中华急诊医学杂志  2015, Vol. 24 Issue (5): 475-480
猪创伤失血性休克模型凝血功能的变化
张娟娟, 王少华, 虞文魁 , 石佳靓, 沈娟红, 高涛, 习丰产, 李宁     
210002 南京,南京军区南京总医院,解放军普通外科研究所
摘要目的 创伤引起的凝血功能障碍是死亡的重要原因。本研究主要观察猪创伤失血性休克后凝血功能的变化。 方法 12只家猪随机(随机数字法)分为对照组(CG, n=6)和实验组(EG,n=6)。实验组先受到胸部钝性伤,然后放全血的35%左右,维持平均动脉压(MAP)在(40±3)mmHg(1 mmHg=0.133 kPa)2 h,随后进行复苏。对照组没有创伤、失血及复苏。分别在实验开始时(H0)、创伤失血后15 min(H1)、1 h(H2)、2 h(H3)以及复苏后15 min(R1)、2 h(R2)、6 h(R3)、24 h(R4)采血,进行血气分析、血常规(Plt)、凝血试验(PT、APTT、Fib)和血栓弹力图(TEG)检测。 结果 实验组动物Plt持续下降,复苏后各时间点与对照组差异均有统计学意义(P<0.05);Fib创伤放血后15 min开始显著下降直至复苏后2 h,期间各时间点均低于对照组(P<0.05),复苏后24 h显著高于对照组(P<0.05);PT在创伤放血后15 min显著缩短(P=0.001),之后逐渐延长,复苏后6 h开始缩短,放血后2 h至复苏后6 h期间各时间点与对照组比较,差异有统计学意义(P<0.05);APTT在创伤放血后15 min显著缩短(P=0.024),后显著延长直至复苏后6 h,各时间点差异有统计学意义(P<0.05)。实验组TEG的R值在创伤放血后15 min显著缩短(P<0.05), 复苏后24 h较对照组显著延长(P=0.022);K值在创伤放血后15 min显著缩短(P=0.001);MA值在创伤放血后2 h显著低于对照组(P=0.004)。 结论 创伤失血性休克早期存在一过性高凝状态,表现为PT、APTT、R值和K值的缩短,随后转变为低凝状态,表现为PT、APTT的延长和Fib、MA值的下降。复苏期仍处于低凝状态,早期表现为PT、APTT的延长和Plt、Fib的下降,晚期表现为R值的延长和Plt的下降。
关键词     创伤     失血性休克     凝血功能     凝血试验     血栓弹力图    
Changes of blood coagulation after traumatic hemorrhagic shock in swine
Zhang Juanjuan, Wang Shaohua,Yu Wenkui , Shi Jialiang,Shen Juanhong,Gao Tao, Xi Fengchan, Li Ning     
Research Institute of General Surgery, Jinling Hospital, Nanjing 210002, China
Corresponding author:Yu Wenkui,Email:yudrnj@163.com
Abstract: Objective To investigate the changes of blood coagulation after traumatic hemorrhagic shock in swine in order to elucidate the coagulopathy to be the predominant cause of death after severe trauma. Methods Twelve domestic swine were randomly(random number) divided into the control group (CG, n=6) and experimental groups (EG,n=6). The swine in EG were hit with blunt injury on chest first, and hemorrhagic shock was induced by exsanguinating until 35% of the estimated total blood volume lost so as to maintain mean arterial pressure (MAP) at about (40±3)mmHg for two hours, and then the swine were resuscitated. The swine in CG were not injured. Blood samples were taken before injury (H0) and 15 min (H1), 1h(H2), 2h(H3) after traumatic hemorrhage and 15 min (R1), 2h(R2), 6h(R3), 24h(R4) after resuscitation. The blood gas analysis, blood routine (Plt), coagulation tests (PT,APTT,Fib) and thromboelastogram (TEG) were measured. Results Compared with CG, Plt (platelet) in EG was continuously reducing after hemorrhage, and was significantly lower after resuscitation (P<0.05). Fib dropped quickly after hemorrhagic shock and the levels of Fib were lower during H1 to R2 and higher at R4 (P<0.05). PT decreased significantly at H1 (P=0.001), then was higher at H3,R1,R2 and R3 (P<0.05). APTT was shortened remarkably at H1 (P=0.024), and then prolonged from H2 to R3 (P<0.05). Among the TEG parameters,Rvalues were shortened at H1 (P<0.05), and prolonged at R4 (P=0.022);Kvalues decreased at H1 (P=0.001) and MA values decreased at H3 (P=0.004). Conclusion Hyper-coagulation was characterized by shortened PT, APTT,Rand decreasedKvalues existed transiently at early stage of traumatic hemorrhagic shock, then turned into hypo-coagulation presenting prolonged PT and APTT and decreased Fib and MA. Hypo-coagulation persisted during resuscitation and showed prolonged PT and APTT and decreased Plt and Fib at initial stage and prolongedRvalues and decreased Plt at late stage.
Key words: Swine     Trauma     Hemorrhagic shock     Coagulation     Coagulation tests     Thrombelastography    

凝血功能障碍是创伤的的常见并发症,导致病死率增加[1, 2]。出血导致的死亡占所有创伤死亡的40%[2]。严重创伤后凝血病的发病机制复杂,受多种因素影响[3, 4, 5],目前公认的创伤性凝血病的原因包括组织损伤、休克、血液稀释、低体温、酸中毒和炎症反应[3, 6]

研究表明,25%的创伤患者在入院时已经发生凝血病,增加了5倍的病死率[7]。这种凝血病被称为急性创伤性凝血病(ATC),发生于创伤早期,在液体复苏、出现低体温和酸中毒之前即可发生[7],与组织低灌注有关[8]。Hess等[3]认为创伤性凝血病早期存在抗凝和纤溶系统的激活,表现为凝血酶原时间(PT)和活化部分凝血活酶时间(APTT)的延长、血小板和纤维蛋白原的相对不足。但也有学者发现创伤后仍存在一过性高凝状态[9]。因此,创伤性失血性休克早期是否存在高凝仍存在争议,而且PT和APTT不能反映机体的纤溶状态,定义ATC仍有不足之处[8]。血栓弹力图反映了从凝血到纤溶的整个凝血过程,更有助于诊断凝血功能障碍。本文主要研究创伤后失血性休克和液体复苏对凝血功能动态的影响,包括凝血试验和TEG。

1 材料与方法 1.1 实验动物

健康家猪,由南京军区总医院动物实验中心提供,雌雄不限,12只,体质量(30±5)kg。实验动物予以自由进食,饲养于12 h明暗交替、恒温的标准化环境,并提供充足的食物和水。实验动物健康状况符合国家的普通实验动物健康标准。实验前一日禁食禁水。

1.2 动物准备

先以氯胺酮20 mg/kg、地西泮8 mg/kg、阿托品0.1 mg/kg肌肉注射诱导麻醉,予称质量后,将猪仰卧位固定于手术台。耳缘静脉留置导管,随后以氯胺酮20 mg/(kg·h)和地西泮8 mg/(kg·h)持续静脉泵注射维持麻醉。给予气管插管,连接呼吸机辅助呼吸,通气模式为容量控制通气,呼吸机条件:潮气量8 mL/kg、呼吸频率20次/min、吸入氧体积分数21%、呼气末正压5 cmH2O(1 cmH2O=0.098 kPa)。右侧颈内静脉处切开,直视下使用Seldinger法穿刺右侧颈内静脉,放置16G腔静脉导管,缝合固定于皮肤上,作为静脉输液和血流动力学监测通气。右侧股动脉处切开,直视下使用Seldinger法穿刺右侧股动脉,放置16G腔静脉导管,缝合固定于皮肤上,连接监护仪监测心率(HR)、血压(MAP),并抽取动脉血行血气分析。于下腹部行膀胱穿刺,放置14G腔静脉导管,缝合固定于皮肤上,导管接无菌引流袋,记录每小时尿量。所有操作均在无菌条件下进行并遵循无菌原则。

1.3 实验流程

动物准备完成后,随机(随机数字法)分为两组,实验组(EG)和对照组(CG)各6只猪。对照组不进行进一步操作。记录生命体征,两组留取基点血标本(H0)。将实验组动物左侧卧位,将铁皮筒垂直于动物胸壁,铁皮筒口置于肩胛下,予0.4 kg/kg体质量的重物由1 m高的铁皮筒上方开口处落下,使其自由落体垂直砸于动物右侧胸壁上;将动物翻为右侧卧位,重复以上过程。观察10 min后,从腔静脉置管中抽血储存于储血袋中,在15 min内使实验动物MAP降至40 mmHg,维持2 h;维持低血压过程中,若实验动物血压升高大于45 mmHg,继续抽血至达标;当实验动物 MAP低于35 mmHg,则给予乳酸林格液 500 mL/h 补充至血压达标。低血压期完成后,统计抽血总量。在复苏期,第1小时给予抽血量3倍的乳酸林格液以及1/3抽血量的全血予以复苏,第2小时给予抽血量1倍的乳酸林格液继续复苏,复苏期结束。此后给予3 mL/(kg·h)乳酸林格液维持,观察 24 h。实验过程中,维持体温、血pH、血糖、血钙在正常水平。分别于创伤失血后15 min(H1)、1 h(H2)、2 h(H3)以及复苏后15 min(R1)、2 h(R2)、6 h(R3)、24 h(R4)采血,进行血气分析、血常规[血小板计数(Plt)]、凝血试验[PT、APTT、纤维蛋白原(Fib)]和TEG检测。

1.4 统计学方法

采用SPSS 17.0软件进行统计分析,计量资料以均数±标准差(x±s)表示,两组间比较采用成组t检验,以P<0.05为差异具有统计学意义。

2 结果

实验结束时12只猪均存活。实验组和对照组的基点生命体征和实验室检查差异无统计学意义。

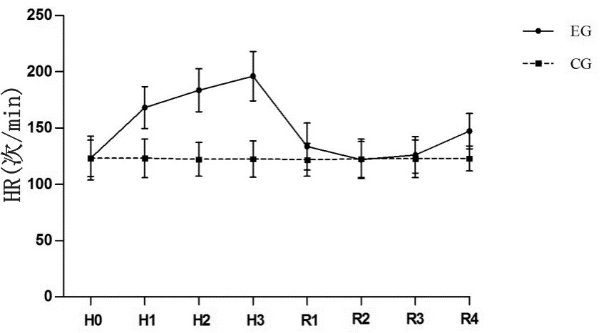
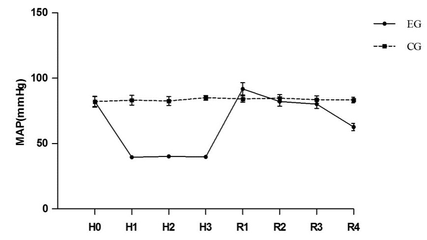
实验组动物创伤、放血完成后15 min MAP立即下降并维持在40 mmHg左右,复苏15 min时MAP立即上升至(91.83±11.46)mmHg,随着复苏时间的延长血压再次逐渐下降,复苏后24 h降至(62.67±6.77)mmHg,P=0.000,见图 1。实验组心率在创伤放血后15 min显著升高,2 h升至(196.17±21.93)次/min,复苏后15 min心率立即下降,复苏后2 h下降至最低(122.00±15.95)次/min,但复苏后24 h再次上升至(147.33±15.78)次/min,P=0.011,见图 2

图 1 两组不同时间点MAP的比较 Fig 1 Comparison of MAP between two groups at different intervals
图 2 两组不同时间点HR的比较 Fig 2 Comparison of HR between two groups at different intervals

实验组动物的Plt在创伤放血后持续下降,但差异无统计学意义,液体复苏后进一步继续下降,与对照组相比,差异具有统计学意义(P<0.05);Fib创伤放血后15 min显著下降,随后逐步上升直至复苏后2 h,期间各时间点数值均显著低于对照组(P<0.05),复苏后6 h与对照组差异无统计学意义,复苏后24 h显著高于对照组(P=0.000);PT在创伤放血后15 min显著缩短(P=0.001),后逐渐延长直至复苏后2 h,复苏后6 h开始缩短,复苏后24 h与对照组比较差异无统计学意义,放血后2 h至复苏后6 h期间个时点差异均有统计学意义(P< 0.05);APTT在创伤放血后15 min显著缩短(P=0.024),后逐渐延长直至复苏后6 h,各时间点数值均明显大于对照组(P<0.05),复苏后24 h开始缩短,与对照组差异无统计学意义。见表 1

表 1 两组不同时间点凝血指标的比较 Table 1 Comparison of coagulation parameters between two groups at different intervals
参数H0H1H2H3R1R2R3R4
Plt(×109 L-1)EG476.50±12.63454.33±57.25428.67±54.27385.00±90.74325.17±63.84303.17±51.39285.33±54.45190.67±33.87
CG476.67±12.52472.17±10.13474.17±13.89474.00±10.68472.83±8.13474.33±11.78468.00±14.04471.83±12.14
F0.00110.5715.11511.5423.6095.1884.4973.124
t-0.023-0.751-1.990-2.386-5.620-7.952-7.957-19.143
P0.9820.4700.0970.0610.0000.0000.0000.000
Fib(mg/dL)EG171.33±11.99119.84±8.66123.33±8.55125.33±8.94132.33±11.54143.50±13.59163.33±16.13362.17±19.20
CG171.50±10.95170.83±16.45172.33±10.86171.67±14.04169.50±10.09171.17±12.30 169.33±10.75169.67±7.45
F0.0550.0212.1410.5190.0362.6802.0062.258
t-0.0251.259-0.562-3.437-2.145-4.829-7.08419.600
P0.9800.0000.0000.0000.0000.0040.4660.000
PT(s)EG10.68±0.1910.12±0.1511.17±0.5812.27±1.3714.12±0.7515.53±1.3713.50±0.5811.07±0.52
CG10.68±0.1210.67±0.2310.68±0.2310.65±0.2110.67±0.1510.70±0.2410.68±0.23 10.65±0.19
F0.0000.65018.1157.62911.6025.4814.0153.306
t0.000-5.6981.9512.80210.9008.58211.34811.233
P1.0000.0010.1000.0340.0000.0000.0000.093
APTT(s)EG15.97±0.4015.43±0.3917.30±0.4620.23±0.6024.20±2.3825.03±2.6026.40±2.4016.57±0.54
CG16.07±0.4316.07±0.4416.15±0.5916.10±0.5916.07±0.4316.10±0.5516.12±0.69 16.13±0.70
F0.0000.0080.2440.55613.06318.92212.2250.402
t0.000-2.3345.30714.4198.3618.44410.5192.193
P0.6860.0240.0040.0000.0000.0000.0000.255

实验组TEG的R值在创伤放血后15 min显著缩短(P=0.000),随着缺血时间的延长逐渐延长,复苏后15 min再次缩短,后再次逐渐延长,复苏后24 h差异差异有统计学意义(P=0.022);K值变化趋势同R值,在创伤放血后15 min显著缩短(P=0.001),后逐渐延长直至复苏后15 min轻微缩短并再次延长,但差异无统计学意义;α-Angle在创伤放血后15 min先升高后降低,在复苏15 min后再次升高直至复苏后6 h,复苏后24 h下降,略低于对照组;MA值在创伤放血后15 min先升高后降低,放血后2 h显著低于对照组(P=0.004),复苏后15 min再次升高,然后随着复苏的时间逐渐降低,复苏后24 h升高,差异无统计学意义。见表 2

表 2 两组不同时间点TEG指标的比较 Table 2 Comparison of TEG values between two groups at different intervals
参数H0H1H2H3R1R2R3R4
R(min)EG3.43±0.252.37±0.163.02±0.283.50±0.403.28±0.373.32±0.313.38±0.303.88±0.34
CG3.40±0.293.43±0.233.37±0.293.42±0.383.33±0.293.30±0.293.30±0.453.43±0.22
F0.2001.0780.0190.0350.3260.0405.9560.744
t0.213-9.162-2.1150.372-0.2590.0960.3792.719
P0.8350.0000.0610.7180.8010.9260.7140.022
K(min)EG1.30±0.141.03±0.101.23±0.201.27±0.211.23±0.191.30±0.231.33±0.25 1.42±0.15
CG1.33±0.161.35±0.141.30±0.221.32±0.121.33±0.101.32±0.151.35±1.221.30±0.13
F0.5001.4940.3352.6852.0450.0461.3080.179
t-0.378-4.503-0.555-0.516-1.150-0.150-0.1461.472
P0.7130.0010.5910.6170.2770.8830.8860.172
α-Angle(°)EG71.93±2.1874.37±3.1673.48±2.9470.57±3.6572.43±3.1173.40±5.0975.02±4.4969.08±3.81
CG71.83±1.7671.50±2.2472.10±2.5371.77±2.4472.20±2.0371.52±2.3571.43±1.36 71.60±2.28
F0.1290.1450.7750.5431.1733.0417.8650.965
t0.0871.8130.874-0.6700.1540.8221.872-1.387
P0.9320.1000.4030.5180.8810.4300.1110.196
MA(mm)EG68.80±3.6871.27±6.5868.12±7.3263.53±3.5066.45±7.2964.92±6.5863.80±6.6970.83±5.36
CG68.97±2.6669.43±1.3369.60±2.4469.72±2.0769.28±1.9269.52±1.5269.28±2.30 69.62±1.64
F0.0853.4631.6590.4751.8243.1452.0361.896
t-0.0900.669-0.471-3.721-0.921-1.668-1.8980.532
P0.9300.5190.6480.0040.3790.1260.0870.607
3 讨论

目前创伤仍是现代社会主要的死亡原因[10, 11]。创伤合并凝血功能障碍,增加了病死率[1, 2]。创伤性出血使凝血功能进一步恶化,导致不可控制的出血、弥漫性血管内凝血(DIC)、血栓并发症[12]以及多脏器功能衰竭[13],病死率增加数倍。正常生理状态下的凝血反应需要促凝、抗凝和纤溶系统维持一种动态的平衡,当机体受到创伤、出血以及复苏、输血时,这种平衡被打破,出现凝血功能障碍。目前关于创伤性凝血病的研究很多,有学者认为创伤后存在高凝状态[14, 15, 16],也有学者认为存在低凝状态[17, 18, 19],因此创伤对凝血功能的影响仍不明确。本文主要观察了猪创伤性休克及复苏对凝血功能的影响,并动态地反映了凝血状态的变化,为临床治疗提供依据。

本研究发现实验组PT在创伤失血性休克15 min显著缩短(P=0.001),休克1 h开始延长,直至复苏后6 h开始缩短,休克2 h直至液体复苏后6 h各时间点均较对照组显著延长(P<0.05);APTT在创伤失血性休克15 min显著缩短(P=0.024),休克1 h开始延长,直至液体复苏后6 h各时间点均明显延长(P<0.05),液体复苏后24 h开始缩短,与对照组差异无统计学意义。实验组TEG的R值在创伤放血后15 min显著缩短(P=0.000),后逐渐延长,但差异无统计学意义,复苏后15 min再次缩短,后再次逐渐延长,直至复苏后24 h差异有统计学意义(P=0.022)。这些指标变化表明创伤失血性休克早期仍存在一过性的高凝状态,后期转为低凝状态,复苏后仍为低凝状态。这种一过性高凝状态可能是因为组织损伤后促凝物质比如组织因子(TF)暴露激活了凝血反应,使血液凝固时间缩短。也有研究表明这种高凝可能与降低的抗凝血酶Ⅲ(ATⅢ)有关[20, 21],ATⅢ是一种糖蛋白,可以与凝血因子Ⅱ和Xa结合并抑制凝血反应,ATⅢ的降低使这种抑制减少导致了高凝状态。

创伤失血性休克期,Fib显著下降,与Martini的研究结果相同[22, 23],原因是出血导致纤维蛋白原降解加速,但其合成无明显变化,这种合成和消耗的不平衡导致纤维蛋白原显著下降。复苏期Fib逐步升高,可能原因是复苏第1小时输注30%放出血。Fib是一种急性期蛋白,在肝脏合成。有研究显示,创伤后急性期蛋白升高会延迟8 h[24],笔者推测复苏后24hFib的显著升高可能是因为Fib的合成增加了。TEG的K值和α-Angle是测量纤维蛋白的集聚和交联的速度,反映了Fib的功能。K值在创伤放血后15 min显著缩短(P=0.001),原因可能是创伤导致内皮损伤激活了凝血系统,使凝血酶和纤维蛋白生成增多,这个结果与PT、APTT和R值在创伤后早期的缩短相符。

实验组Plt在创伤、失血、复苏期间持续下降,复苏后各时间点均与对照组差异有统计学意义(P<0.05);TEG的MA值在创伤失血性休克期先升高后降低,放血后2 h显著低于对照组(P=0.004),复苏后与对照组差异无统计学意义。Plt只反映血小板的数量,MA代表了血凝块的强度,反映血小板的数量及其功能,以及血小板和纤维蛋白之间的相互作用。Plt的持续下降可能与失血性休克期的血液丢失、复苏期的液体稀释有关,而MA值在失血后15 min、1 h与对照组差异无统计学意义,可能是因为组织损伤后血小板激活增加及其黏附和聚集速度加速[25],以及纤维蛋白形成增多,代偿了血小板数量的不足,所以在失血早期MA差异无统计学意义,而失血后2 h可能出现了失代偿,所以MA值显著下降。MA值在复苏后15 min升高,可能是因为第1小时的复苏液体包括1/3抽血量的全血,增加了Plt的数量和功能,随着复苏期的延长,液体的稀释使MA逐渐降低,复苏后24hMA值升高与对照组差异无统计学意义,可能是因为Fib合成增加,代偿了血小板数量的不足。

通过猪的创伤失血性休克以及复苏模型的建立,笔者发现创伤失血性休克早期存在一过性高凝状态,表现为PT、APTT、R值和K值的缩短,随后转变为低凝状态,表现为PT、APTT的延长和Fib、MA值的下降,复苏期仍处于低凝状态,早期表现为PT、APTT的延长和Plt、Fib的下降,晚期表现为R值的延长和Plt的下降。这种高凝状态可能是机体自身的保护机制,时间很短暂,创伤1~2 h后转为低凝状态,液体复苏仍不能改善凝血功能。

参考文献
[1] Gando S, Nanzaki S, Kemmotsu O. Disseminated intravascular coagulation and sustained systemic inflammatory response syndrome predict organ dysfunctions after trauma: application of clinical decision analysis [J]. Ann Surg,1999,229(1):121-127.
[2] Sauaia A, Moore FA, Moore EE, et al. Epidemiology of trauma deaths:areassessment [J].JTrauma, 1995,38(2): 185-193.
[3] Hess JR, Brohi K, Dutton RP, et al. The coagulopathy of trauma:areview of mechanisms [J].JTrauma, 2008,65(2): 748-754.
[4] Hess JR, Lawson JH. The coagulopathy of trauma versus dissem-inated intravascular coagulation [J].JTrauma, 2006,60(6 Suppl): S12-19.
[5] Schreiber MA. Coagulopathy in the trauma patient [J]. Curr Opin Crit Care, 2005,11(6): 590-597.
[6] Eddy VA, Morris JA Jr, Cullinane DC. Hypothermia, coagulo-pathy, and acidosis [J]. Surg Clin North Am, 2000,80(3):845-854.
[7] Brohi K, Singh J, Heron M, et al. Acute traumatic coagulopathy [J].JTrauma, 2003,54(6): 1127-1130.
[8] Brohi K, Cohen MJ, Ganter MT, et al. Acute coagulopathy of trauma: hypoperfusion induces systemic anticoagulation and hyperfibrinolysis [J].JTrauma, 2008,64(5): 1211-1217.
[9] Gando S, Sawamura A, Hayakawa M.Trauma, shock, and diss-eminated intravascular coagulation: lessons from the classical literature [J]. Ann Surg,2011,254(1):10-19.
[10] Lyons RA, Kendrick D, Towner EM, et al. Measuring the popul-ation burden of injuries--implications for global and national estimates:amulti-centre prospective UK longitudinal study [J]. PLoS Med,2011,8(12):e1001140.
[11] Maegele M, Lefering R, Yucel N, et al. Early coagulopathy in multiple injury: an analysis from the German Trauma Registry on 8724 patients [J]. Injury, 2007,38(3): 298-304.
[12] Martini WZ, Chinkes DL, Sondeen J, et al. Effects of hemorrhage and lactated Ringer’ s resuscitation on coagulation and fibrinogen metabolism in swine [J]. Shock, 2006, 6(4): 396-401
[13] Riha GM, Kunio NR, Van PY, et al. Uncontrolled hemorrhagic shock results inahypercoagulable state modulated by initialfluid resuscitation regimens [J].JTrauma Acute Care Surg, 2013, 75(1): 129-134.
[14] Schreiber MA, Differding J, Thorborg P, et al. Hypercoagulability is most prevalent early after injury and in female patients [J].JTrauma, 2005,58(3): 475-480.
[15] Park MS, Martini WZ, Dubick MA, et al. Thromboelastography asabetter indicator of hypercoagulable state after injury than prothrombin time or activated partial thromboplastin time [J].JTrauma, 2009,67(2): 266-275.
[16] Kashuk JL, Moore EE, Sabel A, et al. Rapid thrombelastography (r-TEG) identifies hypercoagulability and predicts thromboembolic events in surgical patients [J]. Surgery, 2009,146(4): 764-772.
[17] Carroll RC, Craft RM, Langdon RJ, et al. Early evaluation of acute traumatic coagulopathy by thrombelastography [J]. Transl Res, 2009,154(1): 34-39.
[18] Tauber H, Innerhofer P, Breitkopf R, et al. Prevalence and impact of abnormal ROTEM(R) assays in severe blunt trauma: results of the Diagnosis and Treatment of Trauma-Induced Coagulopathy (DIA-TRE-TIC) study[J]. BrJAnaesth, 2011,107(3): 378-387.
[19] Davenport R, Manson J, De’ Ath H, et al. Functional definition and characterization of acute traumatic coagulopathy [J]. Crit Care Med,2011,39(12):2652-2658.
[20] Engelman DT, Gabram SG, Allen L, et al. Hypercoagulability following multiple trauma [J]. WorldJSurg, 1996,20(1): 5-10.
[21] Owings JT, Bagley M, Gosselin R, et al. Effect of critical injury on plasma antithrombin activity: low antithrombin levels are associated with thromboembolic complications [J].JTrauma, 1996,41(3): 396-405.
[22] Martini WZ, Chinkes DL, Pusateri AE, et al. Acute changes in fibrinogen metabolism and coagulation after hemorrhage in pigs [J]. AmJPhysiol Endocrinol Metab, 2005, 289(5): E930-934.
[23] Martini WZ . Fibrinogen availability and coagulation function after hemorrhage and resuscitation in pigs [J]. Mol Med, 2011, 17(7/8):757-761.
[24] Myers MA, Fleck A. Observations on the delay in onset of the acute phase protein response [J]. BrJExp Pathol, 1988,69(2): 169-176.
[25] Davenport R. Pathogenesis of acute traumatic coagulopathy [J]. Transfusion, 2013, 53 Suppl 1:S23-27.