中华急诊医学杂志  2016, Vol. 25 Issue (1): 88-89
超敏C反应蛋白在预测药物治疗急性阑尾炎疗效中的作用
陈军, 范国峰     
200003 上海,第二军医大学第二附属医院(上海长征医院)普外四科(陈军);
210008 南京,南京大学医学院附属鼓楼医院急诊中心(范国峰)
Role of hypersensitive c-reactive protein in predicting the curative effect of acute appendicitis patients treated with drugs
Chen Jun, Fan Guofeng     
The fourth Department of General Surgery,Shanghai Changzheng Hospital,Shanghai 200003,China(Chen J);
Emergency Center,Nanjing Drum Tower Hospital the Affiliated Hospital of Nanjing University Medical School,Nanjing 210008,China(Fan GF)
Corresponding author: Fan Guofeng, Email: fanguofeng98@163.com

急性阑尾炎是普通外科和急诊科最常见的急腹症之一,毫无疑问,急性阑尾炎的一线治疗仍是阑尾切除术。但是近期临床研究提示,药物治疗无并发症的单纯性阑尾炎可能是安全有效的,同时具有并发症少、费用低等优点[1, 2]。本临床研究进一步探讨抗生素药物治疗对急性阑尾炎的疗效,明确hs-CRP预测药物治疗失败的最佳截断值。现将研究结果报道如下。

1 资料与方法 1.1 一般资料

年龄大于18岁,临床疑似急性阑尾炎患者;患者临床评估采用改良Alvarado评分(modified alvarado score,MAS) [3],MAS≥6分的患者,应用腹部超声或CT进一步明确诊断。腹部超声或CT诊断急性阑尾炎要点:阑尾周围炎症性改变,阑尾直径大于6 mm,阑尾壁增厚大于3 mm。对于明确诊断为急性阑尾炎患者,告知药物治疗方案并获得知情同意。排除标准:年龄小于18岁,妊娠患者,临床疑似阑尾炎但MAS评分< 6分,MAS评分≥6分但影像学检查结果不支持急性阑尾炎诊断,影像学检查提示为复杂性阑尾炎如腹膜炎、阑尾周围肿块或脓肿形成,患者拒绝接受药物治疗。

1.2 临床分组

入选患者均在急诊留观室接受药物治疗,根据药物治疗结果,分为治疗成功组(组1)和治疗失败组(组2),动态观察记录临床情况和炎症指标白细胞计数(WBC)和hs-CRP值。

1.3 治疗方法

药物治疗具体方法:禁食禁水,补充水电解质及给予抗生素治疗:环丙沙星 200 mg/100 mL 静滴 2次/ d,奥硝唑 500 mg/100 mL 静滴 2次/ d(参照卫生部《抗菌药物临床应用指导原则》)。密切观察腹部体征、每天监测WBC和hs-CRP;如果腹部疼痛不缓解、腹部局部体征加重,进入治疗失败组(组2),急诊行阑尾切除术;如果腹部疼痛缓解、腹部局部体征保持稳定,进入治疗成功组(组1)患者开始进水,逐渐过渡到进食,观察48~72 h,复查腹部超声或CT检查后出院。出院后继续口服环丙沙星 500 mg 2次/d,奥硝唑分散片 500 mg 2次/d,持续7 d。出院后1周和1个月复诊,记录患者腹痛情况、腹部体征及检测WBC和CRP水平,复查腹部彩超或CT。出院后6个月和12个月电话随访。出院后患者再次出现急性阑尾炎临床表现、实验室检查和影像学检查表现,考虑阑尾炎复发,有手术指征则行阑尾切除术,暂无急诊手术指征,经患者知情同意后继续行药物治疗。

1.4 统计学方法

应用SPSS 19.0软件进行统计学分析,组间比较采用独立样本t检验,组内治疗前后比较采用自身配对t检验,以P< 0.05为差异有统计学意义。ROC分析评估预测药物治疗失败的hs-CRP值,当有显著意义的hs-CRP截点值时,计算其敏感度和特异度。

2 结果 2.1 两组患者的基本情况

2012年1月至2013年10月共有226例患者临床诊断急性阑尾炎,符合入选标准并知情同意接受药物治疗的患者共185例,其中男性85例,女性100例,平均年龄30.8岁。组1共有160例患者,年龄(31.1±13.1)岁,女性占56.9%(91/160);组2共有25例,年龄(29.5±5.9)岁,女性占36%。两组年龄及性别差异无统计学意义(P>0.05)。组1失访2例,组2失访1例,未纳入统计分析,失访率1.62%。

2.2 两组患者的治疗情况

组1患者经药物治疗后临床症状缓解,平均留观时间 2.32 d,治疗成功率86.5%(160/185);随访期间有15例患者再次发作急性阑尾炎,复发率 9.4%(15/160),根据入选标准建议其再次行药物治疗,但9例患者要求直接性阑尾切除术,其余6例经药物治疗后病情好转。组2患者药物治疗后临床表现不缓解或加重,急诊行阑尾切除术,术中阑尾情况及术后病理均证实为急性阑尾炎,其中1例患者阑尾周围脓肿形成,行术后引流。急诊平均留观时间2.14 d。

2.3 两组患者炎症指标变化情况

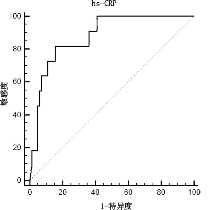
治疗前两组患者WBC和CRP水平差异无统计学意义(P > 0.05);药物治疗后患者出院前或手术前两组WBC均降至正常,且差异无统计学意义 (P>0.05),但组2患者hs-CRP值较组1明显升高,差异有统计学意义(P< 0.01),见表 1。进一步行ROC曲线分析,提示预测药物治疗急性阑尾炎效果不佳的hs-CRP最佳截点值为80.5 mg/L,其敏感度为81.8%,特异度为84.3%(95%CI:0.80~0.94,P< 0.01),见图 1

表 1 两组患者炎症指标变化情况
组别治疗前治疗后
WBC(109/L)hs-CRP(mg/L) WBC(109/L)hs-CRP(mg/L)
组112.34±5.2143.15±48.618.72±2.1234.11±41.51
组213.26±2.2537.38±30.459.15±0.94113.62±53.28a

注:aP< 0.05

图 1 hs-CRP预测药物治疗急性阑尾炎失败的ROC曲线
3 讨论

急性阑尾炎是急诊科常见的急腹症之一,而阑尾切除术常是普外科会诊建议的标准治疗。但近年来临床研究表明,急性阑尾炎可能可以像其他腹腔内感染一样行抗感染药物治疗[1, 2, 4]。一项包括四个随机对照试验共900例患者的荟萃分析证实,药物治疗作为急性阑尾炎的初始治疗,是安全有效的,较阑尾切除术的并发症低,但住院时间和复发率两者差异无统计学意义[5]。药物治疗初始成功率为82%~95%,但较高的复发率仍是主要问题,约10%~28%[5]。本研究药物治疗后复发率为9.3%,低于上述文献报道;需强调的是,初始药物治疗具有费用低、并发症少等优点,但目前缺少复发病例额外病死率的数据。

Vons等[6]研究发现,阑尾切除手术术中发现18%的患者合并有阑尾粪石,其中出现并发症的阑尾炎患者,如阑尾穿孔、腹膜炎、切口感染等,40%患者有阑尾粪石。而且该研究药物治疗组16%的患者有阑尾粪石,其中31%药物治疗效果不佳,提示阑尾粪石与药物治疗失败、并发症发生具有一定的相关性。本研究中接受腹部CT检查的患者,有6例患者有阑尾粪石,但药物治疗后均有效缓解。因此,存在阑尾粪石并不一定是药物治疗失败的原因,还需进一步临床观察。

此外,不同的研究中药物治疗的方法也存在很大的差异。在Styrud等[1]的研究中,抗生素为静脉滴注头孢噻肟 2.0g2次/d,替硝唑 800 mg 1次/d,2 d;Vons等[6]则是静脉滴注阿莫西林克拉维酸 3.0g1次/d,2 d;Turhan等[2]应用氨苄西林 1.0 4次/d,庆大霉素 160 mg 1次/d,甲硝唑 500 mg 3次/d 3 d。静脉治疗后继续口服抗生素10 d。本研究中使用环丙沙星联合奥硝唑,能够覆盖革兰阳性菌、革兰阴性菌和厌氧菌,并且出院后可继续口服同样的药物,其治疗效果与上述临床研究相似。

CRP是由肝脏合成的一种全身性炎症反应急性期的非特异性标志物,常与WBC联合用于急性阑尾炎的诊断。国外多个临床研究表明,CRP和急性阑尾炎严重度呈正相关[7, 8, 9, 10]。国内回顾性分析也证实,复杂性阑尾炎血清CRP浓度明显高于单纯性阑尾炎,而中性粒细胞计数与单纯性阑尾炎差异无统计学意义[11]。而hs-CRP则是临床试验室采用超敏感检测技术,能准确地检测低浓度CRP,提高了试验的灵敏度和准确度。本研究中使用hs-CRP预测药物治疗急性阑尾炎的效果。药物治疗后无论临床结果如何,WBC均有下降,而hs-CRP在药物治疗不佳的患者组中升高明显,可以作为药物治疗无反应的标志物,尤其是大于80.5 mg/L时。张波[12]回顾性分析阑尾切除术后病理与炎症指标的相关性,结果表明C反应蛋白对判断坏疽性阑尾炎的敏感度优于白细胞及中性粒细胞分类,其最佳截断值为51.22 mg/L。该值明显低于本研究预测药物治疗效果的最佳截断值,可能与回顾性分析入选患者初始治疗均为阑尾切除术有关。

综上所述,药物治疗急性阑尾炎具有较高的成功率、较少的费用和并发症,可以考虑作为急性阑尾炎的初始治疗。阑尾炎复发可能是目前最主要的问题,但其复发率仍是可以接受的,要加强临床随访。对于药物治疗不佳的患者,hs-CRP水平升高是有价值的标志物,应加以动态监测并结合体温、腹部体征变化,掌握合理的手术时机。

参考文献
[1] Styrud J, Eriksson S, Nilsson I, et al. Appendectomy versus antibiotic treatment in acute appendicitis.Aprospective multicenter randomized controlled trial[J]. WorldJSurg, 2006, 30(6):1033-1037.DOI:10.1007/s00268-005-0304-6.
[2] Turhan AN, Kapan S, Kutukcu E, et al. Comparison of operative and non operative management of acute appendicitis[J]. Ulus Travma Acil Cerrahi Derg, 2009, 15(5):459-462.
[3] Kalan M, Talbot D, Cunliffe WJ, et al. Evaluation of the modified Alvarado score in the diagnosis of acute appendicitis:aprospective study[J]. AnnRColl Surg Engl, 1994, 76(6): 418-419.
[4] Hansson J, Korner U, Khorram-Manesh A, et al. Randomized clinical trial of antibiotic therapy versus appendicectomy as primary treatment of acute appendicitis in unselected patients[J]. BrJSurg, 2009, 96(5):473-481.DOI:10.1002/bjs.6482.
[5] Varadhan KK, Neal KR, Lobo DN. Re:Safety and efficacy of antibiotics compared with appendicectomy for treatment of uncomplicated acute appendicitis: meta-analysis of randomised controlled trials[J]. BMJ, 2012, 344(10):e2156-2170. DOI:10.1136/bmj.e2156.
[6] Vons C, Barry C, Maitre S, et al. Amoxicillin plus clavulanic acid versus appendicectomy for treatment of acute uncomplicated appendicitis: an open-label, non-inferiority, randomised controlled trial[J]. Lancet, 2011, 377(9777):1573-1579.DOI:10.1016/S0140-6736(11)60410-8.
[7] Kim HC, Yang DM, Lee CM, et al.Acute appendicitis: relationships between CT-determined severities and serum white blood cell counts and C-reactive protein levels[J]. BrJRadiol, 2011, 84(1008):1115-1120.DOI: 10.1259/bjr/47699219.
[8] Yokoyama S, Takifuji K, Hotta T, et al. C-Reactive protein is an independent surgical indication marker for appendicitis:aretrospective study[J]. WorldJEmerg Surg, 2009, 31(4):36-40.DOI: 10.1186/1749-7922-4-36.
[9] Ozdogan M, Devay AO, Gurer A, et al. Plasma total anti-oxidant capacity correlates inversely with the extent of acute appendicitis:acase control study[J]. WorldJEmerg Surg, 2006, 24(1):6-9.DOI: 10.1186/1749-7922-1-6.
[10] Okamoto T, Sano K, Ogasahara K. Receiver-operating characteristic analysis of leukocyte counts and serum C-reactive protein levels in children with advanced appendicitis[J]. Surg Today, 2006, 36(6):515-518.DOI:10.1007/s00595-006-3189-6.
[11] 宋小兵, 赵剡, 杨奇, 等. 联合白细胞分类及C反应蛋白在急性阑尾炎诊断中的意义[J]. 中华急诊医学杂志, 2011, 20(4):432-434.DOI:10.3877/cma.j.issn.1671-0282. 2011.04.025. Song XB, Zhao Y, Yang Q, et al. Diagnosis of acute appendicitis combined with leukocyte and C-reactive protein (CRP)[J]. ChinJEmerg Med, 2011, 20(4):432-434.
[12] 张波.C反应蛋白检测在急性阑尾炎手术时机选择中的作用探讨[J]. 中华临床医师杂志(电子版), 2013, 7(21):9510-9513.DOI:10.3877/cma.j.issn.1674-0785.2013.21.027. Zhang B. The role of C-reactive protein asasurgical indication marker for acute appendicitis[J].ChinJClinicians(Electronic Edition), 2013, 7(21):9510-9513.