippocampal energy metabolism [J]. Stroke,2007,38(5): 1578-1584.DOI: 10.1161/STROKEAHA.106.473967. |
| [5] | Morrison LJ, Deakin CD, Morley PT, et al. Advanced life support chapter collaborators. Part 8: advanced life support: 2010 International Consensus on Cardiopulmonary Resuscitation and Emergency Cardiovascular Care Science with Treatment Recommendations [J]. Circulation,2010,122 (Suppl 2): S345-421. |
| [6] | Deakin CD, Nolan JP, Soar J, et al. European Resuscitation Council Guidelines for Resuscitation 2010 Section 4. Adult advanced life support [J]. Resuscitation,2010,81:1305-1352. |
| [7] | 王岩,赵敏. 心肺复苏氧治疗的研究进展 [J]. 中国急救医学,2013, 33(3):278-280.DOI:10.3969/j.issn.1002-1949.2013.3.023. Wang Y, Zhao M. Advances in oxygen therapy after cardiopulmonary resuscitation [J]. Chin J Crit Care Med,2013,33(3):278-280. |
| [8] | 李长龙,杜小燕,陈振文. 长爪沙鼠资源开发利用进展 [J]. 中国实验动物学报,2014,22(6) :106-109,113. DOI: 10. 3969/j.issn.1005-4847. 2014. 06. 020.Li CL, Du XY,Chen ZW. Advances in development and application of Mongolian gerbil resource [J]. Acta Laboratorium Animalis Scientia Sinica,2014,22(6): 106-109, 113. |
| [9] | O'Neill MJ, Clemens JA. Rodent models of focal cerebral ischemia [J]. Curr Protoc Neurosci,2001,Chapter 9:Unit 9.6. DOI:10.1002/0471142301.ns0906s12. |
| [10] | Tarpey MM,Wink DA,Grisham MB. Methods for detection of reactive metabolites of oxygen and nitrogen: in vitro and in vivo considerations [J]. Am J Physiol Regul Integr Comp Physiol,2004,286(3): R431-444.DOI: 10.1152/ajpregu.00361. 2003. |
| [11] | Chiueh CC, Krishna G, Tulsi P, et al. Intracranial microdialysis of salicylic acid to detect hydroxyl radical generation through dopamine auto oxidation in the caudate nucleus: effects of MPP+ [J]. Free Radical Biol Med,1992,13(5): 581-583.DOI: 10.1016/0891-5849(92)90151-6. |
| [12] | Kim JW, Tchernyshyov I, Semenza GL, et al. HIF-1-mediated expression of pyruvate dehydrogenase kinase: a metabolic switch required for cellular adaptation to hypoxia [J]. Cell Metab,2006,3(3):177-185.DOI: 10.1016/j.cmet.2006.02.002. |
| [13] | Hara S, Mizukami H, Kuriiwa F, et al. Hydroxyl radical generation dependent on extracellular ascorbate in rat striatum, as determined by microdialysis[J]. Toxicology,2009,258(1):10-16.DOI:10.1016/j.tox.2008.12.025. |
2016, Vol. 25


