中华急诊医学杂志  2026, Vol. 35 Issue (1): 76-81   DOI: 10.3760/cma.j.cn114656-20250606-00429

WELLS、YEARS及4PEPS评分在疑似急性肺栓塞中的效能比较
蔡灿光1 , 陈东旭2 , 俞尧2 , 周燕南2 , 廖凤卿2 , 顾国嵘2 , 姚晨玲2     
1. 上海市老年医学中心急诊科,上海 201104;
2. 复旦大学附属中山医院急诊科,上海 200032
摘要: 目的 通过评估WELLS、YEARS及4级肺栓塞临床概率评分(4-Level Pulmonary Embolism Prognostic Score, 4PEPS)在急诊疑似肺栓塞(pulmonary embolism, PE)患者中的诊断及优化CT肺动脉造影(CT pulmonary angiography, CTPA)能力,比较三者在疑似急性PE中的应用效能。方法 本研究为单中心回顾性队列研究,连续纳入2019年1月1日至12月31日期间于复旦大学附属中山医院急诊科就诊的疑似PE患者。根据纳入与排除标准,对所有入选患者应用WELLS、YEARS及4PEPS三种临床评分进行评估,系统比较了三者的诊断效能[包括敏感度、特异度、阴性预测值及受试者工作特征曲线下面积(area under the curve, AUC)]及其优化CTPA检查的能力。结果 本研究最终纳入3 706例患者,PE确诊率为8.0%(296/3 706)。WELLS、YEARS和4PEPS三种评分的诊断效能如下:敏感度分别为99.7%(95%CI: 98.1%~100.0%)、99.0%(95%CI: 97.1%~99.8%)和97.6%(95%CI: 95.2%~99.0%); 特异度分别为75.9%(95%CI: 74.4%~77.3%)、90.9%(95%CI: 89.9%~91.9%)和92.6%(95%CI: 91.7%~93.5%); AUC分别为0.878、0.950和0.951。各策略的假阴性率均低于计算的安全限值。与WELLS评分相比,YEARS和4PEPS评分中分别进一步降低了14.0%和15.6%的CTPA检查率。所有评分的假阴性率均低于基于本研究队列计算的安全阈值(1.86%)。对漏诊病例的随访显示,未发生PE相关死亡事件。结论 YEARS评分作为确保诊断安全性的可靠工具,可有效排除PE; 4PEPS评分则在降低不必要CTPA检查方面展现最优效能。针对高危人群需强化动态监测,以协同提升安全性与检查效率。
关键词: 肺栓塞    CT血管造影术    决策支持技术    诊断技术    
Comparative efficacy of the WELLS, YEARS, and 4PEPS Scores in suspected acute pulmonary embolism
Cai Canguang1 , Chen Dongxu2 , Yu Yao2 , Zhou Yannan2 , Liao Fengqing2 , Gu Guorong2 , Yao Chenling2     
1. Department of Emergency Medicine, Shanghai Geriatric Medical Center, Shanghai 201104, China;
2. Department of Emergency Medicine, Zhongshan Hospital, Fudan University, Shanghai 200032, China
Abstract: Objective This study was conducted to evaluate and compare the diagnostic performance of the WELLS, YEARS, and 4-Level Pulmonary Embolism Prognostic Score (4PEPS) in patients with suspected pulmonary embolism (PE) in the emergency department, as well as their ability to optimize the use of computed tomography pulmonary angiography (CTPA) in suspected acute PE. Methods This single-center retrospective cohort study consecutively enrolled patients presenting to the Emergency Department of Zhongshan Hospital, Fudan University, with suspected PE between January 1 and December 31, 2019. Based on inclusion and exclusion criteria, all enrolled patients were assessed using the WELLS, YEARS, and 4PEPS scores. The diagnostic performance [including sensitivity, specificity, negative predictive value, and area under the receiver operating characteristic curve (AUC)] and the ability to optimize CTPA utilization were systematically compared among the three scores. Results A total of 3 706 patients were ultimately included, with a confirmed PE prevalence of 8.0% (296/3 706). The diagnostic performance of the WELLS, YEARS, and 4PEPS scores was as follows: sensitivities were 99.7% (95%CI: 98.1%-100.0%), 99.0% (95%CI: 97.1%-99.8%), and 97.6% (95%CI: 95.2%-99.0%), respectively; specificities were 75.9% (95%CI: 74.4%-77.3%), 90.9% (95%CI: 89.9%-91.9%), and 92.6% (95%CI: 91.7%-93.5%), respectively. The AUCs were 0.878, 0.950, and 0.951, respectively. The false-negative rates for all strategies were below the pre-calculated safety limit. Compared to the WELLS score, the YEARS and 4PEPS scores further reduced the CTPA examination rate by 14.0% and 15.6%, respectively. The false-negative rates for all scores were below the safety threshold (1.86%) calculated based on this cohort. Follow-up of missed cases revealed no occurrence of PE-related mortality. Conclusions The YEARS score is a reliable tool for safely ruling out PE. The 4PEPS score demonstrated the highest efficacy in reducing unnecessary CTPA examinations. Enhanced dynamic monitoring is recommended for high-risk populations to synergistically improve both safety and diagnostic efficiency.
Key words: Pulmonary embolism    CT Angiography    Decision support techniques    Diagnostic techniques    

肺栓塞(pulmonary embolism, PE)作为急诊科的高危疾病,其早期识别面临双重挑战:一方面,其临床表现隐匿且异质性显著,未经治疗的PE患者漏诊致死率高达30%以上[1];另一方面,作为确诊PE的“金标准”,过度依赖CT肺动脉造影(CT pulmonary angiography, CTPA)造成近90%的疑似PE患者接受不必要的辐射与造影剂暴露,加剧医疗资源负担[2]。这一矛盾的本质在于如何协同保障诊断安全性与检查效率。

临床决策评分被视为破解矛盾的关键工具。现有主流评分(如WELLS评分[3]、YEARS评分[4]等)在大量的研究中被证明其具有一定的安全性和有效性,但在临床实践中仍面临两大局限:(1)标准异质性:各评分指标数量(WELLS评分7项vs. YEARS评分3项)及D-二聚体阈值(0.5 mg/L vs. 1.0 mg/L)差异导致决策一致性降低;(2)不同评分在适用人群、敏感度及特异度方面存在差异,误用可能引发漏诊或过度检查。为突破此瓶颈,4级肺栓塞临床概率评分(4-Level Pulmonary Embolism Prognostic Score, 4PEPS)[5]通过贝叶斯分析法整合既往指标,在欧美大型队列中展现出优于传统策略的影像学节约能力,但其在急诊场景中的验证证据仍严重匮乏。

基于以上背景,本研究通过单中心3 706例急诊疑似PE患者的大样本数据,旨在系统比较WELLS、YEARS及4PEPS评分的诊断效能差异(包括敏感度、特异度及阴性预测值等),量化评估各评分优化CTPA检查效能与安全性。

1 资料与方法 1.1 研究对象

本研究为单中心回顾性队列研究,纳入复旦大学附属中山医院急诊科2019年1月1日至12月31日接诊的疑似PE患者。

纳入标准:(1)临床疑似PE:年龄≥18岁,急诊就诊时患者伴有不同程度的乏力、胸闷、气短、咳嗽、咳血和呼吸困难等临床症状表现。(2)数据完整性:完成CTPA检查或有≥6个月完整随访记录(电话/病历确认);(3)具备基本临床资料(症状记录、D-二聚体值、至少一项评分结果)。排除标准:(1)经影像学或实验室检查已确诊为主动脉夹层、心肌梗死、肺炎等可完全解释症状的疾病;(2)数据缺失:关键变量(症状、评分、D-二聚体)缺失或失访。

研究方案经复旦大学附属中山医院伦理委员会批准(批号:B2021-759R),严格遵循《赫尔辛基宣言》及《涉及人的生物医学研究伦理审查办法》。

1.2 数据采集与分组

由两名研究者独立提取数据并计算评分:性别、年龄、临床症状(胸痛、呼吸困难、咯血、晕厥等)、生命体征(血氧饱和度、心率)、既往史(过去4周内有手术或制动史、恶性肿瘤活动期、慢性呼吸道疾病史等)、用药史(雌激素应用史)等。根据患者的一般资料及CTPA结果,将所有入组患者分为PE组及非PE组。

1.3 评分系统与诊断策略

使用WELLS评分[3](附表1)、YEARS评分[4](附表2)和4PEPS评分[5](附表3)对所有受试者进行评估,根据分值将其分为不同的风险组,并进一步评估下一步是否行CTPA检查。

1.4 临床决策评分系统诊断效能

通过计算每种评分的敏感度、特异度、阴性预测值(negative predictive value, NPV)和阳性预测值(positive predictive value, PPV)来评估诊断效能。采用受试者工作特征(receiver operating characteristic, ROC)曲线及曲线下面积(area under the ROC curve, AUC)分析各策略的准确性。采用Delong检验对不同临床决策规则之间的AUC进行比较。

1.5 临床决策评分系统优化CTPA检查的能力及安全性

本研究以WELLS评分为参照标准,计算其他评分相较于WELLS评分的CTPA检查率(需行CTPA患者数/总研究人群×100%)减少百分比以量化CTPA检查的优化能力。安全性评估采用国际血栓与止血学会(International Society on Thrombosis and Haemostasis, ISTH)推荐公式设定假阴性率安全阈值:1.82 + (0.00528×PE患病率)[6]。假阴性率被定义为漏诊病例(临床决策评分判定“无需CTPA”患者,其初诊的诊断为PE,或在随访期间被诊断为PE)占临床决策评分判定“无需CTPA”的所有患者总数的比例,若该值低于ISTH阈值则判定策略安全。对漏诊病例通过≥6个月电话及电子病历随访排除PE相关死亡或再发事件,同时记录其临床症状、高危因素(如恶性肿瘤、术后状态)及D-二聚体水平以分析漏诊特征。PE相关死亡指在确诊后6个月的随访期内,由PE直接导致的死亡。所有死亡事件均通过查阅死亡证明、电子病历及电话随访进行核实与判定。

1.6 统计学方法

本研究采用SPSS统计学软件(版本25.0;IBM Corp, Armonk, NY, USA)进行数据处理与分析。对所有纳入的连续变量进行正态性检验(Shapiro-Wilk检验)。符合正态分布的计量资料以均数±标准差(x±s)描述,组间比较采用独立样本t检验;不符合正态分布的计量资料则以中位数(四分位数)[M(Q1, Q3)]描述,组间比较采用Mann-Whitney U检验。计数资料以例数(%)描述,组间比较采用χ2检验或Fisher精确检验(当理论频数 < 5时)。所有统计分析均为双侧检验,以P < 0.05为差异具有统计学意义。

2 结果 2.1 研究人群与基线特征

本研究共筛查4 729例急诊疑似PE患者,排除气胸(8例)、急性冠脉综合征(964例)及主动脉夹层(51例)后,最终纳入3 706例分析对象。其中确诊PE患者296例(8.0%),非PE患者3 410例(92.0%)。确诊PE组患者年龄为68(61, 77)岁,高于非PE组的65(60, 72)岁(P < 0.01),性别分布差异无统计学意义(男性占比41.6% vs. 47.4%,P=0.055)。临床表现方面,PE组呼吸困难(60.8% vs. 10.7%)、咯血(9.5% vs. 0.3%)及晕厥(8.4% vs. 1.8%)、近期手术/制动史(16.2% vs. 0.2%)、恶性肿瘤活动期(25.3% vs. 4.6%)及既往PE或DVT病史(9.5% vs.0.6%)比例均高于非PE组(均P < 0.01)。且PE组D-二聚体达4.28(2.04, 10.68)mg/L,高于非PE组的0.26(0.16, 0.48)mg/L(P < 0.01)。WELLS、YEARS及4PEPS评分的不同风险分级与PE患病率的整体分布差异均具有统计学意义(均P < 0.01)。见表 1

表 1 研究人群的一般资料、基线特征及评分系统 Table 1 General information, baseline characteristics, and scoring systems of the study population
指标 研究人群(n=3 706) PE组(n=296) 非PE组(n=3 410) Ζ/χ2 P
人口学特征
  年龄(岁)a 65(60, 72) 68(61, 77) 65(60, 72) -3.796 < 0.001
  男性b 1 738(46.9) 123(41.6) 1 615(47.4) 3.687 0.055
临床症状b
  胸痛 3 392(91.5) 103(34.8) 3 289(96.5) 1 335.036 < 0.001
  呼吸困难 546(14.7) 180(60.8) 366(10.7) 543.701 < 0.001
  咯血 37(1.0) 28(9.5) 9(0.3) 233.000 < 0.001
  晕厥 88(2.4) 25(8.4) 63(1.8) 51.154 < 0.001
既往史
  过去4周内有手术或制动史b 55(1.5) 48(16.2) 7(0.2) 477.541 < 0.001
  既往PE、DVT病史b 47(1.3) 28(9.5) 19(0.6) 172.383 < 0.001
  恶性肿瘤活动期b 233(6.3) 75(25.3) 158(4.6) 198.160 < 0.001
实验室检查
  首次D-二聚体值(mg/L)a 0.28(0.17, 0.60) 4.28(2.04, 10.68) 0.26(0.16, 0.48) -27.066 < 0.001
评分系统b
  WELLS评分 1 877.270 < 0.001
    低风险 3 505(94.6) 118(39.9) 3 387(99.3)
    高风险 201(5.4) 178(60.1) 23(0.7)
  YEARS评分 2 773.430 < 0.001
    低风险 3 326(89.7) 2(0.7) 3324(97.5)
    高风险 380(10.3) 294(99.3) 86(2.5)
  4PEPS评分 1 178.199 < 0.001
    极低风险 1 051(28.4) 0 1 051(30.8)
    低风险 2 379(64.2) 69(23.3) 2 310(67.7)
    中等风险 254(6.8) 206(69.6) 48(1.4)
    高风险 22(0.6) 21(7.1) 1(0.03)
注:PE为肺栓塞,DVT为深静脉血栓形成;WELLS评分低风险为0~4分,高风险为 > 4分;YEARS评分低风险为0分,高风险为≥1分;4PEPS评分极低风险为 < 0分,低风险为0~5分,中等风险为6~12分,高风险为 > 12分;aMQ1Q3),b为例数(%)
2.2 评分系统的诊断效能与比较

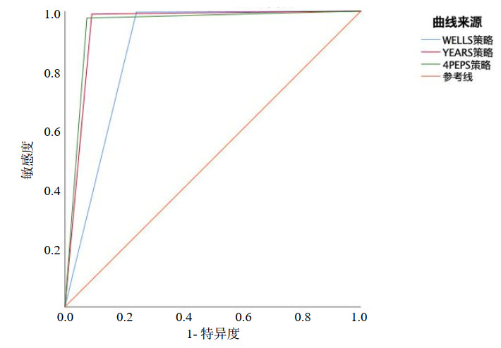
表 2图 1所示,WELLs评分敏感度99.7%(95%CI: 98.1%~100.0%)、特异度75.9%(95%CI: 74.4%~77.3%)、NPV为100.0%(95%CI: 99.8%~100.0%)、假阴性率0.03%(1例)、AUC值0.878。YEARS评分敏感度99%(95%CI: 97.1%~99.8%)、特异度90.9%(95%CI: 89.9%~91.9%)、NPV为99.9%(95%CI: 99.7%~100.0%)、假阴性率0.09%(3例)、AUC值0.950、CTPA检查率降低14.0%。4PEPS评分敏感度97.6%(95%CI: 95.2%~99.0%)、特异度92.6%(95%CI: 91.7%~93.5%)、NPV为99.8%(95%CI: 99.5%~99.9%)、假阴性率0.20%(7例)、AUC值0.951、CTPA检查率降低15.6%。

表 2 不同评分对疑似PE的诊断效能 Table 2 Diagnostic performance of different clinical decision rules for suspected pulmonary embolism
指标 敏感度(%, 95%CI 特异度(%, 95%CI NPV(%, 95%CI PPV(%, 95%CI 假阴性率(%) AUC值 减少CTPA检查率
WELLS评分 99.7(98.1~100.0) 75.9(74.4~77.3) 100.0(99.8~100.0) 26.4(23.8~29.1) 0.03 0.878 /
YEARS评分 99.0(97.1~99.8) 90.9(89.9~91.9) 99.9(99.7~100.0) 48.7(44.6~52.7) 0.09 0.950 14.0
4PEPS评分 97.6(95.2~99.0) 92.6(91.7~93.5) 99.8(99.5~99.9) 53.4(49.1~57.7) 0.20 0.951 15.6

图 1 不同评分系统的ROC曲线 Fig 1 ROC curves of different clinical decision rules

Delong检验显示,YEARS评分与4PEPS评分的AUC均高于WELLS评分(均P < 0.001),而YEARS评分与4PEPS评分之间的AUC差异无统计学意义(P=0.721)(表 3)。

表 3 三种临床决策规则AUC的两两比较 Table 3 Pairwise comparison of AUC among the three clinical decision rules
比较组 Ζ P
YEARS评分vs. WELLS评分 -18.541 < 0.001
4PEPS评分vs. WELLS评分 -14.148 < 0.001
4PEPS评分vs. YEARS评分 -0.375 0.721
2.3 诊断策略的安全性及漏诊病例分析

本研究队列中PE的最终患病率为8%,因此通过公式可得该队列能接受的假阴性率上限为1.86%。WELLS、YEARS及4PEPS评分的假阴性率分别为0.03%、0.09%及0.20%,均低于预设的安全性上限。漏诊病例分析(表 4)显示,4PEPS漏诊患者中有2例为恶性肿瘤患者,且D-二聚体水平较高(中位数0.86 mg/L)。YEARS漏诊病例为老年恶性肿瘤患者及术后近期制动患者,D-二聚体水平接近阈值。WELLS漏诊病例为1例年轻恶性肿瘤患者,首次D-二聚体水平低于阈值。所有漏诊患者经过6个月的随访均未发生PE相关死亡事件。

表 4 漏诊病例的一般资料、基线特征 Table 4 General information and baseline characteristics of missed diagnosis cases
指标 WELLS评分
(n=1)
YEARS评分
(n=3)
4PEPS评分
(n=7)
人口学特征
  年龄中位数(岁) 30 63 58
  男性(例) 0 2 3
临床症状(例)
  胸痛 0 1 3
  呼吸困难 1 3 6
  咯血 0 1 0
既往史
  过去4周内有手术或制动史(例) 0 1 1
  恶性肿瘤活动期(例) 1 1 2
实验室检查
  首次D-二聚体值中位数(mg/L) 0.27 0.27 0.86
PE相关死亡(例) 0 0 0
注:PE为肺栓塞;PE相关死亡指在确诊后6个月的随访期内,由PE直接导致的死亡。所有死亡事件均通过查阅死亡证明、电子病历及电话随访进行核实与判定
3 讨论

PE的早期识别与影像学检查策略的优化,是急诊医学领域面临的重要挑战之一。本研究基于单中心的回顾性数据,系统的比较了YEARS、4PEPS及WELLS评分在急诊疑似PE患者中的诊断效能与优化CTPA检查效能,以期为临床实践提供帮助。

在诊断效能方面,本研究发现YEARS评分展现出良好的排除能力,其NPV(99.9%)和敏感度(99.0%)均高于其他评分,且其假阴性率低于ISTH推荐的安全阈值,该结果与多项前瞻性多中心研究结果一致[4, 7]。其核心优势在于通过整合临床概率并采用较高的D-二聚体阈值,有效平衡了诊断安全性与检查效率。值得注意的是,本研究中被YEARS评分漏诊的3例患者均为高龄、近期制动或合并恶性肿瘤,其D-二聚体水平(中位数0.27 mg/L)均未达到该评分设定的诊断阈值。这一现象提示,在此类特定人群中,微血栓形成或局部高凝状态可能未充分激活系统性纤溶反应,D-二聚体水平相对较低,从而增加了漏诊的风险[8]

在优化CTPA检查效能方面,4PEPS评分显示出最好的CTPA节约潜力(15.6%),略优于YEARS评分(14.0%),且其特异度(92.6%)显著高于WELLS评分(75.9%)。这表明4PEPS在识别真正低危、无需CTPA检查的患者方面具有优势[5]。4PEPS评分极低风险组中无PE患者进一步验证了这一优势,与Stals等[9]的回顾性研究结果相符。其高效性可能源于其融合了简化版PE排除标准(PERC评分)理念[10]以识别极低危患者、采用年龄调整的D-二聚体阈值[11]以提升特异度,并构建了细致的四层风险分层体系。然而,需关注的是,在本研究4PEPS漏诊的7例患者中,2例(28.6%)为活动性恶性肿瘤患者,且其D-二聚体中位数(0.86 mg/L)低于该评分用于低危患者的诊断阈值(1.0 mg/L)。这一结果提示,4PEPS对低危患者的D-二聚体阈值设定可能存在不足,对于恶性肿瘤等隐匿高凝状态人群,该阈值可能导致漏诊风险增加,未来研究需探索基于更精准风险分层的阈值优化策略。

WELLS评分在本队列中表现出良好的敏感度(99.7%),但其较低的特异度(75.9%)及PPV(26.4%)是其明显的局限,这意味着将有较多的非PE患者需接受不必要的CTPA检查。近期前瞻性真实世界研究表明,将WELLS评分中传统的固定D-二聚体阈值(0.5 mg/L)调整为年龄校正阈值[年龄(岁)×0.01 mg/L],可在维持高安全性的前提下显著减少约20%的CTPA检查[12]。本研究中发现一例WELLS评分低风险的年轻(32岁)恶性肿瘤患者,其首次D-二聚体水平仅为0.27 mg/L,最终确诊PE。再次强调了恶性肿瘤患者PE风险的复杂性,即使评分低风险且D-二聚体阴性,仍需保持高度警惕。

本研究所有漏诊患者在随访期间均未发生PE相关死亡,这可能与栓塞面积相对较小或后续及时的抗凝治疗干预有关。然而,必须警惕的是,各项评分漏诊的病例均集中于恶性肿瘤、近期手术/制动等具有固有高再发栓塞风险的人群。对这些特殊人群的漏诊可能导致治疗时机的延误。因此,本研究结果提示:对于临床评估存在活动性恶性肿瘤、近期重大手术/制动、高龄(> 80岁)等高危因素的患者,即使临床决策规则评估为低风险且D-二聚体未达相应诊断阈值,也应将其视为潜在高风险群体,并采取更为审慎的监测策略,例如,可在24~48 h内重复D-二聚体检测以观察其动态变化,并结合床旁心脏超声评估右心室功能,从而最大限度降低延迟诊断带来的风险。

本研究利用了一个大样本的急诊疑似PE队列(n=3 706),系统性比较了YEARS、4PEPS及WELLS评分的诊断效能及CTPA优化效能。首次证实了4PEPS评分在中国急诊疑似PE人群的诊断效能及优化CTPA价值,并据此提出了有针对性的建议。当然本研究也存在一定的局限性:首先这是一个单中心回顾性研究,其次纳入的病例均为急诊患者,因此研究结论是否可推广至其他中心以及门诊患者,尚待进一步开展多中心研究探讨。

综上所述,本研究提示,在急诊疑似PE患者中,YEARS评分是确保诊断安全性的最可靠工具,可有效排除PE;而4PEPS评分在减少不必要CTPA检查方面能力最优。对于合并恶性肿瘤活动期、近期制动或高龄等高危因素的患者,即使评估为低风险,仍需谨慎对待。

利益冲突  所有作者声明无利益冲突

作者贡献声明  蔡灿光:论文撰写;蔡灿光、陈东旭、俞尧、廖凤卿、周燕南:数据收集及整理、统计学分析;顾国嵘、姚晨玲:研究设计、论文修改

本文附表请登陆中华急诊网(www.cem.org.cn)浏览(Html格式全文)

参考文献
[1] Daoud RM, Mohamed AM, Almajthoob MS, et al. Is CT pulmonary angiography overutilized in the evaluation of patients with suspected pulmonary embolism? A retrospective study[J]. Can J Respir Ther, 2025, 61: 127660. DOI:10.29390/001c.127660
[2] Aksu EA, Uzun O, Işıksungur İ, et al. Overuse of computed tomography pulmonary angiography in the diagnosis of pulmonary thromboembolism "real-life data"[J]. Int J Gen Med, 2025, 18: 1103-1109. DOI:10.2147/IJGM.S499926
[3] Wells PS, Anderson DR, Rodger M, et al. Derivation of a simple clinical model to categorize patients probability of pulmonary embolism: increasing the models utility with the SimpliRED D-dimer[J]. Thromb Haemost, 2000, 83(3): 416-420.
[4] van der Hulle T, Cheung WY, Kooij S, et al. Simplified diagnostic management of suspected pulmonary embolism (the YEARS study): a prospective, multicentre, cohort study[J]. Lancet, 2017, 390(10091): 289-297. DOI:10.1016/S0140-6736(17)30885-1
[5] Roy PM, Friou E, Germeau B, et al. Derivation and validation of a 4-level clinical pretest probability score for suspected pulmonary embolism to safely decrease imaging testing[J]. JAMA Cardiol, 2021, 6(6): 669-677. DOI:10.1001/jamacardio.2021.0064
[6] Dronkers CEA, van der Hulle T, Gal GL, et al. Towards a tailored diagnostic standard for future diagnostic studies in pulmonary embolism: communication from the SSC of the ISTH[J]. J Thromb Haemost, 2017, 15(5): 1040-1043. DOI:10.1111/jth.13654
[7] Kabrhel C, Van Hylckama Vlieg A, Muzikanski A, et al. Multicenter evaluation of the YEARS criteria in emergency department patients evaluated for pulmonary embolism[J]. Acad Emerg Med, 2018, 25(9): 987-994. DOI:10.1111/acem.13417
[8] Konstantinides SV, Meyer G, Becattini C, et al. 2019 ESC Guidelines for the diagnosis and management of acute pulmonary embolism developed in collaboration with the European Respiratory Society (ERS): The Task Force for the diagnosis and management of acute pulmonary embolism of the European Society of Cardiology (ESC)[J]. Eur Respir J, 2019, 54(3). DOI:10.1183/13993003.01647-2019
[9] Stals MAM, Beenen LFM, Coppens M, et al. Performance of the 4-Level Pulmonary Embolism Clinical Probability Score (4PEPS) in the diagnostic management of pulmonary embolism: an external validation study[J]. Thromb Res, 2023, 231: 65-75. DOI:10.1016/j.thromres.2023.09.010
[10] Freund Y, Cachanado M, Aubry A, et al. Effect of the pulmonary embolism rule-out criteria on subsequent thromboembolic events among low-risk emergency department patients: the PROPER randomized clinical trial[J]. JAMA, 2018, 319(6): 559-566. DOI:10.1001/jama.2017.21904
[11] Righini M, Van Es J, Den Exter PL, et al. Age-adjusted D-dimer cutoff levels to rule out pulmonary embolism: the ADJUST-PE study[J]. JAMA, 2014, 311(11): 1117-1124. DOI:10.1001/jama.2014.2135
[12] Robert-Ebadi H, Robin P, Hugli O, et al. Impact of the age-adjusted D-dimer cutoff to exclude pulmonary embolism: a multinational prospective real-life study (the RELAX-PE study)[J]. Circulation, 2021, 143(18): 1828-1830. DOI:10.1161/CIRCULATIONAHA.120.052780