广州医科大学第一附属医院呼吸疾病国家重点实验室 广州呼吸疾病研究所(陈荣昌),放射科(李雯、曾庆思);
郑州大学第一附属医院放射科(郑惠)
机械通气是全麻手术及呼吸衰竭患者非常重要的对症支持治疗。通常情况下,潮气量的选择基于理想体质量(predicted body weight,PBW)[1],对于急性呼吸窘迫综合征(ARDS)患者,目前常规推荐使用小潮气量肺保护性通气方案,潮气量为(6~8)mL/kg×PBW [2, 3],这一方案也使患者的预后得到了明显的改善 [2, 4, 5, 6]。在选择潮气量时之所以以PBW为标准,除了血气交换的需要以外,更重要的依据是健康人各项肺容积[包括功能残气量(functional residual capacity,FRC)在内]均取决于身高(间接取决于PBW)及性别,无论是男性还是女性,其FRC与PBW之间均存在正比例关系[7]。然而,对于ARDS患者,肺容积(尤其FRC)与PBW及性别之间未必存在这种比例关系。最新的研究显示,呼吸机所致肺损伤取决于潮气量与FRC之比也即肺应变,而非潮气量与PBW之比[8, 9, 10]。这表明当潮气量按(6~8)mL/kg×PBW方法选取时,FRC越小,发生呼吸机所致肺损伤的可能性越大。因此,阐明健康与ARDS不同状态下,FRC与 PBW 之间的关系有助于ARDS患者最佳潮气量选择,意义非常重要。
1 材料与方法 1.1 实验动物选取24只,体质量10~14 kg,8.5~14个月龄成年比格犬作为研究对象,所有比格犬均购自广东省药理研究所,相关参数造模前后进行对照比较。
1.2 麻醉及实验流程按前期研究成熟的麻醉及手术操作方式进行[11]。实验前肌肉注射氯胺酮(福建古田药业有限公司)100 mg、阿托品0.5 mg,麻醉诱导成功后称重,仰卧位固定于实验台。连接心电监护仪,双侧腹股沟备皮、消毒、利多卡因局部麻醉、右侧股静脉植管,将PiCCO静脉端温度探头组件卡入静脉仓,并与中心静脉导管连接,应用Seldinger法于左侧股动脉插入尖端带有热敏电阻丝的4F动脉导管并连接监测传感器(德国PULSION公司)。喉镜明示下插入7.5 mm气管插管,过程中必要时追加氯胺酮50 mg。 气管插管成功后立即连接呼吸机。静脉注射2~10 mg/(kg·h)丙泊芬(英国阿斯利康公司)麻醉维持,经口在专用导丝引导下依次插入胃和食管囊管,通过三通阀分别向两条导管注入3 mL气体,再回抽使胃气囊保留1.5 mL气体,食管气囊保留0.8 mL气体。实时监测波形并调整囊管位置。犬吸气时,食管压和胃内压为正压,表明食管和胃囊管均在胃内,将食管囊管逐渐向外拉,吸气时囊管压力变为负压,提示食管囊管在贲门附近,再将食管囊管向外拉6~10 cm,相当于食道中下1/3吸气时食道压与胃内压方向相反,表明食管和胃囊管位置准确。麻醉诱导及操作期间,必要时给予顺阿曲库铵(上海恒瑞医药有限公司)0.1~0.2 mg/(kg·h)维持肌松,静滴0.9% 生理盐水100 mL/h。准备就绪后,实验动物转移至CT室,胸部CT法测FRC、行血气分析、呼吸动力学及血流动力学检测。静脉注射油酸制作ARDS模型,成模后再次行胸部CT测FRC等相关指标检测。实验过程中实验动物无自主呼吸时,采用Evita 4 呼吸机(德国德尔格公司)进行机械通气,造模前潮气量为10 mL/kg 体质量,造模后为8 mL/kg体质量,其余参数设置如下:吸氧体积分数 (FiO2) 50%,呼吸频率20~30 次/min,依据动脉血二氧化碳分压[控制在 35~45 mmHg (1 mmHg = 0.133 kPa)之间]适当调节,吸呼比1∶ 2,呼气末正压5 cmH2O (1 cmH2O = 0.098 kPa)。实验过程中PM-9000监护仪(深圳迈瑞生物医疗电子科技有限公司)持续监测心率、动脉血压及舌体SPO2。
1.3 FRC的检测造模前后,实验犬仰卧位固定于CT机(德国西门子公司)移动平台,呼吸机支持下、增大静脉麻醉药物速度、使用肌松药物,待充分麻醉、肌松后,将气管插管与呼吸回路撤离,立即行胸部CT扫描,尔后迅速将呼吸机与气管插管相连。CT软件版本syngo CT2008G,设置如下:剪切宽度 64 mm×2 mm×0.6 mm,层厚 2 mm及5 mm,重建间距 2 mm及5 mm,数据采集视场 180 mm,重建视场 180 mm,KVp:100,X线光管电流 110 mA,像素尺寸 0.32/0.32,采集矩阵 512×512。Lung CAD2.1肺功能分析软件(沈阳东软集团)对CT扫描图像进行肺分割及CT肺功能分析。每一个立体像素假设由肺组织及气体(-1 000 HU)两种成分组成。每一立体像素气体所占比率为气体体积/(气体体积+组织体积)=平均CT值/(气体CT值-组织CT值),肺组织密度与水密度接近(0 HU),故气体所占比率=像素密度/-1 000;组织比率=1-气体比份。每一立体像素中气体和组织的容积为气体或组织所占比份乘以立体像素的容积。充分镇静下,平静呼气末气道压力为0 cmH2O时各个像素中气体体积之和为FRC。根据肺充气状态不同将肺组织分为未充气(密度> -100 HU),充气不良(密度-100至 -500 HU之间),充气良好(密度-500至-900 HU之间)及过度充气(密度< -900 HU)四种状态。
1.4 中度ARDS模型制作呼吸机5 cmH2O持续气道正压支持下20 mL生理盐水和0.18 mL/kg体质量油酸(美国Sigma公司)经充分混合后通过下腔静脉导管缓慢注入右心房,20 min注完,90 min后查动脉血气分析(丹麦雷度公司ABL800血气分析仪),若动脉血气中氧分压与吸氧体积分数的比值(PaO2/FiO2)>200 mmHg,追加油酸0.02 mL/kg,直至PaO2/FiO2在100~200 mmHg之间[13]。实验过程中,必要时,给予5~10 μg/(kg·min) 多巴胺,维持动脉血压> 60 mmHg。
1.5 呼吸力学参数检测将压力传感器(广州英辉公司)与食管囊管、气管插管测孔相连接,MLT300L 呼吸流量头连接于气管插管和呼吸机之间,PowerLab 16/30 SP生理记录仪及配套Chart 5.5 数据采集软件(澳大利亚ADInstruments公司)采集气体流量、食管内压及气道压力信号。丙泊酚及顺阿曲库铵打断自主呼吸后,低流量法描绘气道压力-容积曲线[11]。呼吸机参数设置如下:容量控制通气模式、潮气量40 mL/kg体质量,恒定流速4~5 L/min,呼吸频率5次/min,吸气时间10 s,呼气末压力0 cmH2O。Origin 8.0软件(美国Originlab公司)以气体容积为Y轴、气道压力为X轴描绘压力容积曲线图,取中间线性段计算斜率为呼吸系统静态顺应性,同法描绘肺应力(气道压与食管内压之差)容积曲线图并计算肺静态顺应性,根据公式肺应力=比弹性×(Δ容积/FRC)可知在肺应力-容积曲线中,当Δ容积与FRC相等时对应的肺应力为比弹性值[11]。
1.6 统计学方法采用SPSS 16.0 软件(美国SPSS有限公司)进行统计学分析,计量资料以均数±标准差(x±s)表示,造模前后血气分析、呼吸力学、血流动力学、影像学参数比较采用自身配对t检验。FRC与月龄、PBW(采用身长代替)及实际体质量之间的关系采用多元线性回归分析。以P<0.05为差异具有统计学意义。
2 结果 2.1 造模前后犬血气分析及呼吸力学参数静脉注射油酸后,PaO2/FiO2 自(472.4±58.9)mmHg降至(166.2±19.1)mmHg (P<0.01)。pH值降低、动脉血二氧化碳分压(PaCO2)升高,HCO3-维持不变。静态呼吸静态顺应性及肺顺应性明显降低(P<0.01),而比弹性无明显变化(P=0.09),见表 1。
| 指标 | 造模前 | 造模后 | t值 | P值 |
| PaO2/FiO2(mmHg) | 472.4±58.9 | 166.2±19.1 | 24.190 | <0.01 |
| PaCO2(mmHg) | 40.8±6.9 | 55.1±13.2 | -5.132 | <0.01 |
| pH | 7.27±0.06 | 7.15±0.09 | 5.521 | <0.01 |
| HCO3-(mmol/L) | 19.1±2.7 | 19.4±3.1 | -0.487 | 0.63 |
| Crs,stat (L/cmH2O) | 30.5±4.1 | 21.2±4.9 | 11.817 | <0.01 |
| Cl,stat (L/cmH2O) | 48.7±9.3 | 29.7±7.2 | 12.220 | <0.01 |
| El,spec(cmH2O) | 11.7±1.9 | 12.2±2.2 | -1.773 | 0.09 |
血管外肺水指数造模造模后显著升高(P<0.01),心排指数及心率造模后较造模前明显降低(P<0.01)而平均动脉压及中心静脉压无明显变化(P>0.05),见表 2。
| 指标 | 造模前 | 造模后 | t值 | P值 |
| 血管外肺水指数 (mL/kg) | 11.0±1.9 | 25.7±7.9 | -8.489 | <0.01 |
| 平均动脉压 (mmHg) | 121.9±13.9 | 110.2±24.5 | 1.834 | 0.082 |
| 心率 (次/min) | 152.5±26.6 | 127.8±32.3 | 3.806 | <0.01 |
| 心排指数[L/(min·m2)] | 4.21±1.36 | 2.74±1.17 | 5.690 | <0.01 |
| 中心静脉压 (cmH2O)a | 5.0±2.0 | 5.8±2.6 | -1.890 | 0.085 |
注射油酸后动物模型表现出ARDS的典型影像学特征为:呼气末肺气体容积(FRC)、充气良好及过度充气区比例明显降低,而肺组织密度、肺组织重量、未充气及充气不良肺组织比例明显增加,肺总容积无明显变化,在CT图像上表现为以重力依赖区为主要病变部位,两肺的渗出浸润影,肺组织密度增加,见表 3和图 1。
| 指标 | 造模前 | 造模后 | t值 | P值 |
| 密度 (HU) | 697±42 | 359±92 | -19.865 | <0.01 |
| 肺总容积 (mL) | 590±92 | 583±72 | 0.629 | 0.535 |
| 肺气体容积(FRC) (mL) | 414±84 | 214±70 | 12.622 | <0.01 |
| 肺重量 (g) | 176±20.8 | 367±58.2 | -17.352 | <0.01 |
| 未充气肺组织比率 (%)a | 1.30 | 27.58 | -4.286b | <0.01 |
| 充气不良肺组织比率(%) | 10.8±4.0 | 32.6±8.5 | -11.632 | <0.01 |
| 充气良好肺组织比率 (%) | 80.7±3.9 | 36.8±12.9 | 18.622 | <0.01 |
| 过度充气肺组织比率 (%) a | 5.665 | 0.82 | 7.647b | <0.01 |
|
| A:造模前健康肺影像学表现;B:成模时肺影像学表现,可见两肺的渗出浸润影,肺组织密度增加,以背侧为主 图 1 肺部造模前后典型的影像学特征 Fig.1 Typical imaging presentation of lungs with and without ARDS |
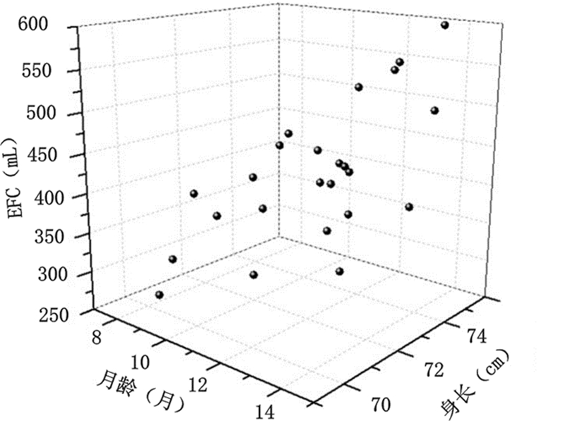
健康犬FRC随着月龄(11.5±1.7) 个月及身长(73.00±1.88)cm的增加而增加。以月龄、身长及实际体质量(12.2±1.2)kg为自变量,FRC为因变量进行多元线性回归分析,多元回归方程为FRC (mL) = 21.86 × 月龄 (月) + 20.55 × 身长(cm) -1 337.98 (P<0.01),发现实际体质量不能纳入为有效自变量(P=0.993),同一实际体质量下,FRC存在较大差异,FRC与实际体质量之间不存在比例关系。见图 2、图 3。
|
| 图 2 健康犬FRC与月龄、身长之间关系三维散点图(n=24) Fig.2 The relationship between FRC and age,body length of dogs without ARDS(n=24) |
|
| 直线回归方程为FRC(mL)=27.81×体质量(kg)+75.67 (R=0.346,P=0.058) 图 3 健康犬FRC与实际体质量之间关系图 Fig.3 The relationship between FRC and actual body weight of dogs without ARDS |
如三维散点图图 4所示,与健康犬不同,ARDS犬FRC与月龄、身长并不随着月龄及身长的增加而增加,以月龄、身长及实际体质量为自变量,FRC为因变量的多元线性回归方程无效(P=0.305)。 同一实际体质量下,FRC存在较大差异,FRC与体质量之间无明显的规律可循 (图 5)。
|
| 图 4 ARDS犬FRC与月龄、身长之间关系三维散点图(n=24) Fig.4 The relationship between FRC and age,body length of dogs with ARDS(n=24) |
![]() |
| 直线回归方程为FRC(mL)=17.39×体质量(kg)+1.69 (R=0.216,P=0.158) 图 5 ARDS犬FRC与实际体质量之间关系图 Fig 5 The relationship between FRC and actual body weight of dogs with ARDS |
本研究制作了典型的肺内型ARDS模型,该模型具备ARDS的主要特征。笔者首次发现健康犬FRC与月龄和PBW(以身长为指标)之间存在比例关系,但在ARDS模型犬中不存在这种关系,提示即便是健康犬FRC与PBW成正相关,但在ARDS犬,肺FRC大小与PBW和实际体质量无明显关系。
本研究所建立的ARDS动物模型具有以下特征:(1)已知诱因(油酸),急性起病[平均成模时间为(190±58)min];(2)低氧血症,呼气末正压5 cmH2O下 PaO2/FiO2 介于100 mmHg至200 mmHg 之间,PaO2/FiO2均数为166.2 mmHg; (3)如图 1所示典型的ARDS影像学表现[14],以重力依赖区为主要病变部位,两肺的渗出浸润影,肺组织密度增加,通气肺组织减少; (4)呼吸系统及肺顺应性明显降低,前者降低 30.5%而后者降低39%; (5)肺泡水肿,血管外肺水指数从造模前(11.0±1.9)mL/kg升至造模后(25.7±7.9)mL/kg。以上特征表明,本研究所建立的动物模型在疾病起病、氧合[13]、影像学[14]、呼吸力学[15]及血流动力学[16]方面模拟了ARDS的典型特征,为本研究提供了可靠的研究基础。
本研究中FRC的检测采用胸部CT及肺功能分析的金标准法,确保检测手段本身的误差不会对实验结果造成明显的影响[7, 17]。对于健康犬,FRC主要受月龄及身长的影响,以月龄、身长及实际体质量(12.2±1.2)kg为自变量,FRC为因变量进行多元线性回归分析,多元回归方程有效,但不能将实际体质量纳入为有效自变量,如图 2 所示FRC随着年龄及身长的增加而增加,且在一定程度上存在正比例关系,但FRC与实际体质量之间不存在比例关系(如图 3),这与笔者前期发表相关结果相一致[11]。一项关于健康人肺容积的研究显示,在呼气末正压5 cmH2O压力支持下,FRC介于20 mL/kg 至46 mL/kg PBW之间。由此可知,假设一PBW为60 kg的健康人,其FRC可能介于1 200 mL 至 2 760 mL之间[18]。本研究造模之后,FRC 明显降低,尽管不同犬只PaO2/FiO2高度接近,均属于中度ARDS,但个体间FRC 差别巨大,FRC与月龄、身长及实际体质量之间无明确关系,这也与人类的少量相关研究结果相一致[18, 19]。 不过,截止目前尚无相关研究专门论述FRC与PBW或身高等替代参数之间的关系。 Dellamonica等[18]的研究中纳入了24例ARDS患者,身高(172±9)cm,可见身高的标准差较小,仅仅占均数的5.2%,表明患者身高及理想体质量差别不大。然而,其FRC (1 013±593) mL的标准差却高达均数的58.5%,这表明FRC与身高或PBW之间的比值不固定,且差别较大。另一项研究纳入了40例ARDS患者,FRC的均数为16 mL/kg PBW,但最大值和最小值分别为22 mL/kg PBW和 13 mL/kg PBW [19]。假设PBW同为60 kg,FRC可能介于780 mL至1 320 mL之间,差别巨大,也提示FRC与PBW之间不存在比例关系。
在传统机械通气方案中,潮气量按照(10~15)mL/kg体质量来选取,以保持pH、氧合及PaCO2 维持在正常范围[20]。对于ARDS患者,鉴于肺不张、肺水肿等各种原因引起肺容积的急剧降低,广泛采取(6~8)mL/kg PBW的肺保护性通气方案[2, 4, 5, 6, 21]。对于健康肺,这种选择潮气量方法的理论依据为各项肺容积取决于性别及身高(等同于PBW),且与PBW之间成正比关系[7]。 对于ARDS患者,尽管潮气量较健康肺降低了近40%,但并不能满足个体化肺保护性通气的需要,并非每一个ARDS患者的FRC均较健康时降低40%,患病个体的FRC并不按照某一固定比例降低。本研究也表明即便各个ARDS犬模型各种生理参数高度相似,但FRC与身长或实际体质量之间均不存在某一比例关系。在临床上,ARDS患者间的严重程度、基础疾病、合并症均不相同,包括FRC在内的各项肺容积不可能按照某一固定比例减小。对于一个80 kg PBW的患者,其FRC可能低至200 mL以下,但也可能高至800 mL以上[8]。在选择潮气量时,可能将基于健康肺的理论“不恰当”地应用在了ARDS肺。最新研究也表明,“容积伤”及“气压伤”的发生及其严重程度取决于非生理性肺应变(潮气量与FRC之比)而非潮气量与PBW或身高之比[9, 20]。综上,在选择潮气量时,应更多地关注肺容积(尤其是FRC)或潮气量与FRC之比(肺应变),有利于推动呼吸力学导向的个体化机械通气策略在ARDS中的应用[22]。
本研究存在以下不足之处。本研究采用静脉注射油酸的方法制作动物ARDS模型,这与临床上常见的重症肺炎等致病因素不同,病理生理学特征和临床患者未必完全一致;研究中实验动物采用“仰卧位”,但犬类非直立行走动物,肺的长轴与地面平行,不同于人类肺的长轴与地面垂直,因此重力的叠加效应可能亦不相同,犬“仰卧位”研究结果可能与人类仰卧位结果亦不相同;FRC的测量,需要完善呼气相CT,但犬类无法配合,因此在行呼气相CT时需要给予镇静及肌松药物以打断自主呼吸,这些药物的使用可能一定程度上影响真实的FRC。
| [1] | Günther A, Taut F. Tidal volume in mechanical ventilation: the importance of considering predicted body weight[J]. AmJRespir Crit Care Med,2008,178(3):315-316. |
| [2] | The Acute Respiratory Distress Syndrome Network. Ventilation with lower tidal volumes as compared with traditional tidal volumes for acute lung injury and the acute respiratory distress syndrome[J].NEnglJMed,2000,342(18):1301-1308. |
| [3] | Jaswal DS, Leung JM, Sun J, et al. Tidal volume and plateau pressure use for acute lung injury from 2000 to present:asystematic literature review[J]. Crit Care Med, 2014,42(10):2278-2289. |
| [4] | Chen YF, Lim CK, Ruan SY, et al. Factors associated with adherence to low-tidal volume strategy for acute lung injury and acute respiratory distress syndrome and their impacts on outcomes: an observational study and propensity analysis[J]. Minerva Anestesiol, 2014, 80(11) :1158-1168. |
| [5] | Petrucci N, De Feo C. Lung protective ventilation strategy for the acute respiratory distress syndrome[J]. Cochrane Database Syst Rev,2013,2:CD003844. |
| [6] | Putensen C, Theuerkauf N, Zinserling J, et al. Meta-analysis: ventilation strategies and outcomes of the acute respiratory distress syndrome and acute lung injury[J]. Ann Intern Med,2009,151(8):566-576. |
| [7] | Gommers D. Functional residual capacity and absolute lung volume[J]. Curr Opin Crit Care,2014,20(3):347-351. |
| [8] | Gattinoni L, Pesenti A.The concept of “baby lung”[J]. Intensive Care Med,2005,31(6):776-784. |
| [9] | Protti A, Cressoni M, Santini A, et al. Lung stress and strain during mechanical ventilation: any safe threshold? [J]. AmJRespir Crit Care Med,2011,183(10):1354-1362. |
| [10] | Gattinoni L, Carlesso E, Caironi P. Stress and strain within the lung[J]. Curr Opin Crit Care, 2012,18(1):42-47. |
| [11] | Liu Q, Li W, Zeng QS,et al. Lung stress and strain during mechanical ventilation in animals with and without pulmonary acute respiratory distress syndrome[J].JSurg Res, 2013,181(2): 300-307. |
| [12] | Matute-Bello G, Frevert CW, Martin TR. Animal models of acute lung injury[J]. AmJPhysiol Lung Cell Mol Physiol,2008,295(3):L379-399. |
| [13] | ARDS Definition Task Force, Ranieri VM, Rubenfeld GD, et al.Acute respiratory distress syndrome: the Berlin Definition[J]. JAMA, 2012,307(23):2526-2533. |
| [14] | Gattinoni L, Caironi P, Valenza F, et al. The role of CT-scan studies for the diagnosis and therapy of acute respiratory distress syndrome[J]. Clin Chest Med, 2006,27(4):559-570. |
| [15] | Kallet RH, Katz JA. Respiratory system mechanics in acute respiratory distress syndrome[J]. Respir Care ClinNAm,2003,9(3):297-319. |
| [16] | Kushimoto S, Taira Y, Kitazawa Y, et al. PiCCO Pulmonary Edema Study Group. The clinical usefulness of extravascular lung water and pulmonary vascular permeability index to diagnose and characterize pulmonary edema:aprospective multicenter study on the quantitative differential diagnostic definition for acute lung injury/acute respiratory distress syndrome[J]. Crit Care, 2012,16(6):R232. |
| [17] | Heinze H, Eichler W. Measurements of functional residual capacity during intensive care treatment: the technical aspects and its possible clinical applications[J]. Acta Anaesthesiol Scand, 2009,53(9):1121-1130. |
| [18] | Dellamonica J, Lerolle N, Sargentini C, et al. Effect of different seated positions on lung volume and oxygenation in acute respiratory distress syndrome[J]. Intensive Care Med,2013, 39(6):1121-1127. |
| [19] | Chiumello D, Carlesso E, Cadringher P, et al. Lung stress and strain during mechanical ventilation for acute respiratory distress syndrome[J]. AmJRespir Crit Care Med,2008,178(4):346-355. |
| [20] | 刘奇,陈荣昌.肺应力和应变在急性呼吸窘迫综合征患者中的研究进展[J].中华结核和呼吸杂志,2012,35(12):924-926. |
| [21] | 中华医学会重症医学分会.急性肺损伤/急性呼吸窘迫综合征诊断与治疗指南[J].中华急诊医学杂志,2007,16(4):343-349. |
| [22] | 刘奇,陈荣昌,程哲.呼吸力学导向的机械通气策略在急性呼吸窘迫综合征中的应用研究进展[J].中华结核和呼吸杂志,2015,38(3):208-211. |
2015, Vol. 24



